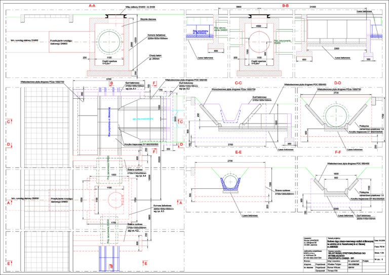
A A A-A B B B-B C-C D-D E-E F

Transkrypt

A A A-A B B B-B C-C D-D E-E F
A-A
B-B
6800
W‡az ¿eliwny DN600 - kl. D400
21000
£awa betonowa
Stopnie z‡azowe
600
Proj. zarurowanie DN500
Rw przydro¿ny
ul. S‡onecznej
Proj. zarurowanie
DN800
600
2300
900
stalowego DN800
2200x1500x1500mm
1050
Przed‡u¿enie ruroci„gu
2000
Istn. ruroci„g stalowy DN800
~2200
Komora ¿elbetowa
Chudy beton
200
1100
200
£awa betonowa
gr. 200mm
£awa betonowa
350
CzŒ osadcza
3
V=0,6m
3
200
V=0,6m
1100
600
CzŒ osadcza
2700
Wielootworowa p‡yta drogowa POC 550/450
B
Gurt betonowy
150
Wielooteorowa p‡yta drogowa POJa 1000/750
2700x1500x150mm
F
C-C
Gurt betonowy
Wielootworowa p‡yta drogowa POC 550/450
D-D
2000x1100x150mm
wg rys. 6.1
wg rys. 6.2
Wielootworowa p‡yta drogowa POJa 1000/750
Wielootworowa p‡yta drogowa POJa 1000/750
350
150
2700
Gurt betonowy
1700
250
C
Podsypka
cementowo-piaskowa 1:4
200
350
2700
350
£awa betonowa
F
£awa betonowa
E-E
20000
600
Korytko trapezowe OT 900/200/500
200
D
Korytko trapezowe OT 900/200/500
500
800
D
F-F
2700
Wielootworowa p‡yta drogowa POC 550/450
ciana czo‡owa
2700x1700x200mm
wg rys. 6.4
1600
900
1100
1300
1500
12000
Proj. zarurowanie DN800
1500
Istn. rw melioracyjny
150
C
2000
Rw przydro¿ny ul. S‡onecznej
1000
2700x1500x150mm
1100
ciana czo‡owa
cementowo-piaskowa 1:4
500
Korytko trapezowe OT 900/200/500
A
200
stalowego DN800
1700
A
Przed‡u¿enie ruroci„gu
1100
Istn. ruroci„g stalowy DN800
1500
500
Podsypka
2700x1300x200mm
Komora ¿elbetowa
2000
150
2200x1500x1500mm
6800
£awa betonowa
£awa betonowa
Gurt betonowy
2000x1100x150mm
1700
ciana czo‡owa
2700x1300x200mm
200
wg rys. 6.3
Inwestor:
Temat projektu:
Gmina JAWORZE
600
Proj. zarurowanie DN500
wg rys. 6.5
ul. Zdrojowa 82
43-384 Jaworze
Budowa ci„gu pieszo-rowerowego wzd‡u¿ ul.S‡onecznej
na odcinku od ul. Kaczeæcowej do ul. Cisowej
Faza: PB-W
w JAWORZU
Jednostka projektowa:
Nazwa rysunku:
NIWELLA s.c.
WLOT ROWU PRZYDROflNEGO DO
ul. Kalinowa 35
ISTNIEJ¥CEGO
97-400 BE£CHATW
Bran¿a :
E
E
B
Data: 08.2008
PRZEPUSTU DN800 - W1
ImiŒ i nazwisko:
Nr uprawnieæ:
drogowa
Projektowa‡:
Wies‡aw Pagier
UAN.V.8398(33)89
kan. deszczowa
Projektowa‡:
Roman Wilczek
63/91/B-B
Opracowa‡:
Tomasz Kli
Skala: 1:25
Nr rys.: 6
Podpis: