A – III Niedz. Wlk. Postu J 4,5-42 Rys chrystologiczny: odpowiedź na

Transkrypt

A – III Niedz. Wlk. Postu J 4,5-42 Rys chrystologiczny: odpowiedź na
A – III Niedz. Wlk. Postu J 4,5-42
Rys chrystologiczny: odpowiedĨ na pytanie: Kim jest Jezus Chrystus?
BoĪe misterium w osobie Jezusa.
KONTEKST:
dalszy: Ewangelia Ğw. Jana: 2 czĊĞci:
1.
1,19-12,50 – KsiĊga znaków – „swoi Go nie przyjĊli…”
2.
13,1-20,31 – KsiĊga chwaáy: „…daá im moc, aby siĊ stali dzieümi BoĪymi”
W cz. 1 rozdz. 2-4 stanowią pewną caáoĞü:
- na początku (2,1-22) dwa znaki (Kana Galilejska i oczyszczenie Ğwiątyni) = objawienie
godnoĞci mesjaĔskiej,
- póĨniej 3 spotkania/dialogi = trzy typy przylgniĊcia do Jezusa, Mesjasza i Zbawiciela –
odsáoniĊcie tajemnicy Jezusa:
1.
ĩyd – Nikodem – reprezentuje judaizm oficjalny (3,1-21)
2.
Samarytanka – judaizm schizmatycki, odszczepieĔczy (4,1-42)
3.
UrzĊdnik królewski – poganin, Ğwiat nieĪydowski (4,46-54)
Samarytanie – 722 r przed JX, Asyryjczycy
najeĪdĪają pán. Król. Izraela ze stolicą w
Samarii i podbijają je – pojawiają siĊ osadnicy
(2 Krl 17,24) ĺ wymieszanie ras przez
maáĪeĔstwa ĺ synkretyzm religijny (áączono
kult Boga z kultem bóstw 2 Krl 17,23-41). Po
niewoli babiloĔskiej (586-538) ĩydzi z pád.
(Judea):
1.
nie dopuĞcili mieszkaĔców Samarii do
odbudowy Ğwiątyni poniewaĪ byli nieczyĞci…
ĺ dochodzi do schizmy. Samarytanie budują
wáasną ĞwiątyniĊ (IV w przed JX) na Górze
Garizim przyjmując jako podstawĊ TorĊ.
2.
w 128 r wojska Īydowskie burzą ĞwiątyniĊ
samarytaĔską a w 6 i 9 r. po nar. JX
Samarytanie rozrzucają koĞci na terenie
Ğwiątyni w Jerozolimie.
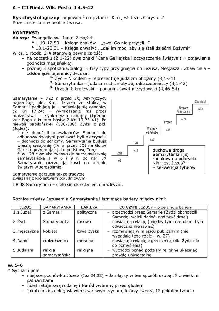
duchowa droga
Samarytanki i jej
rodaków do odkrycia
Kim jest Jezus?
ĺ sekwencja tytuáów
Samarytanie odrzucili takĪe tradycjĊ
związaną z królestwem poáudniowym.
J 8,48 Samarytanin – staáo siĊ okreĞleniem obraĨliwym.
