Opel Astra II

Transkrypt

Opel Astra II
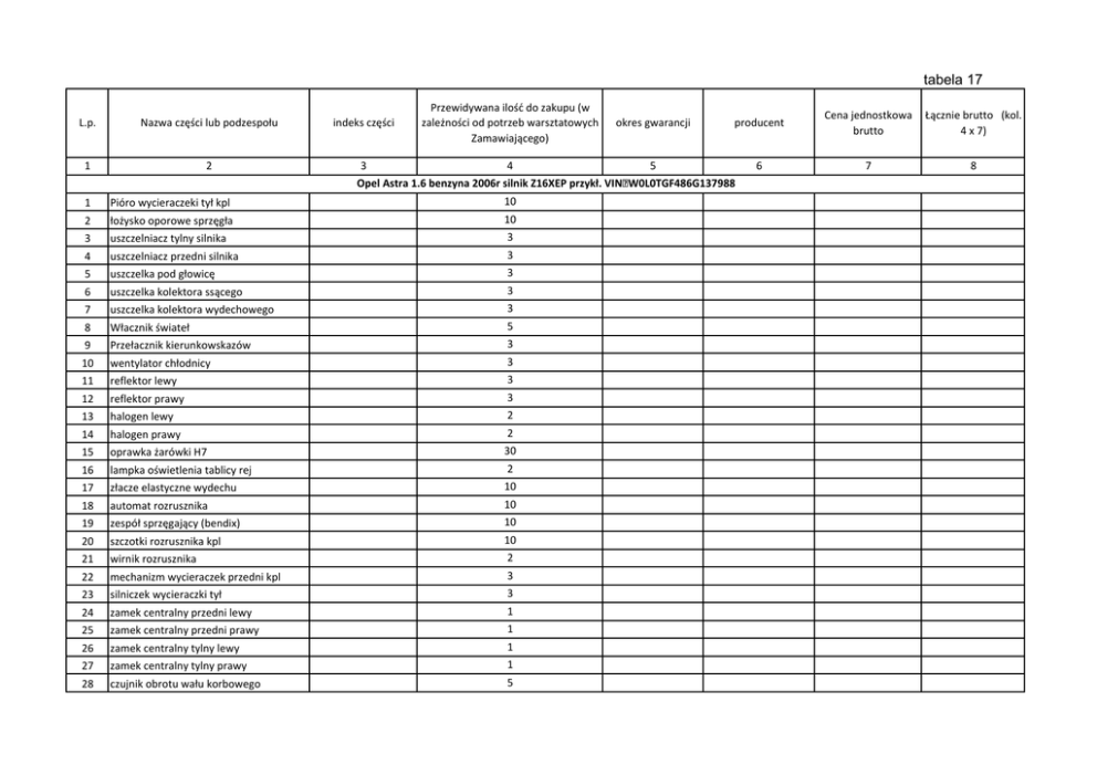
tabela 17
L.p.
Nazwa części lub podzespołu
1
2
indeks części
Przewidywana ilość do zakupu (w
zależności od potrzeb warsztatowych
Zamawiającego)
okres gwarancji
producent
3
4
5
Opel Astra 1.6 benzyna 2006r silnik Z16XEP przykł. VIN W0L0TGF486G137988
1
Pióro wycieraczeki tył kpl
10
2
łożysko oporowe sprzęgła
10
3
uszczelniacz tylny silnika
3
4
uszczelniacz przedni silnika
3
5
uszczelka pod głowicę
3
6
uszczelka kolektora ssącego
3
7
uszczelka kolektora wydechowego
3
8
Włacznik świateł
5
9
Przełacznik kierunkowskazów
3
10
wentylator chłodnicy
3
11
reflektor lewy
3
12
reflektor prawy
3
13
halogen lewy
2
14
halogen prawy
2
15
oprawka żarówki H7
30
16
lampka oświetlenia tablicy rej
2
17
złacze elastyczne wydechu
10
18
automat rozrusznika
10
19
zespół sprzęgający (bendix)
10
20
szczotki rozrusznika kpl
10
21
wirnik rozrusznika
2
22
mechanizm wycieraczek przedni kpl
3
23
silniczek wycieraczki tył
3
24
zamek centralny przedni lewy
1
25
zamek centralny przedni prawy
1
26
zamek centralny tylny lewy
1
27
zamek centralny tylny prawy
1
28
czujnik obrotu wału korbowego
5
6
Cena jednostkowa
brutto
Łącznie brutto (kol.
