Instrukcja do ćwiczeń Temat: Analiza sanitarna gleby – Cz.1/Cz.2.

Transkrypt

Instrukcja do ćwiczeń Temat: Analiza sanitarna gleby – Cz.1/Cz.2.
Katedra i Zakład Mikrobiologii i Wirusologii
Wydział Farmaceutyczny z
Oddziałem Medycyny Laboratoryjnej
Mikrobiologia ogólna
o
Biotechnologia medyczna II rok / I
Instrukcja do ćwiczeń
Temat: Analiza sanitarna gleby – Cz.1/Cz.2.
CZEŚĆ TEORETYCZNA
1. Źródła zanieczyszczenia mikrobiologicznego gleby.
2. Bakterie chorobotwórcze bytujące w glebie.
3. Badanie bakteriologiczne gleby do celów sanitarnych.
CZĘŚĆ PRAKTYCZNA
I. Sporządzenie zawiesiny wyjściowej i szeregu rozcieńczeń gleby
·
·
·
odważyć 10 g badanej gleby i zawiesić w 90 mi sterylnej soli fizjologicznej.
wytrząsać przez min. 5 min. i pozostawić do opadnięcia większych cząstek.
-2
-6
z tak przygotowanej zawiesiny sporządzić szereg rozcieńczeń w roztworze soli fizjologicznej od 10 do 10 ,
a następnie wykonać poniższe oznaczenia.
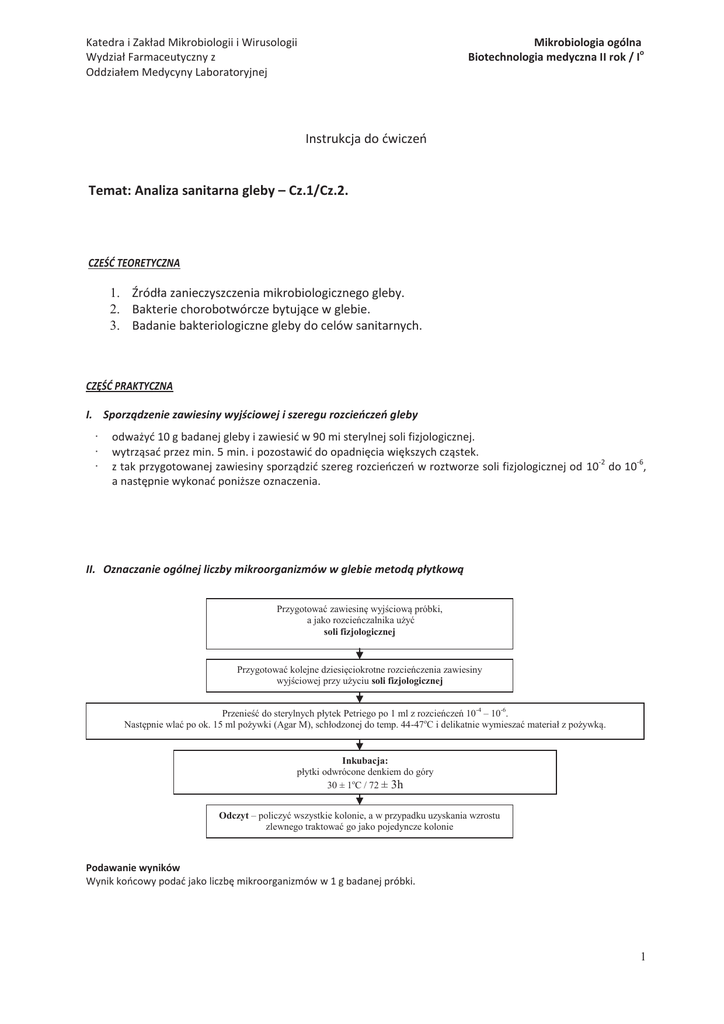
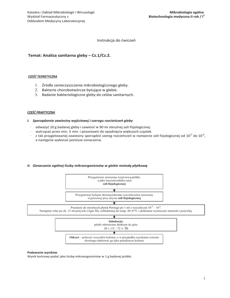
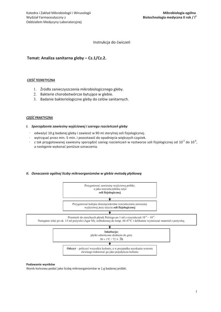
II. Oznaczanie ogólnej liczby mikroorganizmów w glebie metodą płytkową
Przygotować zawiesinę wyjściową próbki,
a jako rozcieńczalnika użyć
soli fizjologicznej
Przygotować kolejne dziesięciokrotne rozcieńczenia zawiesiny
wyjściowej przy użyciu soli fizjologicznej
Przenieść do sterylnych płytek Petriego po 1 ml z rozcieńczeń 10 -4 – 10-6.