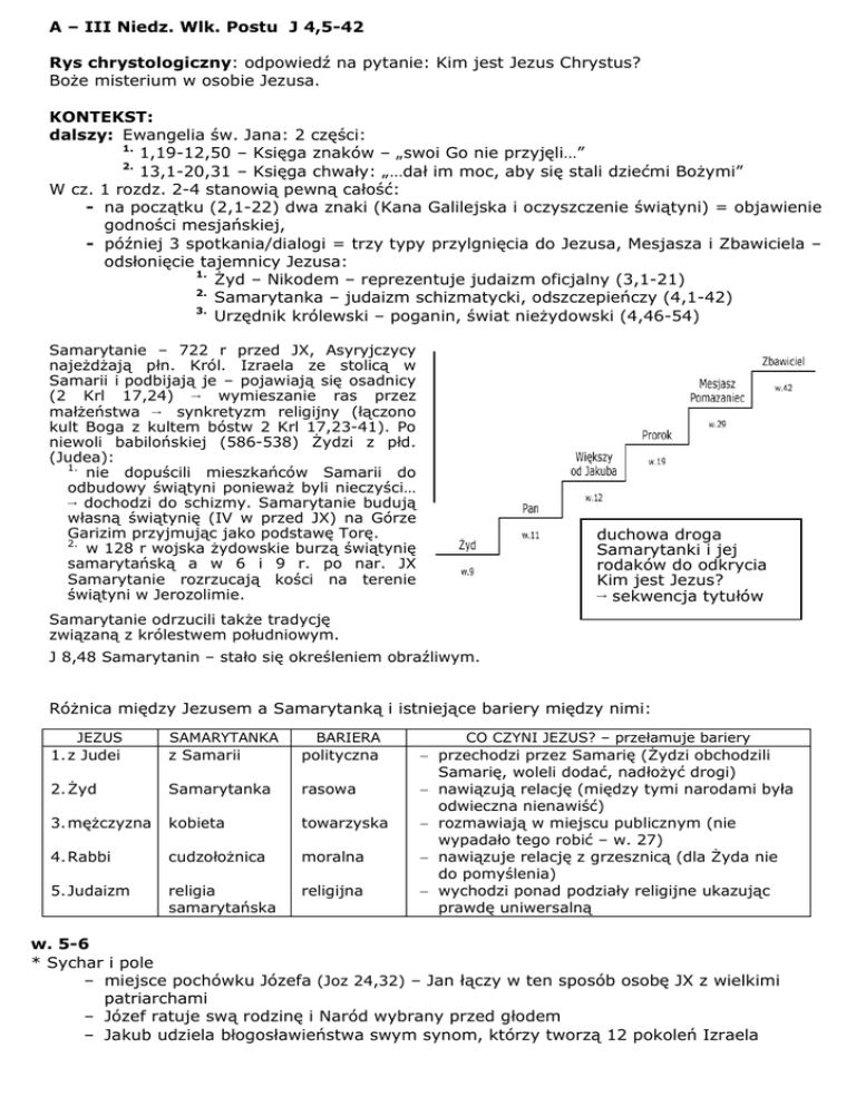
RóĪnica miĊdzy Jezusem a Samarytanką i istniejące bariery miĊdzy nimi:
JEZUS
SAMARYTANKA
BARIERA
1. z Judei
z Samarii
polityczna
2. ĩyd
Samarytanka
rasowa
3. mĊĪczyzna
kobieta
towarzyska
4. Rabbi
cudzoáoĪnica
moralna
5. Judaizm
religia
samarytaĔska
religijna
CO CZYNI JEZUS? – przeáamuje bariery
przechodzi przez SamariĊ (ĩydzi obchodzili
SamariĊ, woleli dodaü, nadáoĪyü drogi)
nawiązują relacjĊ (miĊdzy tymi narodami byáa
odwieczna nienawiĞü)
rozmawiają w miejscu publicznym (nie
wypadaáo tego robiü – w. 27)
nawiązuje relacjĊ z grzesznicą (dla ĩyda nie
do pomyĞlenia)
wychodzi ponad podziaáy religijne ukazując
prawdĊ uniwersalną
w. 5-6
* Sychar i pole
– miejsce pochówku Józefa (Joz 24,32) – Jan áączy w ten sposób osobĊ JX z wielkimi
patriarchami
– Józef ratuje swą rodzinĊ i Naród wybrany przed gáodem
– Jakub udziela báogosáawieĔstwa swym synom, którzy tworzą 12 pokoleĔ Izraela
* Ĩródáo Δ΋·φȱ - m- gdzie wystĊpuje woda, niekoniecznie wypáyw naturalny ĺ studnia (ΚΕν΅Ε)ȱ
Ĩródáo dające Īywą Ĩródlaną wodĊ to symbol:
1.
