Osińska Edyta - Prokuratura Okręgowa w Ostrołęce

Transkrypt

Osińska Edyta - Prokuratura Okręgowa w Ostrołęce
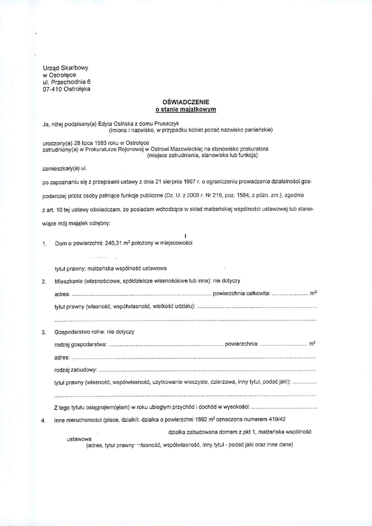
Urząd Skarbowy
w Ostrołęce
ul. Przechodnia 6
07-410 Ostrołęka
OŚWIADCZENIE
o stanie majątkowym
Ja, niżej podpisany(a) Edyta Osiń ska z domu Prusaczyk
(imiona i nazwisko, w przypadku kobiet podać nazwisko panieńskie)
urodzony(a) 28 lipca 1983 roku w Ostrołęce
zatrudniony(a) w Prokuraturze Rejonowej w Ostrowi Mazowieckiej na stanowisko prokuratora
(miejsce zatrudnienia, stanowisko lub funkcja)
zamieszkały(a) ul.
po zapoznaniu się z przepisami ustawy z dnia 21 sierpnia 1997 r. o ograniczeniu prowadzenia działalności gospodarczej przez osoby pełniące funkcje publiczne (Dz. U. z 2006 r. Nr 216, poz. 1584, z późn. zm.), zgodnie
z art. 10 tej ustawy oświadczam, że posiadam wchodzące w skład małżeńskiej wspólności ustawowej lub stanowiące mój majątek odrębny:
Dom o powierzchni: 246,31 m2 położony w miejscowości
tytuł prawny: małżeńska wspólność ustawowa
Mieszkanie (własnościowe, spółdzielcze własnościowe lub inne): nie dotyczy
adres:
powierzchnia całkowita*
m2
powierzchnia:
m2
tytuł prawny (własność, współwłasność, wielkość udziału):
Gospodarstwo rolne: nie dotyczy
rodzaj gospodarstwa:
adres:
rodzaj zabudowy:
tytuł prawny (własność, współwłasność, użytkowanie wieczyste, dzierżawa, inny tytuł, podać jaki):
Z tego tytułu osiągnąłem(ęłam) w roku ubiegłym przychód i dochód w wysokości:
Inne nieruchomości (place, działki): działka o powierzchni 1892 m2 oznaczona numerem 419/42
działka zabudowana domem z pkt 1, małżeńska wspólność
ustawowa
(adres, tytuł prawny -:łasność, współwłasność, inny tytuł - podać jaki oraz inne dane)
5.
Zasoby pieniężne:
- środki pieniężne zgromadzone w walucie polskiej: 154138,95 złotych — zgromadzone na rachunkach
bankowych, małżeńska wspólność ustawowa
- środki pieniężne zgromadzone w walucie obcej: 5229,10 Euro — zgromadzone na rachunkach bankowych,
małżeńska wspólność ustawowa
- papiery wartościowe: nie dotyczy
na kwotę:
II
Nabyłem(am) (nabył mój małżonek) mienie od Skarbu Państwa, innej państwowej osoby prawnej, jednostek
samorządu terytorialnego, ich związków lub od komunalnej osoby prawnej, które podlegało zbyciu w drodze
przetargu:
tak!
nie*
Podać rodzaj mienia, datę nabycia, od kogo
III
a* Nie jestem członkiem zarządu ani rady nadzorczej, komisji rewizyjnej spółki prawa handlowego, ani też
członkiem zarządu fundacji prowadzącej działalność gospodarczą.
.
.
(wymienić pełnione funkcje i stanowiska wraz z nazwami spółek i fundacji)
Z tego tytułu osiągnąlem(ęlam) w roku ubiegłym dochód w wysokości: nie dotyczy
a* Nie jestem zatrudniony(a) ani też nie wykonuję innych zajęć współkach prawa handlowego, które mogły-.
by wywołać podejrzenie o moją stronniczość lub interesowność.
.
