Urządzenia - Kronospan

Transkrypt

Urządzenia - Kronospan
KRONOSPAN Szczecinek Sp. z o.o.·
ul. Waryńskiego 1 · 78-400 Szczecinek · Poland
T +48 94 3730 100 · F +48 94 3730 109
[email protected] · www.kronospan.pl
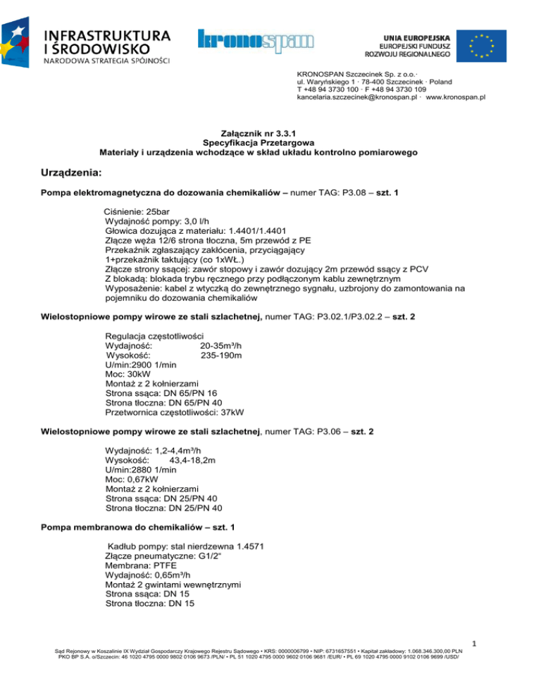
Załącznik nr 3.3.1
Specyfikacja Przetargowa
Materiały i urządzenia wchodzące w skład układu kontrolno pomiarowego
Urządzenia:
Pompa elektromagnetyczna do dozowania chemikaliów – numer TAG: P3.08 – szt. 1
Ciśnienie: 25bar
Wydajność pompy: 3,0 l/h
Głowica dozująca z materiału: 1.4401/1.4401
Złącze węża 12/6 strona tłoczna, 5m przewód z PE
Przekaźnik zgłaszający zakłócenia, przyciągający
1+przekaźnik taktujący (co 1xWŁ.)
Złącze strony ssącej: zawór stopowy i zawór dozujący 2m przewód ssący z PCV
Z blokadą: blokada trybu ręcznego przy podłączonym kablu zewnętrznym
Wyposażenie: kabel z wtyczką do zewnętrznego sygnału, uzbrojony do zamontowania na
pojemniku do dozowania chemikaliów
Wielostopniowe pompy wirowe ze stali szlachetnej, numer TAG: P3.02.1/P3.02.2 – szt. 2
Regulacja częstotliwości
Wydajność:
20-35m³/h
Wysokość:
235-190m
U/min:2900 1/min
Moc: 30kW
Montaż z 2 kołnierzami
Strona ssąca: DN 65/PN 16
Strona tłoczna: DN 65/PN 40
Przetwornica częstotliwości: 37kW
Wielostopniowe pompy wirowe ze stali szlachetnej, numer TAG: P3.06 – szt. 2
Wydajność: 1,2-4,4m³/h
Wysokość:
43,4-18,2m
U/min:2880 1/min
Moc: 0,67kW
Montaż z 2 kołnierzami
Strona ssąca: DN 25/PN 40
Strona tłoczna: DN 25/PN 40
Pompa membranowa do chemikaliów – szt. 1
Kadłub pompy: stal nierdzewna 1.4571
Złącze pneumatyczne: G1/2“
Membrana: PTFE
Wydajność: 0,65m³/h
Montaż 2 gwintami wewnętrznymi
Strona ssąca: DN 15
Strona tłoczna: DN 15
1
Sąd Rejonowy w Koszalinie IX Wydział Gospodarczy Krajowego Rejestru Sądowego • KRS: 0000006799 • NIP: 6731657551 • Kapitał zakładowy: 1.068.346.300,00 PLN
PKO BP S.A. o/Szczecin: 46 1020 4795 0000 9802 0106 9673 /PLN/ • PL 51 1020 4795 0000 9602 0106 9681 /EUR/ • PL 69 1020 4795 0000 9102 0106 9699 /USD/
KRONOSPAN Szczecinek Sp. z o.o.·
ul. Waryńskiego 1 · 78-400 Szczecinek · Poland
T +48 94 3730 100 · F +48 94 3730 109
[email protected] · www.kronospan.pl
Armatura:
pneumatyczna armatura regulacyjna, numer TAG: CV332 – szt. 1
DN80, PN40
Materiał: 1.4408
Kvs:80 m³/h, charakterystyka równoprocentowa
Napęd pneumatyczny zamyka przy różnicy ciśnień wynoszącej przynajmniej 22bar
Wyposażony w pozycjoner ze wskaźnikiem usterki,
Oprogramowanie łącznika krańcowego,
Wejście 4-20mA, maksymalne zasilanie 6bar
Montaż z 2 kołnierzami
pneumatyczny zawór odcinający, numer TAG: VP752 – szt. 1
DN 20, PN 40
Materiał obudowy:1.4581
Temperatura medium:-60°C – 230°C
Wyposażenie: mieszek sprężysty metalowy
Kvs: 6,4m³
Napęd pneumatyczny ze stali szlachetnej
Elektryczny wskaźnik położenia
