wytyczne choroba Wilsona

Transkrypt

wytyczne choroba Wilsona
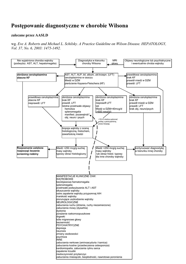
Postępowanie diagnostyczne w chorobie Wilsona
zalecane przez AASLD
wg. Eve A. Roberts and Michael L. Schilsky. A Practice Guideline on Wilson Disease. HEPATOLOGY,
Vol. 37, No. 6, 2003: 1475-1492.
Nie wyjaśniona choroba wątroby
(podwyŜsz. AST, ALT, hepatomegalia)
obniŜona ceruloplazmina
obecne KF
Diagnostyka w kierunku
choroby Wilsona
MRI
głowy
AST, ALT, ALP, bil, album, ukł.krzepn. (LFT)
ceruloplazmina w osoczu
Miedź w DZM
pierścienie Kaysera-Fleischera (KF)
prawidłowa ceruloplazmina
obecne KF
nieprawidł. LFT
obniŜona ceruloplazmina
brak KF
prawidł. LFT
Istotne przetrwałe objawy:
hemoliza
splenomegalia
manifest. pozawątrob*
obj. neuro i psych
obniŜona ceruloplazmina
brak KF
nieprawifł LFT
lub
Miedź w DZM>40mcg/d
(>600 nmol/d)
Objawy neurologiczne lub psychiatryczne
i ewentualnie chroba wątroby
prawidłowa ceruloplazmina
brak KF
prawidł miedź w DZM
prawidł. LFT
obniŜona ceruloplazmina
brak KF
prawidł miedź w DZM
prawidł. LFT
brak obj. neuro/psych
<18 rŜ moŜna wykonać
próbę z penicylaminą
przez biopsją
biopsja wątroby z oceną
histologiczną, histochem,
zawartością miedzi
Rozpoznanie ustalone
rozpocząć leczenie
screening rodziny
Miedź >250 mcg/g suchej
masy wątroby
typowy obraz histologiczny
Miedź <250 mcg/g suchej
masy wątroby
lub obraz histol. typowy
dla inne choroby wątroby
MANIFESTACJE KLINICZNE ChW:
WĄTROBOWE
bezobjawowa hematomegalia
splenomegalia
przetrwałe podwyŜszenie ALT i AST
stłuszczenie wątroby
ostre zapalenie wątroby przypomnaj AIH
marskość wątroby
piorunujące uszkodzenie wątroby
NEUROLOGICZNE
zaburzenia ruchu (drŜenia, ruchy niezamierzone)
zaburzenia mowy (dysartria)
dystonia
poraŜenie rzekomoopuszkowe
drgawki
bóle migrenowe głowy
bezsenność
PSYCHIATRYCZNE
depresja
neurosis
zmiany osobowości
psychoza
INNE
zaburzenia nerkowe (aminoacyduria i kamica)
zaburzenia kostne (przedwczesna osteoporoza)
kardiomiopatia, zaburzenia rytmu serca
zapalenie trzustki
niedoczynność przytarczyc
zaburzenia miesiączki, bezpłodność, nawrotowe poronienia
kontynuować diagnostykę
w kierunku innej choroby