2.
pierwszej miáoĞci i zaĞlubin (sáuga Izaaka i Rebeka; Rdz 24,11nn; Jakub i Rachela
Rdz 29,1nn; MojĪesz i Sefora Wj 2,15nn)
Tory, Prawa BoĪego, tu czerpie siĊ mądroĞü konieczną do Īycia Prz 13,14; Syr 24,30-34
WODA ĩYWA – rozumienie w czasie dialogu JX z Samarytanką
- pierwszy etap – jako oĪywiająca nauka
- drugi etap w. 14 ĺ jako Īycie dane przez Boga J 7,38-39 ĺ to DUCH ĝWIĉTY
WODA ĩYCIA = DAR BOĩY ĺ Jezus odnosi to okreĞlenie do siebie wskazując, Īe sam
jest Darem BoĪym (w. 10)
* okoáo godziny szóstej – tj. w samo poáudnie ĺ aluzja do J 19,14 o tej porze JX sáyszy wyrok
Ğmierci z ust Piáata (ĩydzi liczą czas od wschodu sáoĔca ĺ godz. 6 - u nas 12.00; 9 ĺ 15.00)
ĺ w samo poáudnie tzn.:
1.
najwiĊksza spiekota ĺ po wodĊ chodziáo siĊ póĨnym popoáudniem/wieczorem
2.
w mieĞcie teĪ przecieĪ byáa woda… a studnia Jakuba byáa ok. 1 km od miasta ĺ
Samarytanka byáa wyrzutkiem (unikaáa ludzi) ĺ powód? niemoralne Īycie.
zaczyna siĊ „wykáad” bardzo dynamiczny ĺ cel: odsáoniü BoĪe misterium w osobie JX
widaü teĪ tutaj perspektywĊ „sakramentalną” w Īyciu KoĞcioáa
ww. 7-10
kobieta z Samarii – nie ma imienia, reprezentuje lud, który porzuciá przymierze (Oz 1,2n)
* daj mi piü ĺ JX przeáamuje barierĊ towarzyską (obyczajową) - lepiej byáo nie rozmawiaü
publicznie nawet z Īoną
- ona reaguje ĺ wielkie zdziwienie i niezrozumienie… ĺ odp. ironiczna (jakĪesz Ty, ĩyd…)
* spotkanie 2 pragnieĔ:
1.
2.
pragnienie Boga
pragnienie czáowieka
GáĊbia przyzywa gáĊbiĊ
hukiem wodospadów Ps 42,8
JX zwraca uwagĊ kobiety na jej pragnienia
i na jej potrzeby – On sam zaspokoi najgáĊbsze ludzkie pragnienia (ĺ dar BoĪy)
[ĩYD (w. 9)] – czáowiek, w którym w trakcie rozmowy odkrywaáa „kogoĞ wiĊcej…”
ww. 11-12
[PAN (w. 11)] – ktoĞ wiĊcej niĪ ĩyd, ale juĪ grzecznoĞciowo
Ona
ĺ nie rozumie gáĊbi. Pozostaje na poziomie czerpaka
ĺ zestawia dar, o którym mówiá JX z darem Jakuba (studnią – wiĊc i tradycją
Proroków i Patriarchów)
ĺ czy Twój Dar jest wiĊkszy?! [WIĉKSZY OD JAKUBA (w. 12)]
ww. 13-15
Jezus uzmysáawia caáą mizernoĞü daru pozostawionego przez Jakuba (ta woda gasiáa jedynie
pragnienie ciaáa – woda cháodna i orzeĨwiająca) – zaspokojenie ograniczone, tymczasowe.
Woda Jezusa (którą Ja mu dam…) tzn.
1.
dotychczasowe objawienie – Prawo i Prorocy – nie wystarczą by mieü
prawdziwe, obfite Īycie
2.
potrzeba „daru” – tym darem jest Duch ĝwiĊty to On zaspokoi najgáĊbsze
pragnienie czáowieka (7,37-39)
ona ĺ daj mi tej wody ĺ wykazuje gotowoĞü otwarcia siĊ na ten dar i zostawienie starego
Prawa oraz tradycji swych ojców ĺ pragnienie wody Īywej
ww. 16-18
„piĊciu mĊĪów” ĺ JX objawia jej grzech ĺ jej osobisty i caáego ludu
to 5 bóstw, z którymi cudzoáoĪyli Samarytanie (2 Krl 17,29-33) a przecieĪ prawdziwym
maáĪonkiem Samarii byá sam Bóg – zostaá zdradzony…
JX ukazuje Samarytance nĊdzĊ jej Īycia bez Boga (na próĪno szuka szczĊĞcia u idoli grzech) ĺ tu siĊ nie ma szczĊĞcia i zaspokojenia pragnieĔ
ww. 19-20
[PROROK (w.19)] – to kolejne odkrycie Samarytanki
prorok
– czá., przez którego Bóg objawia swoją wolĊ ĺ „on wie” o co chodzi Bogu ĺ ona
stawia problem miejsca wáaĞciwego kultu Boga: ta Góra [Garizim] czy Jerozolima?