Ciśnienie sterujące: 5-6bar
Montaż z 2 kołnierzami
pneumatyczna zasuwa identyfikacyjny: KP751 - szt. 2
DN 250, PN 40
Montaż z 2 kołnierzami
termometry bimetaliczne – szt.10
Średnica obudowy 100 mm
Zakres temperaturowy: 0-300°C
Z rurą ochronną do zespawania (długość: 200 mm) ze stali czarnej
termometry bimetaliczne – szt.4
Średnica obudowy 100 mm
Zakres temperaturowy: 0-200°C
Z rurą ochronną do zespawania (długość: 200 mm) ze stali (1.4571)
stacje redukcji ciśnienia / reduktory ciśnienia – szt.10
Zakres roboczy: 0-6 bar
Wyposażenie: z filtrem i oddzielaczem wody
Wyposażenie: ze wskaźnikiem ciśnienia / manometrem
Wyposażenie: płyta do montażu do ściany betonowej lub konstrukcji stalowej
Złącza: G1/2”
2
Sąd Rejonowy w Koszalinie IX Wydział Gospodarczy Krajowego Rejestru Sądowego • KRS: 0000006799 • NIP: 6731657551 • Kapitał zakładowy: 1.068.346.300,00 PLN
PKO BP S.A. o/Szczecin: 46 1020 4795 0000 9802 0106 9673 /PLN/ • PL 51 1020 4795 0000 9602 0106 9681 /EUR/ • PL 69 1020 4795 0000 9102 0106 9699 /USD/
KRONOSPAN Szczecinek Sp. z o.o.·
ul. Waryńskiego 1 · 78-400 Szczecinek · Poland
T +48 94 3730 100 · F +48 94 3730 109
[email protected] · www.kronospan.pl
Projekt punktów pomiarowych ścieków MDF: Kronospan Szczecinek
Grupa 3: Proces pary
Nr.:
03QRCA610 (3,03)
03LIA330 (3,04)
Punkty pomiarowe
Pomiar pH wody zasilającej
Poziom destylatu 3.01
Oznaczenie
QRCA
LIA
03LSA331 (3,05)
Max. Poziom sondy
LSA
03FR430 (3,07)
03TR300 (3.07.1)
03LICA332 (3,08)
Licznik wody zasilającej
Licznik temperatury
Poziom separatora pary
Min. Max. Poziom separatora
pary
Generator ciśnienia pary
Temperatura parownika
Temperatura oleju grzewczego
Temperatura końcowa oleju
grzewczego
FR
TR
LICA
03LSA333 (3,09)
03PRC200 (3,11)
03TR301 (3,12)
03TR302 (3,13)
03TR303 (3,14)
03LA334 (3,16)
03LS335 (3,15)
Min. poziom zbiornika 3,09
Min. Max sondy ekspander
3,04
LSA
PRC
TR
TR
TR
LA
LSA
System
pomiarowy
Kont.
Kont.
Wyłącznik
krańcowy
Wejście
impulsowe
Kont.
Kont.
Wyłącznik
krańcowy
Kont.
Kont.
Kont.
Kont.
Wyłącznik
krańcowy
Wyłącznik
krańcowy
Sygnał pomiarowy
4…20 mA
4…20 mA
zakres pomiarowy
3-14
0…1200mbar
1S
Przyłącza procesowe/ Div
Obudowa
DN50 PN 16 kołnierz
G1A WHG
Impuls
4…20 mA
4…20 mA
0…30m3/h
PT100 0…120oC
0…400mbar
DN50 PN40
G1/2A
DN80 Zelle 220oC 5…6m kapilarne
2S
4…20 mA
4…20 mA
4…20 mA
0…20bar
PT100 . 0…300oC
PT100 . 0…300oC
G1
DN50 kołnierz 220 oC
G1/2A
G1/2A
4…20 mA
PT100 . 0…300oC
G1/2A
1S
2S
G1
3
Sąd Rejonowy w Koszalinie IX Wydział Gospodarczy Krajowego Rejestru Sądowego • KRS: 0000006799 • NIP: 6731657551 • Kapitał zakładowy: 1.068.346.300,00 PLN
PKO BP S.A. o/Szczecin: 46 1020 4795 0000 9802 0106 9673 /PLN/ • PL 51 1020 4795 0000 9602 0106 9681 /EUR/ • PL 69 1020 4795 0000 9102 0106 9699 /USD/