Opracowanie planu_ZFŚS_P.48_DOSS

Transkrypt

Opracowanie planu_ZFŚS_P.48_DOSS
KARTA PROCEDURY
P.48_DOSS
Procedura: P.48
Zakres przedmiotowy: opracowanie planu – ZFŚS (Zakładowy Fundusz Świadczeń Socjalnych)
Formularz: plan podziału środków na ZFŚS, protokół,
Uczestnicy procesu:
1. pracownicy: Rektor, Kwestor (KW), Dział Osobowy i Spraw Socjalnych (DOSS),
2. komisje/rady: Zespół Roboczy,
Właściciel procesu: Dział Osobowy i Spraw Socjalnych (DOSS)
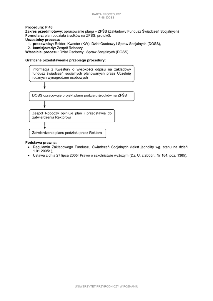
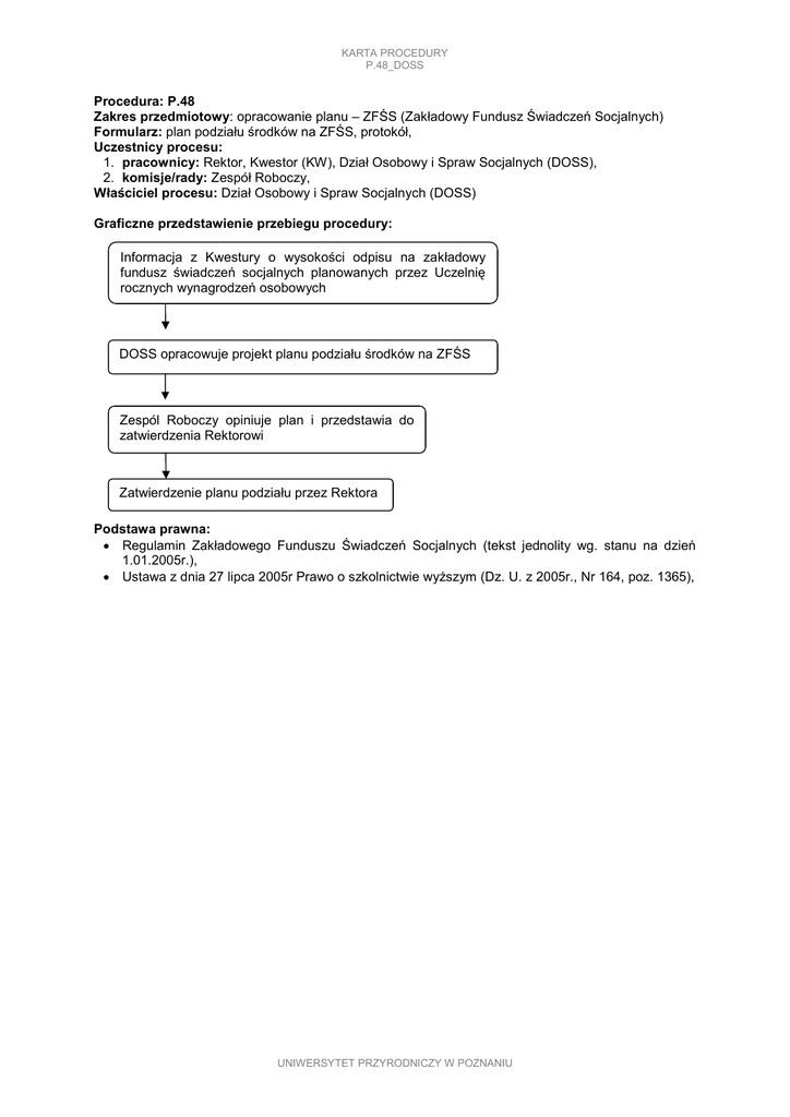
Graficzne przedstawienie przebiegu procedury:
Informacja z Kwestury o wysokości odpisu na zakładowy
fundusz świadczeń socjalnych planowanych przez Uczelnię
rocznych wynagrodzeń osobowych
DOSS opracowuje projekt planu podziału środków na ZFŚS
Zespól Roboczy opiniuje plan i przedstawia do
zatwierdzenia Rektorowi
Zatwierdzenie planu podziału przez Rektora
Podstawa prawna:
• Regulamin Zakładowego Funduszu Świadczeń Socjalnych (tekst jednolity wg. stanu na dzień
1.01.2005r.),
• Ustawa z dnia 27 lipca 2005r Prawo o szkolnictwie wyŜszym (Dz. U. z 2005r., Nr 164, poz. 1365),
UNIWERSYTET PRZYRODNICZY W POZNANIU

Podobne dokumenty