Załącznik Nr 1 do Zapytania ofertowego nr 2/TSII/POKL/2013z dnia

Transkrypt

Załącznik Nr 1 do Zapytania ofertowego nr 2/TSII/POKL/2013z dnia
Załącznik Nr 1 do Zapytania ofertowego nr 2/TSII/POKL/2013z dnia 09.07.2013
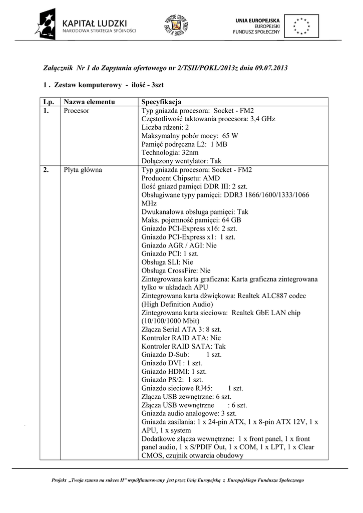
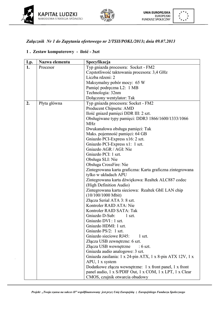
1 . Zestaw komputerowy - ilość - 3szt
Lp.
1.
Nazwa elementu
Procesor
2.
Płyta główna
Specyfikacja
Typ gniazda procesora: Socket - FM2
Częstotliwość taktowania procesora: 3,4 GHz
Liczba rdzeni: 2
Maksymalny pobór mocy: 65 W
Pamięć podręczna L2: 1 MB
Technologia: 32nm
Dołączony wentylator: Tak
Typ gniazda procesora: Socket - FM2
Producent Chipsetu: AMD
Ilość gniazd pamięci DDR III: 2 szt.
Obsługiwane typy pamięci: DDR3 1866/1600/1333/1066
MHz
Dwukanałowa obsługa pamięci: Tak
Maks. pojemność pamięci: 64 GB
Gniazdo PCI-Express x16: 2 szt.
Gniazdo PCI-Express x1: 1 szt.
Gniazdo AGR / AGI: Nie
Gniazdo PCI: 1 szt.
Obsługa SLI: Nie
Obsługa CrossFire: Nie
Zintegrowana karta graficzna: Karta graficzna zintegrowana
tylko w układach APU
Zintegrowana karta dźwiękowa: Realtek ALC887 codec
(High Definition Audio)
Zintegrowana karta sieciowa: Realtek GbE LAN chip
(10/100/1000 Mbit)
Złącza Serial ATA 3: 8 szt.
Kontroler RAID ATA: Nie
Kontroler RAID SATA: Tak
Gniazdo D-Sub:
1 szt.
Gniazdo DVI : 1 szt.
Gniazdo HDMI: 1 szt.
Gniazdo PS/2: 1 szt.
Gniazdo sieciowe RJ45:
1 szt.
Złącza USB zewnętrzne: 6 szt.
Złącza USB wewnętrzne
: 6 szt.
Gniazda audio analogowe: 3 szt.
Gniazda zasilania: 1 x 24-pin ATX, 1 x 8-pin ATX 12V, 1 x
APU, 1 x system
Dodatkowe złącza wewnętrzne: 1 x front panel, 1 x front
panel audio, 1 x S/PDIF Out, 1 x COM, 1 x LPT, 1 x Clear
CMOS, czujnik otwarcia obudowy
Projekt „Twoja szansa na sukces II” współfinansowany jest przez Unię Europejską z Europejskiego Funduszu Społecznego
3.
Pamięć operacyjna
Rodzaj pamięci: DDR III
Pojemność pamięci: 4096 MB
Częstotliwość szyny pamięci: 1333 MHz
Liczba pamięci w zestawie: 1
Pojemność dysku:
500 GB;
Prędkość obrotowa: 7200 obr/min;
Cache: 64 MB;
Interfejs:
SATA III (6 Gb/s);
Typ złącza: 7-pin S-ATA;
Informacje dodatkowe:
NCQ;
4.
Dysk twardy
5.
Napęd optyczny
Funkcja napędu optycznego: odczyt + zapis
Technologia optyczna (zapis): CD/DVD
Technologia optyczna (odczyt): CD/DVD
6.
Obudowa komputerowa
Typ obudowy: Midi Tower
Rodzaj obudowy (typ płyty głównej): ATX
7.
Zasilacz
Moc zasilacza (zasilaczy): 400 Wat
Format: ATX
8.
9.
10.
Klawiatura
Mysz komputerowa
Monitor
Esperanza EK101
Titanum Hornet TM103K
Format ekranu:
panoramiczny
Przekątna ekranu:
18.5"
Typ matrycy: TFT-TN
Ekran dotykowy:
Nie
Technologia podświetlania: Diody LED
Plamka matrycy:
0.3 mm
Rozdzielczo: 1366 x 768
Czas reakcji: 5 ms
Jasno:
200 cd/m2
Kontrast:
20.000.000:1
Częstotliwość pozioma:
30 ~ 60 KHz
Częstotliwość pionowa:
55 ~ 75 Hz
Kąt widzenia poziomy :
90 stopni
Kąt widzenia pionowy : 65 stopni
Ilość kolorów:
16,7 mln
Gniazda wejściowe: 15-pin D-Sub
Wbudowane głośniki:
nie
Wbudowany tuner TV:
brak
Kolor: Czarny
Projekt „Twoja szansa na sukces II” współfinansowany jest przez Unię Europejską z Europejskiego Funduszu Społecznego