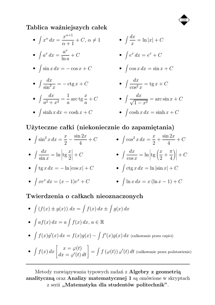
Tablica ważniejszych całek Użyteczne całki (niekoniecznie do

Transkrypt

Tablica ważniejszych całek Użyteczne całki (niekoniecznie do
GiS
Tablica ważniejszych całek
xα+1
+ C, α 6= 1
α+1
•
Z
dx
= ln |x| + C
x
•
Z
ex dx = ex + C
sin x dx = − cos x + C
•
Z
cos x dx = sin x + C
Z
dx
= − ctg x + C
sin2 x
•
Z
dx
= tg x + C
cos2 x
•
Z
1
x
dx
= arc tg + C
2
2
a +x
a
a
•
Z
√
•
Z
sinh x dx = cosh x + C
•
Z
cosh x dx = sinh x + C
•
Z
xα dx =
•
Z
ax
a dx =
+C
ln a
•
Z
•
x
dx
= arc sin x + C
1 − x2
Użyteczne całki (niekoniecznie do zapamiętania)
x sin 2x
+C
sin x dx = −
2
4
•
Z
•
Z
•
Z
tg x dx = − ln |cos x| + C
•
Z
xe dx = (x − 1)e + C
2
dx
x
= ln tg + C
sin x
2
x
x
x sin 2x
+
+C
2
4
•
Z
cos2 x dx =
•
Z
•
Z
x π
dx
= ln tg
+
cos x
2 4
ctg x dx = ln |sin x| + C
•
Z
ln x dx = x (ln x − 1) + C
!
+C
Twierdzenia o całkach nieoznaczonych
•
Z
•
Z
af (x) dx = a
•
Z
f (x)g ′(x) dx = f (x)g(x) −
•
Z
(f (x) ± g(x)) dx =

Z
Z
f (x) dx ±
Z
g(x) dx
f (x) dx, a ∈ R

Z
f ′ (x)g(x) dx
(całkowanie przez części)
x = ϕ(t)  Z
f (x) dx 
= f (ϕ(t)) ϕ′(t) dt
dx = ϕ′(t) dt
(całkowanie przez podstawienie)
Metody rozwiązywania typowych zadań z Algebry z geometrią
analityczną oraz Analizy matematycznej 1 są omówione w skryptach
z serii „Matematyka dla studentów politechnik”.

Podobne dokumenty