Następnie wlać po ok. 15 ml pożywki (Agar M), schłodzonej do temp. 44-47oC i delikatnie wymieszać materiał z pożywką.
Inkubacja:
płytki odwrócone denkiem do góry
30 ± 1oC / 72 ± 3h
Odczyt – policzyć wszystkie kolonie, a w przypadku uzyskania wzrostu
zlewnego traktować go jako pojedyncze kolonie
Podawanie wyników
Wynik końcowy podać jako liczbę mikroorganizmów w 1 g badanej próbki.
1
III. Oznaczanie liczby bakterii z grupy coli w glebie metodą płytkową
Przygotować zawiesinę wyjściową próbki,
a jako rozcieńczalnika użyć
soli fizjologicznej
Przygotować kolejne dziesięciokrotne rozcieńczenia zawiesiny
wyjściowej przy użyciu soli fizjologicznej
Przenieść po 1 ml z rozcieńczeń 10-1 – 10-3 do płytek Petriego i zalać 15 ml podłoża
VRBL. Po zestaleniu wlać po ok. 4 ml pożywki VRBL
Inkubacja:
37 oC / 24 ± 2 h
Odczyt – policzyć wszystkie kolonie barwy ciemnopurpurowej na każdej płytce zawierającej mniej niż 150 charakterystycznych
kolonii.
Podawanie wyników
Wynik końcowy podać jako liczba bakterii z grupy coli w 1 g badanej próbki.
IV. Oznaczanie najbardziej prawdopodobnej liczby (NPL) bakterii z grupy coli i bakterii z grupy coli typ fekalny
w glebie metodą probówkową
Przygotować zawiesinę wyjściową próbki, a jako rozcieńczalnika użyć soli fizjologicznej
Przygotować kolejne dziesięciokrotne rozcieńczenia zawiesiny wyjściowej przy użyciu soli fizjologicznej
W zależności od systemu posiewu: 3x1g , 3x0,1g, 3x0,01g itd. lub 5x1g, 5x0,1g, 5x0,01g itd. przenieść po 10 ml zawiesiny
wyjściowej do 2xstężonej pożywki namnażająco-selektywnej (z siarczanem laurylowym i peptonem tryptose). W
przypadku posiewu 1 ml zawiesiny wyjściowej i kolejnych jej rozcieńczeń zastosować należy pożywkę 1xstężoną.
Inkubacja:
30 lub 37 ± 1oC / 24 ± 2 h (48 ± 2 h)
Po inkubacji z każdej dodatniej probówki (zmętnienie/gaz) pobrać hodowlę i przenieść do probówek z pożywką potwierdzająca
(Pożywka z laktozą, żółcią i zielenią brylantową)
Inkubacja: 30 lub 37 ± 1oC / 24 ± 2 h (48 ± 2 h)
Odczyt – za dodatni wynik należy uznać obecność zmętnienia lub gazu (obecność bakterii z grupy coli)
W celu potwierdzenia obecności bakterii z grupy coli typ fekalny należy przenieść hodowlę z każdej dodatniej probówki z pożywką
potwierdzającą grupę coli na agar Endo
Inkubacja: 44 ± 1oC / 24 ± 2 h (48 ± 2 h)
Odczyt – za dodatni wynik należy uznać obecność ciemnoczerwonych kolonii często z metalicznym zielonozłotym połyskiem
(obecność bakterii z grupy coli typ fekalny)
Podawanie wyników
Wynik końcowy podać jako NPL bakterii z grupy coli w 1 g badanej próbki na podstawie tablic NPL.
