zmieniony załącznik nr 41 ds 20-14

Transkrypt

zmieniony załącznik nr 41 ds 20-14
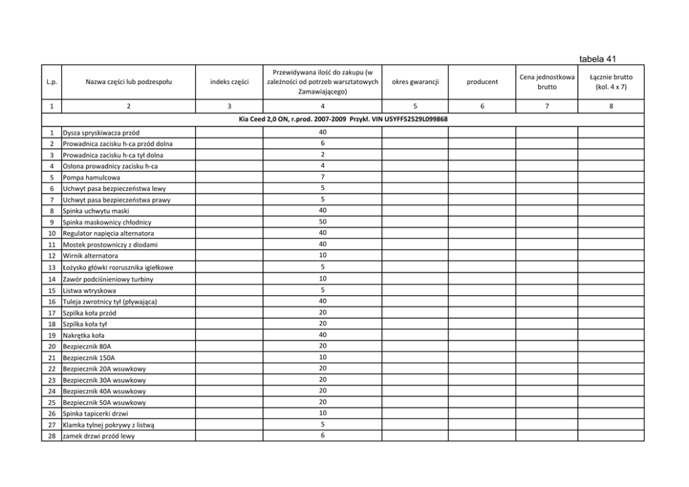
tabela 41
L.p.
Nazwa części lub podzespołu
indeks części
Przewidywana ilość do zakupu (w
zależności od potrzeb warsztatowych
Zamawiającego)
okres gwarancji
producent
Cena jednostkowa
brutto
Łącznie brutto
(kol. 4 x 7)
1
2
3
4
5
6
7
8
Kia Ceed 2,0 ON, r.prod. 2007-2009 Przykł. VIN U5YFF52529L099868
1
Dysza spryskiwacza przód
40
2
Prowadnica zacisku h-ca przód dolna
6
3
Prowadnica zacisku h-ca tył dolna
2
4
Osłona prowadnicy zacisku h-ca
4
5
Pompa hamulcowa
7
6
Uchwyt pasa bezpieczeństwa lewy
5
7
Uchwyt pasa bezpieczeństwa prawy
5
8
Spinka uchwytu maski
40
9
Spinka maskownicy chłodnicy
50
10 Regulator napięcia alternatora
40
11 Mostek prostowniczy z diodami
40
12 Wirnik alternatora
10
13 Łożysko główki rozrusznika igiełkowe
5
14 Zawór podciśnieniowy turbiny
10
15 Listwa wtryskowa
5
16 Tuleja zwrotnicy tył (pływająca)
40
17 Szpilka koła przód
20
18 Szpilka koła tył
20
19 Nakrętka koła
40
20 Bezpiecznik 80A
20
21 Bezpiecznik 150A
10
22 Bezpiecznik 20A wsuwkowy
20
23 Bezpiecznik 30A wsuwkowy
20
24 Bezpiecznik 40A wsuwkowy
20
25 Bezpiecznik 50A wsuwkowy
20
26 Spinka tapicerki drzwi
10
27 Klamka tylnej pokrywy z listwą
5
28 zamek drzwi przód lewy
6
29 zamek drzwi przód prawy
5
30 ogranicznik drzwi przód lewy
5
31 ogranicznik drzwi przód prawy
3
32 wspornik amortyzatora tył
40
33 silnik wentylatora chłodnicy
15
34 silnik wentylatora dmuchawy
35
35 uszczelka miedziana wtrysku
100
36 reflektor prawy
10
37 reflektor lewy
10
38 uszczelka turbosprężarki
Przewód gumowy (sprężarka -filtr
39 powietrza)
30
10
40 Przewód gumowy (sprężarka -intercooler)
10
41 spręzyna zawieszenia przód
15
42 przewód elastyczny h-ca przód
15
43 przewód elastyczny h-ca tył
10
44 tłumik końcowy
10
45 uszczelka katalizatora
10
46 wieszak tłumika
20
47 panel sterujący podnoszeniem szyb
10
48 łozysko górne Mac Phersona
60
49 automat STOP
5
50 rezystor wentylatora chłodnicy
10
51 uszczelka chłodnicy oleju górna
80
52 uszczelka chłodnicy oleju dolna
80
53 korek układu chłodniczego
4
54 ramię wycieraczki tył
40
55 Przepływomierz powietrza
15
56 czujnik obrotów wału korbowego
20
57 pompa paliwa
10
58 Zawór EGR
10
59 tarcza koła (felga)
6
60 Koło zamachowe dwumasowe
60
61 łozysko oporowe sprzęgła
60
62 sprzęgło kpl (docisk +tarcza)
60
63 Pompa sprzęgła
25
64 Tuleja wahacza przedniego przód
50
65 Tuleja wahacza przedniego tył
50
66 tulejka stabilizatora przód
100
67 tulejka stabilizatora tył
60
68 łącznik drążka stabilizatora przód
200
69 łącznik drążka stabilizatora tył
150
70 drążek kierowniczy
40
71 Osłona drążka kierowniczego gumowa
50
72 końcówka drążka lewa
20
73 końcówka drążka prawa
20
74 drążek reakcyjny (drążek wahacza)tył
100
75 sworzeń wachacza
100
76 śruba łącznika wahacza tył
100
77 podkładka regulacyjna łącznika wahacza tył
100
78 łozysko piasty przód lewe
10
79 łożysko piasty przód prawe
10
80 łożysko piasty tył lewe (z piastą)
10
81 łożysko piasty tył prawe (z piastą)
10
82 Pasek wielorowkowy alternatora
100
83 rolka paska wielorowkowego
20
84 napinacz paska wielorowkowego
30
85 koło pasowe (sprzęgło) alternatora
koło pasowe sprężarki klimatyzacji
86 976433K120
15
87 Koło zębate rozrusznika 3614227700
50
88 Uszczelka kolektora wydechowego
10
89 Uszczelka kolektora ssącego
10
90 śruby głowicy 1kpl
10
91 Uszczelka pokrywy zaworów
