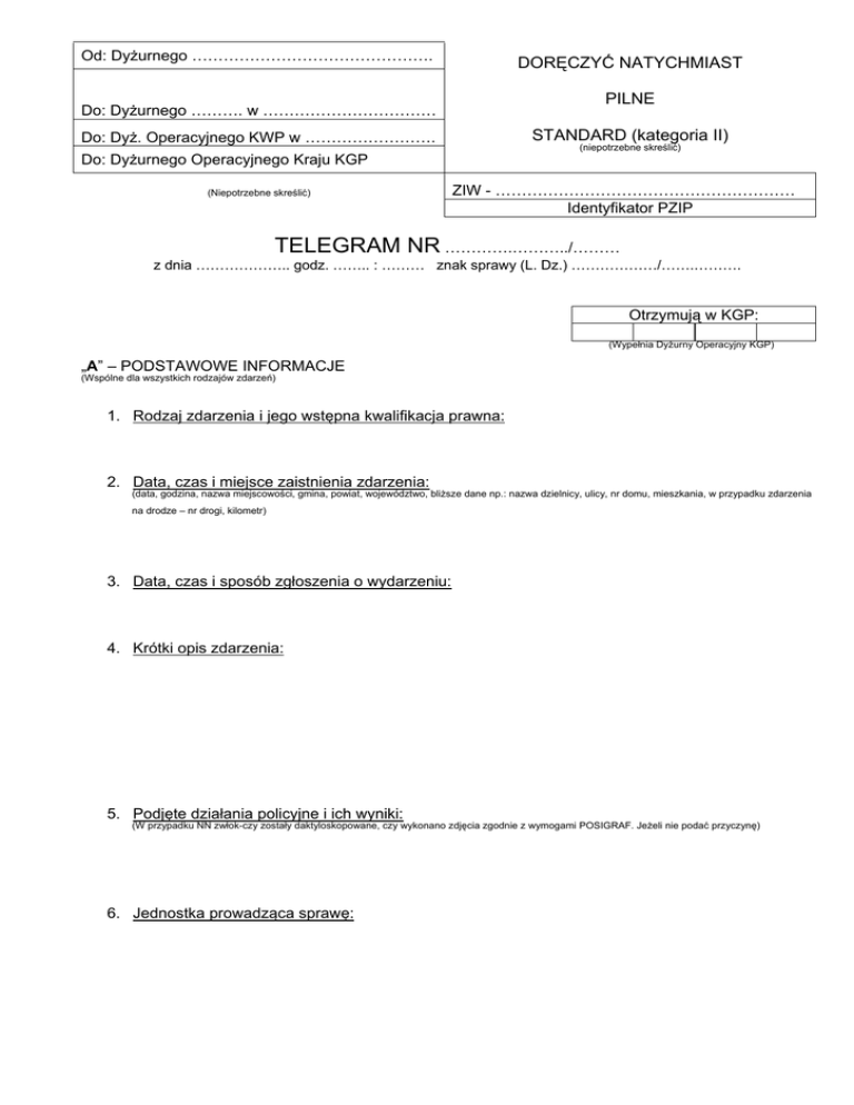
DORĘCZYĆ NATYCHMIAST PILNE STANDARD (kategoria II)

Transkrypt

DORĘCZYĆ NATYCHMIAST PILNE STANDARD (kategoria II)
Od: Dyżurnego ……………………………………….
DORĘCZYĆ NATYCHMIAST
PILNE
Do: Dyżurnego ………. w ……………………………
STANDARD (kategoria II)
Do: Dyż. Operacyjnego KWP w …………………….
(niepotrzebne skreślić)
Do: Dyżurnego Operacyjnego Kraju KGP
(Niepotrzebne skreślić)
ZIW - …………………………………………………
Identyfikator PZIP
TELEGRAM NR ………….………../………
z dnia ……………….. godz. …….. : ……… znak sprawy (L. Dz.) ………………/…….……….
Otrzymują w KGP:
(Wypełnia Dyżurny Operacyjny KGP)
„A” – PODSTAWOWE INFORMACJE
(Wspólne dla wszystkich rodzajów zdarzeń)
1. Rodzaj zdarzenia i jego wstępna kwalifikacja prawna:
2. Data, czas i miejsce zaistnienia zdarzenia:
(data, godzina, nazwa miejscowości, gmina, powiat, województwo, bliższe dane np.: nazwa dzielnicy, ulicy, nr domu, mieszkania, w przypadku zdarzenia
na drodze – nr drogi, kilometr)
3. Data, czas i sposób zgłoszenia o wydarzeniu:
4. Krótki opis zdarzenia:
5. Podjęte działania policyjne i ich wyniki:
(W przypadku NN zwłok-czy zostały daktyloskopowane, czy wykonano zdjęcia zgodnie z wymogami POSIGRAF. Jeżeli nie podać przyczynę)
6. Jednostka prowadząca sprawę:

Podobne dokumenty