ww. 21-24
JX: Īadna góra/Īadne miejsce ĺ idzie o kult w: „Duchu i prawdzie”
w jĊzyku biblijnym „w duchu i prawdzie” oznacza rzeczywistoĞü pochodzącą od Boga,
nadprzyrodzoną, trwaáą
ĺ nie chodzi o religiĊ czysto wewnĊtrzną i indywidualną (tzn. bez rytów, form, otoczenia
materii) lecz o religiĊ oparta na rzeczywistoĞci nadprzyrodzonej ĺ idzie o moc BoĪą i
Īycie duchowe
ĺ idzie nie o zastąpienie dawnych sanktuariów nowymi lecz o kult opierający siĊ na
Objawieniu
przekazanie ludziom przez Boga prawdy potrzebnej im do zbawienia
ĺ jak czciü Boga?
ĺ Bóg objawia to przez Syna ĺ relacja dzieciĊca (w. 21.23)
ĺ czciü jako Ojca ĺ Jezus staje siĊ Drogą do spotkania z Ojcem
!!! J 2,13-22 ĺ zmartwychwstaáy Pan zastĊpuje ĞwiątyniĊ w Jerozolimie
ten kult ma charakter uniwersalny
ww. 25-26
[MESJASZ (w. 25)] – wielki objawiciel i odnowiciel zerwanej relacji z Bogiem ĺ Taheb
samarytaĔski Taheb - Pwt 18,15nn (aramejski rdzeĔ tobh (ʺʥʡ), hebr. szobh (ʹʥʡ) – powróciü)
ĺ to „ten, który powróci” v. „przywróci wáaĞciwy kult”
Jezus: ĺ objawia swą godnoĞü mesjaĔską: ego eimi, π·ЏȱΉϢΐ΍ - ja jestem Wj 3,14
ĺ objawia siĊ jako Bóg wierny przymierzu - odsáania siebie jako odpowiedĨ na jej
pragnienia i potrzeby
ww. 27-30
JX áamie konwenanse i nie zwaĪając na zwyczaje pokazuje postawĊ otwarcia wobec kaĪdego
* Samarytanka zostawia pusty dzban – symbol zerwania z przeszáoĞcią
ĺ Jezus staje siĊ dla niej Ĩródáem wody Īycia zaspakajającej wszelkie jej pragnienia
ww. 39-42
moc Ğwiadectwa kobiety ΐ΅ΕΘΙΕνΝ – dawaü Ğwiadectwo, potwierdzaü
wyrasta ze spotkania z Jezusem
ĺ Ğwiadectwo osobistego spotkania doprowadza innych do osobistego spotkania
ĺ Ğwiadectwo jest znakiem poruszającym serca Samarytan i skáania ich do wyruszenia
ku Jezusowi
w judaizmie nie przypisywano zbyt wielkiej wagi do Ğwiadectwa kobiety a Ğwiadectwo
nierządnicy byáo zupeánie pozbawione wartoĞci (prawdopodobnie tak teĪ byáo u Samarytan)
[ZBAWICIEL (w. 42)] ̕ΝΘχΕ (tylko tu i w 1 J 4,14) – okreĞlenie to nie pochodzi z tradycji
samarytaĔskiej, moĪe chodzi o podkreĞlenie, Īe Samarytanie wyszli poza wáasną tradycjĊ.
w LXX soter odpowiada hebr. mosia – uĪywane na oznaczenie Boga (Iz 45,21; Mdr 16,7; Syr
51,1; Mdr 4,30)
OPRACOWAŁ
ks. Piotr Domaros