.
b*
Z tego tytułu osiągnąłem(ęłam) w roku ubiegłym dochód w wysokości: nie dotyczy
a* Nie jestem członkiem zarządu, rady nadzorczej ani komisji rewizyjnej spółdzielni')
b*
•
(podać pełnioną funkcję, nazwę i adres spółdzielni)
Z tego tytułu osiągnąłem(ęlam) w roku ubiegłym dochód w wysokości: nie dotyczy
4.
W następujących spółkach prawa handlowego posiadam niżej podane udziały lub akcje: nie dotyczy
(nazwa spółki „ adresy, wielkość udziałów, ilość akcji)
Z tego tytułu osiągnąlem(ętam) w roku ubiegłym dochód w wysokości: nie dotyczy
Równocześnie oświadczam, że współce
moje udziały (lub akcje) przekraczają 10%.
W pozostałych spółkach prawa handlowego posiadane udziały lub akcje nie stanowią 10% kapitału.
IV
Nie prowadzę działalności gospodarczej na własny rachunek ani wspólnie z innymi osobami, nie zarządzam
również taką działalnością ani nie jestem przedstawicielem czy też pełnomocnikiem w prowadzeniu takiej
działalności.2)
Z tego tytułu osiągnąłem(ęlam) w roku ubiegłym dochód w wysokości: nie dotyczy
V
Składniki mienia ruchomego o wartości powyżej 10.000 złotych (w przypadku pojazdów mechanicznych należy
podać markę, model i rok produkcji):
- samochód osobowy marki Opel Zafira 1,9 CDTI, rok produkcji 2007, małżeńska wspólność ustawowa
- samochód marki Nissan Navara, rok produkcji 2008, małżeńska wspólność ustawowa
VI
Zobowiązania pieniężne o wartości powyżej 10.000 złotych, w tym zaciągnięte kredyty i pożyczki, oraz warunki,
na jakich zostały udzielone (wobec kogo, w związku z jakim zdarzeniem, w jakiej wysokości):
-kredyt hipoteczny „własny kąt" z dnia 2 stycznia 2014 r. na rzecz
_ _. _
w kwocie
258397,93 zł tytułem budowy domu jednorodzinnego, okres kredytowania — 30 lat, rzeczywista roczna stopa
procentowa na dzień zawarcia umowy— 4,3751 %, stan zadłużenia na dzień 31.12.2015 r. —246 713,65 zł
VII
Inne dodatkowe dane o stanie majątkowym:
- dochód ze stosunku pracy (wg. PIT-11) - 104106,41 złotych
- dochód współmałżonka z tytułu prowadzonej działalnoś
ci gospodarczej (wg. PIT-36/L, PIT/B) - 259046,20 złotych
- ugoda sądowa - SR w Ostrołę ce, sygn. I C 443/15 - odszkodowania
za nienależyte wykonanie umowy zlecenia;
zasądzona kwota 5299,68 złotych i koszty procesu w kwocie 282,50 z
łotych
- zasądzone tytuł em jw., rozłożone na 18
rat począwszy od listopada 2015 r.; umorzenie co do kwoty 6000,00 z
łotych wobec zapłaty ww. sumy po wniesieniu
powództwa; łączną spłata odszkodowania na dzień
31.12.2015 r. -6850,00 złotych
Z tego tytułu osiągnąłem(ętam) w roku ubiegł
ym dochód w wysokości: 370002,61 złotych, małżeńska wspólno
ść
ustawowa
Powyższe oświadczenie składam świadomy(a), ż
e na podstawie art. 14 ust. 1 ustawy z dnia 21 sierpnia 1997 r.
O ograniczeniu prowadzenia działalności gospodarczej przez osoby pe
łniące funkcje publiczne (Dz. U. z 2006 r.
Nr 216, poz. 1584, z późn. zm .) za podanie nieprawdy grozi kara pozbawienia wolno
ści
((&zkeiM-
1{.4dCLa49114t :13),0411Y/0~C-C '1(%)-(
ićfyrc(Yr10 C)4 "ad
wa
ct,
Ostrów Mazowiecka, dnia 14 marca 2015 r.
(miejscowość, data)
(podpis)
Nie dotyczy rad nadzorczych spółdzielni mieszkaniowych.
Nie dotyczy działalności wytwórczej
w rolnictwie.
Niewłaściwe skreślić i uzupełnić, wpisują
c w poszczególnych punktach odpowiednie
dane