Saab 95

Transkrypt

Saab 95
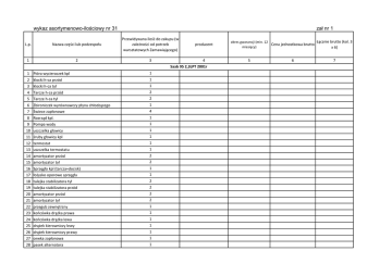
wykaz asortymenowo-ilościowy nr 31
zał nr 1
L.p.
Nazwa części lub podzespołu
Przewidywana ilość do zakupu (w
zależności od potrzeb
warsztatowych Zamawiającego)
1
2
3
1 Pióra wycieraczek kpl
1
2 klocki h-ca przód
1
3 klocki h-ca tył
1
4 Tarcze h-ca przód
2
5 Tarcze h-ca tył
2
6 Zbironiczek wyrównawczy płynu chłodzącego
1
7 Świece zapłonowe
4
8 Rozrząd kpl.
1
9 Pompa wody
1
10 uszczelka głowicy
1
11 śruby głowicy kpl
1
12 termostat
1
13 uszczelka termostatu
1
14 amortyzator przód
2
15 amortyzator tył
2
16 Sprzęgło kpl (tarcza+docisk)
1
17 łożysko oporowe sprzęgła
1
18 tulejka stabilizatora tył
2
19 tulejka stabilizatora przód
2
20 amortyzator przód
2
21 amortyzator tył
2
22 przegub zewnętrzny
1
23 końcówka drążka prawa
1
24 końcówka drążka lewa
1
25 drążek kierowniczy lewy
1
26 drążek kierowniczy prawy
1
27 cewka zapłonowa
1
28 pasek alternatora
1
producent
4
Saab 95 2,3LPT 2001r
Łącznie brutto (kol. 3
okres gwarancji (min. 12
Cena jednostkowa brutto
miesięcy)
x 6)
5
6
7
29 tuleja wahacza tylna
1
30 tuleja wahacza przednia
1
31 łącznik drążka stabilizatora przód
2
32 tuleja drążka stabilizatora przód
2
33 tarcza koła (felga)
2
RAZEM:
…………………………………………………………………….
pieczęć i podpis Wykoanwcy
lub osoby upoważnionej