4 x 7)
7
8
29
czujnik położenia wałków rozrządu
2
30
lampa zespolona tylna prawa kpl
1
31
silnik dmuchawy
1
32
linka h-ca ręcznego
10
33
cylinderek h-ca tył lewy
6
34
cylinderek h-ca tył prawy
6
35
szczęki h-ca ręcznego kpl
10
36
koło pasowe alternatora
5
37
lampa zespolona lewa kpl
1
38
tarcza koła (felga)
1
39
40
Chłodnica wody
Amortyzator przód lewy
6
41
Amortyzator przód prawy
6
42
Amortyzator tył
Cewka zapłonowa
15
45
Czujnik temperatury wody
Drążek kierowniczy lewy
2
4
46
Drążek kierowniczy prawy
4
43
44
Końcówka drążka kierowniczego lewa
47
Końcówka drążka kierowniczego prawa
48
3
6
5
5
49
Korek spustu oleju
10
50
Łącznik drążka stabilizatora
35
51
piasta przód kpl
10
52
piasta tył kpl
10
53
54
Łożysko poduszki amortyzatora przód
Napinacz paska klinowego
55
Osłona przegubu wew.
10
56
Osłona przegubu zewnętrznego
10
57
Pasek alternatora
10
58
Pasek rozrządu
10
59
Pasek wieloklinowy
10
60
Pióro wycieraczki przód kpl L+P
20
61
Poduszka górna amortyzatora przód
40
10
5
62
Poduszka stabilizatora
10
63
Pompa wody
10
64
Przegub zewnętrzny
10
65
Rolka napinająca paska rozrządu
10
66
Rolka paska rozrządu
10
67
Rolka zwrotna paska rozrządu
10
68
Sprężyna zawieszenia przód
6
69
Sprężyna zawieszenia tył
70
Sprzęgło kpl.
6
10
71
Łożysko hydrauliczne sprzegła
10
72
Sworzeń wahacza dolny
20
73
Świeca zapłonowa
4
74
Termostat
5
75
Tłumik środkowy
5
76
Tłumik tylny
5
77
Tuleja wahacza przedniego tylna
15
Tuleja wahacza przedniego przednia
78
15
79
Uszczelka pokrywy zaworów
10
80
Uszczelka rury wydechowej
10
81
tuleja belki przedniej
12
82
chłodnica
3
83
rezystor dmuchawy
5
84
cylinderek h-ca tył
4
85
szczęki hamulcowe
4
86
bęben hamulca
4
87
sonda lambda I
1
88
sonda lambda II
1
89
Wieszak tłumika
4
90
zestaw naprawczy zacisku przód
2
91
tarcza h-ca przód
10
92
bolec drążka zmiany biegów
3
93
rozrusznik
1
94
alternator
1
95
łapa silnika
4
96
poduszka silnika przód
5
97
poduszka aluminiowa skrzyni biegów tył
15
98
regulator szczęk h-ca tył prawy
10
99
regulator szczęk h-ca tył lwey
10
100
zestaw sprężyn hamulca tył 1 kpl
5
101
uszczelniacz półosi prawy
3
102
uszczelniacz półosi lewy
3
103
Rozrząd kpl.
2
104
Pasek alternatora
2
105
łożysko oporowe sprzęgła
Sprzęgło kpl
2
Opel Astra 1.6 benzyna 2005r silnik Z16XE
106
2
RAZEM BRUTTO
…………………………………………………………………….
pieczęć i podpis Wykoanwcy
lub osoby upoważnionej