2
V. Oznaczanie liczby enterokoków kałowych w glebie metodą płytkową
Przygotować zawiesinę wyjściową próbki,
a jako rozcieńczalnika użyć
soli fizjologicznej
Przygotować kolejne dziesięciokrotne rozcieńczenia zawiesiny
wyjściowej przy użyciu soli fizjologicznej
Przenieść po 0,1 ml z rozcieńczeń 10-1 – 10-3 do płytek Petriego z podłożem Slanetza Bartleya i rozprowadzić inokulum na całej
powierzchni podłoża przy użyciu sterylnej głaszczki. W celu zwiększenia granicy oznaczalności można posiać 1 ml zawiesiny wyjściowej
(w dwóch powtórzeniach) na trzy płytki Petriego z podłożem Slanetza Bartleya.
Inkubacja:
37oC±1oC / 24 - 48 h ±2 h
Odczyt – do liczenia wybrać płytki na których jest od 15 do 300 kolonii. Za typowe należy uznać wszystkie kolonie, wykazujące w
środku lub w całości barwę czerwoną, kasztanową lub różową.
Podawanie wyników
Wynik podać jako liczbę enterokoków w 1 g badanej próbki.
VI. Oznaczanie liczby Clostridium perfringens w glebie
Przygotować zawiesinę wyjściową próbki,
a jako rozcieńczalnika użyć
soli fizjologicznej
Przygotować kolejne dziesięciokrotne rozcieńczenia zawiesiny
wyjściowej przy użyciu soli fizjologicznej
Przenieść po 1 ml z rozcieńczeń 10-1 – 10-3 do płytek Petriego i zalać 1015 ml podłoża TSC. Po zestaleniu wlać 10 ml pożywki TSC
Inkubacja: w warunkach beztlenowych
37oC±1oC / 20 ±2 h
Odczyt – do liczenia wybrać płytki na których jest poniżej 150 kolonii i policzyć wszystkie czarne
kolonie
Podawanie wyników
Wynik podać jako liczbę Clostridium perfringens w 1 g badanej próbki.
3
VII. Wykrywanie pałeczek Salmonella spp. w glebie
Przednamnażanie
Odważyć 25 g badanej próbki i przenieść do 225 ml zbuforowanej wody peptonowej (lub jej
wielokrotność przy zachowaniu stosunku 1:9).
Inkubacja:
37oC±1oC / 18±2 h
Selektywne namnażanie
Po inkubacji przenieś 0,1 i 1 ml zawiesiny, odpowiednio, do pożywki RVS i MKTTn
Inkubacja:
Pożywka RVS: 41,5oC±1oC / 24±3 h
Pożywka MKTTn: 37oC±1oC / 24±3 h
Posiew na selektywne podłoża agarowe
Po inkubacji przy pomocy ezy przenieś hodowlę z każdej pożywki płynnej na podłoże BGA i
podłoże XLD i dokonać posiewu redukcyjnego, tak aby uzyskać pojedyncze kolonie
Inkubacja:
37oC±1oC / 24±3 h
Odczyt:
Kolonie na BGA: typowe kolonie są różowe, wypukłe i drobne otoczone strefą czerwono zabarwionej pożywki.
Kolonie na XLD: typowe kolonie mają czarny zabarwiony środek oraz lekko przezroczyste obrzeże czerwonawej barwy
spowodowane zmianą zabarwienia wskaźnika
Uwaga!: Szczepy Salmonella nie produkujące siarkowodoru rosną na XLD w postaci różowych kolonii z ciemniejszymi
środkami. Szczepy Salmonella laktozo-dodatnie rosną w postaci żółtych kolonii z charakterystycznym zaczernieniem lub bez
takiego czarnienia.
Dokonać posiewu charakterystycznych i podejrzanych kolonii na agar odżywczy (co najmniej jedną z
każdej płytki (w przypadku wyniku negatywnego do potwierdzenia wybrać dalsze cztery kolonie)
Inkubacja:
37oC±1oC / 24±3 h
Potwierdzenie
Potwierdzenie serologiczne: wykonać aglutynację szkiełkową z wykorzystaniem surowic O, Vi, H, przy czym w
pierwszej kolejności należy sprawdzić możliwość wystąpienia autoaglutynacji (w przypadku pozytywnej reakcji
nie należy wykonywać testu z pozostałymi surowicami)
Potwierdzenie biochemiczne: użyć gotowych testów API 20E i postępować zgodnie z zaleceniami producenta, a odczytu
dokonać przy pomocy specjalnej ksiązki kodowej.
Podawanie wyników
Wynik podać jako obecność lub nieobecność Salmonella spp. w 25 g próbki gleby.
4