30
92 Zbiornik spryskiwacza
3
10
93 pompka spryskiwacza
3
94 pasek rozrządu
70
95 rolka prowadząca rozrządu
70
96 napinacz paska rozrządu
70
97 pompa wody
70
98 pióro wycieraczki przód kpl
150
99 pióro wycieraczki tył
50
100 termostat
10
101 świeca żarowa
28
102 szczęki h-ca ręcznego
50
103 linka h-ca ręcznego prawa
45
104 linka h-ca ręcznego lewa
45
105 amortyzator przód
30
106 amortyzator tył
20
107 łozysko 6002
60
108 zespół sprzegający (bendix)
60
109 włącznik rozrusznika (automat)
60
110 szczotkotrzymacz
kpl osłona przegubu zewnętrznego
111 (gumowa)
40
30
112 przegub zewnetrzny
15
113 cewka sprężarki klimatyzacji
5
114 sprzęgło sprężarki klimatyzacji
20
115 pompa wysokiego ciśnienia
2
116 Panewka korkowodowa 1kpl-8szt
2
117 panewka główna 1kpl - 8szt
2
118 panewka główna z oporami 2szt
2
119 wał korbowy
2
120 korbowód
8
121 uszczelniacz tylny silnika
15
122 uszczelniacz przedni silnika
15
123 uszczelniacz wałka rozrządu
20
124 śruby głowicy 1kpl
10
125 popychacz hydrauliczny zaworu
96
126 wałek rozrządu wydechowy
6
127 dżwignia wydechowa
96
128 dżwignia ssąca
elektromagnetyczny zawór sterujący
129 sprężarką
96
130 chłodnica wody
5
2
131 chłodnica klimatyzacji
5
132 tulejka rozrusznika
60
133 zacisk hamulca przód lewy
2
134 zacisk hamulca przód prawy
2
135 zacisk hamulca tył lewy
2
136 zacisk hamulca tył prawy
2
137 zestaw naprawczy zacisku przod - tłoczek
4
138 zestaw naprawczy zacisku tył - tłoczek
4
139 odbój - osłona amortyzatora przod kpl
15
140 odbój - osłona amortyzatora tył kpl
15
141 nadkole plastikowe przód
4
142 nadkole plastikowe tył
4
143 stojan rozrusznika
10
144 pierścień zabezpieczający rozrusznika
5
145 uszczelka pompy wody
3
146 zawór regulacji ciśnienia na szynie CR
2
147 przekażnik świec żarowych - sterownik
3
148 grzejnik nagrzewnicy
3
149 górne mocowanie amortyzatora przód
20
150 sprężyna zawieszenia tył
20
151 pompa oleju
2
152 zbiornik wyrównawczy płynu chłodniczego
153 bateria pilota A27
4
150
154 regulator - mostek podstawa
3
155 czujnik poziomu płynu spryskiwaczy
2
156 poduszka silnika prawa
2
157 poduszka silnika lewa
2
158 poduszka silnika przednia
2
159 poduszka silnika tylnia
2
160 spinka podpory maski silnika
20
161 Lampa tylna lewa
1
162 lampa tylna prawa
1
163 kolumna kierownicza ze wspomaganiem
Tuleja wahacza tylnego wzdłużnego
164 przednia
2
20
165 Tuleja drążka poprzecznego tylnego
20
166 Tuleja wewn. wahacza tylnego
Linka otwierania wlewu paliwa
167 (815901H500)
20
168 Wałek rozrządu
10
169 Uszczelka korka spustowego oleju
uszczelniacz 22*35*7 - dekla
170 klawiatury(wtrysk)
60
40
171 tłok silnika
12
172 pierścień tłoka kpl
173 Klocki h-ca przod
174 Tarcza h-ca przód
175 Uszczelka głowicy
176 Śruba głowicy 1 kpl
177 uszczelka kolektora ssącego
178 uszczelka kolekrora wydechowego
179 rozrząd silnika kpl
180 Pompa wody
181 koło zamachowe
182 łożysko oporowe sprzęgła
183 sprzęgło kpl (docisk +tarcza)
184 Pompa sprzęgła
185 Pasek wielorowkowy alternatora
186 Rolka paska wieiorowkowego
2
12
KIA Ceed 1,6 ON 2011-2012r. Przykł. VIN U5YHM816ADL011189
30
16
1
1
1
1
5
5
5
5
5
5
20
20
187 napinacz paska wielorowkowego
188 Uszczelka pokrywy zaworów
20
189 Czujnik obrotu walka rozrządu
190 Przepływomierz
1
191 Pióra wycieraczek przód kpl
192 Pióro wycieraczek tył
193 Zawór EGR
1
2
30
8
2
RAZEM BRUTTO
…………………………………………………………………….
pieczęć i podpis Wykoanwcy
lub osoby upoważnionej