zad 7 (6pkt) Ciąg geometryczny (an) ma 100 wyrazów i są one

Transkrypt

zad 7 (6pkt) Ciąg geometryczny (an) ma 100 wyrazów i są one
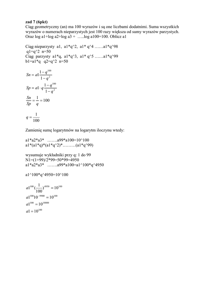
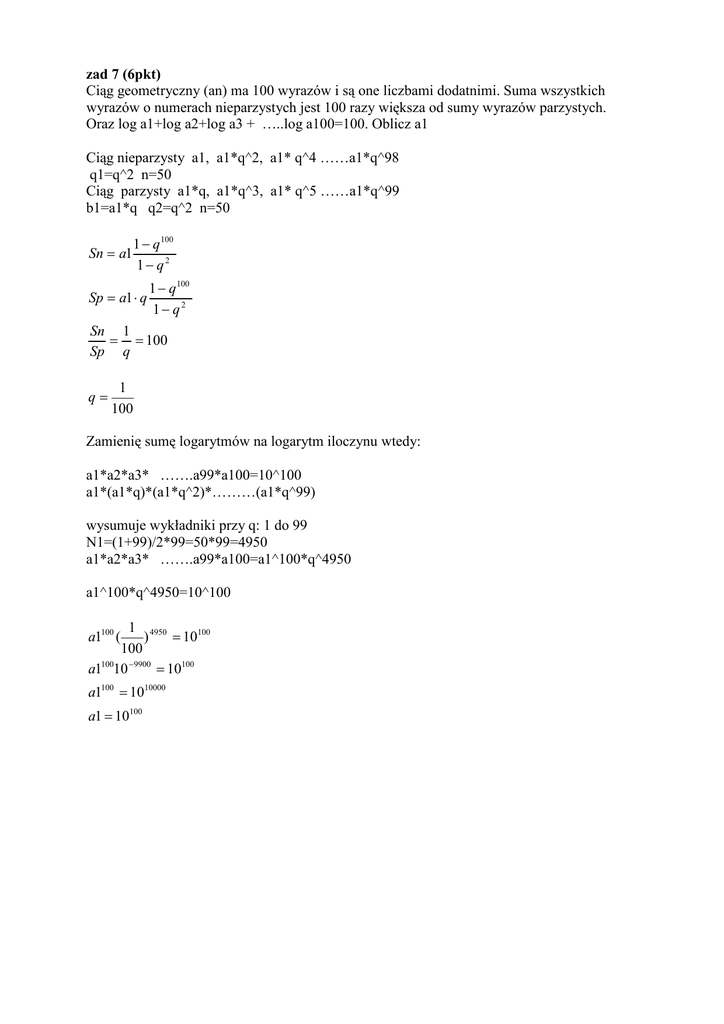
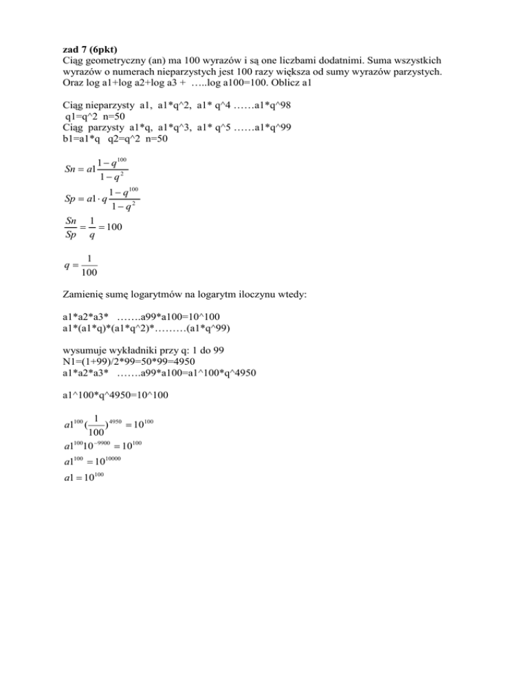
zad 7 (6pkt)
Ciąg geometryczny (an) ma 100 wyrazów i są one liczbami dodatnimi. Suma wszystkich
wyrazów o numerach nieparzystych jest 100 razy większa od sumy wyrazów parzystych.
Oraz log a1+log a2+log a3 + …..log a100=100. Oblicz a1
Ciąg nieparzysty a1, a1*q^2, a1* q^4 ……a1*q^98
q1=q^2 n=50
Ciąg parzysty a1*q, a1*q^3, a1* q^5 ……a1*q^99
b1=a1*q q2=q^2 n=50
1 − q 100
Sn = a1
1− q2
1 − q 100
Sp = a1 ⋅ q
1− q2
Sn 1
= = 100
Sp q
q=
1
100
Zamienię sumę logarytmów na logarytm iloczynu wtedy:
a1*a2*a3* …….a99*a100=10^100
a1*(a1*q)*(a1*q^2)*………(a1*q^99)
wysumuje wykładniki przy q: 1 do 99
N1=(1+99)/2*99=50*99=4950
a1*a2*a3* …….a99*a100=a1^100*q^4950
a1^100*q^4950=10^100
1 4950
)
= 10100
100
100
a1 10 −9900 = 10100
a1100 (
a1100 = 1010000
a1 = 10100
Zad 8 (4pkt)
Punkty A, B, C, D, E, F są kolejnymi wierzchołkami sześciokąta foremnego, przy czym
A = (0,2 3 ) B = (2,0) , a C leŜy na ossi Ox. Wyznacz równanie stycznej do okręgu
opisanego na tym sześciokącie przechodzącej przez wierzchołek E
Najpierw policzę z punktów A i B długość boku wielokąta
a 2 = 12 + 4 = 16
a=4
Punkt C ma współrzędne C(6,0)
Punkt E ma współrzędne E(6,2h), gdzie h wysokość w trójkącie równobocznym
a
h=
3=2 3
2
E = (6,4 3 )
Z równania pęku prostych y=m(x-xo)+yo
3
m = −tg 30 = −
3
3
y=−
( x − 6) + 4 3
3
3
y=−
x+6 3
3
Zad 9 (6pkt)
Oblicz objętość ostrosłupa trójkątnego , którego siatkę przedstawia rysunek
Najpierw naleŜy wyznaczyc połoŜenie spodka wysokosci punkt S , leŜy on
na przecięciu wysokości ścian bocznych.
Trojkat zolty jest podobny do trójkąta BCD
Wiec
y 2 = 40 2 − 24 2 = 1600 − 576 = 1024
y = 32
x 24
20 * 24
=
⇒x=
= 15
20
y
32
Wysokosc „h” sciany bocznej:
h 2 = 65 2 − 20 2 = 4225 − 400 = 3825
h = 3825 = 25 * 153 = 5 153
Wysokosc ostrosłupa:
H 2 = h 2 − x 2 = 3825 − 225 − 3600
H = 60
Pole podstawy Pp=24*y=24*32=768
V=1/3*Pp*H=1/3*768*60=20*768=15360
Zad 10 (5pkt)
Wyznacz wszystkie całkowite wartości parametru m, dla których równanie
[
]
( x 3 + 2 x 2 + 2 x + 1) x 2 − (2m + 1) x + m 2 + m ma trzy, parami róŜne, pierwiastki rzeczywiste,
takie Ŝe jeden z nich jest średnią arytmetyczną dwóch pozostałych.
ROZWIAZANIE:
Iloczyn jest równy zero gdy jeden z czynników jest równy zero.
x3 + 2x 2 + 2x + 1 = 0
Z twierdzenia Bezouta sprawdzę rozwiązania x=-1 lub x=1
f(x=-1)=-1+2-2+1=0
Po wydzieleniu f(x)/(x+1)=
( x 3 + x 2 + x 2 + x + x + 1) /( x + 1) = [ x 2 ( x + 1) + x( x + 1) + x + 1] /( x + 1) = x 2 + x + 1
Delta=1-4=-3 <0
Brak innych pierwiastków.
Przyrównam do zera drugi czynnik:
x 2 − (2m + 1) x + m 2 + m = 0
∆ = 4 m 2 + 4m + 1 − 4m 2 − 4 = 1
2m + 1 − 1
=m
2
2m + 1 + 1
x3 =
= m +1
2
x2 =
Sprawdze srednia arytmetyczna x2 -1 x3
x + x3 2m + 1
−1 = 2
=
2
2
2 m + 1 = −2
2 m = −3
3
2
Otrzymane m1 nie jest całałkowi
x3 − 1
x2 =
2
m
m= →m=0
2
wtedy x 2 = 0 x3 = 1
m1 = −
Trzeci przypadek:
x2 − 1
2
m −1
m +1 =
2
2m + 2 = m − 1
x3 =
m 3 = −3
wtedy x 2 = −3 x3 = −2
ODPOWIEDŹ: m=0 lub m=-3 wtedy x1=-1 x2=0 x3=-1 lub x1=-1 x2=-3 x3=-2
Zad 11 (4pkt)
Z urny zawierającej 10 kul ponumerowanych kolejnymi numeram od 1 do 10 losujemy
jednocześnie trzy kule. Oblicz prawdopodobieństwo zdarzenia A polegającego na tym , ze
numer jednej z wylosowanych kul jest rowny sumie numerów dwóch pozostałych.
Rozpisze najpierw moŜliwe zdarzenia A
3 => ( 2,1)
4 => (3,1)
5 => (2,3) (4,1)
6 => (1,5) (2,4)
7 => (1,6) (2,5) (3,4)
8 => (1,7) (2,6) (3,5)
9 => (1,8) (2,7) (3,6) (4,5)
10=>(1,9) (2,8) (3,7) (4,6)
n(A)=20
N (Ω ) =
P( A) =
! 8 * 9 * 10
( ) = 710
=
= 120
!*3!
6
10
3
20 1
=
120 6