BIOLOGIA OSADU CZYNNEGO – biotechnologia środowiska II0

Transkrypt

BIOLOGIA OSADU CZYNNEGO – biotechnologia środowiska II0
Ćwiczenie 4 i 5
BIOLOGIA OSADU CZYNNEGO – biotechnologia środowiska II0
Ocena procesu nitryfikacji i denitryfikacji w biologicznym oczyszczaniu ścieków
Usuwanie azotu w procesach biologicznych
Biologiczne usuwanie azotu ze ścieków polega na stworzeniu takich warunków realizacji procesu, aby zintensyfikowad te same przemiany
azotu, które zachodzą w warunkach naturalnych. Podczas oczyszczania ścieków występujące w ściekach związki azotu przechodzą szereg
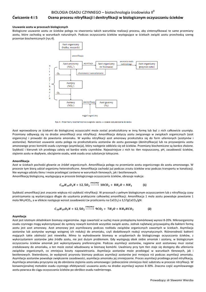
przemian biochemicznych (rys.4).
Azot wprowadzony ze ściekami do biologicznej oczyszczalni może zostad przekształcony w inną formę lub byd z nich całkowicie usunięty.
Przemiany odbywają się na drodze amonifikacji oraz nitryfikacji. Amonifikacja dotyczy azotu związanego w związkach organicznych (azot
organiczny) i prowadzi do powstania amoniaku. W wyniku nitryfikacji azot amonowy przekształca się do form utlenionych (azotynów i
azotanów). Natomiast usuwanie azotu polega na przekształcaniu azotanów do azotu gazowego (denitryfikacja) lub na przyswojeniu azotu
amonowego przez komórki osadu czynnego (asymilacja), który następnie oddziela się od ścieków. Przemiany biochemiczne są bardzo złożone.
Szybkośd i kierunek ich przebiegu zależy od bardzo wielu czynników. Najważniejsze z nich to: tlen rozpuszczony, pH, zasadowośd ścieków,
stężenie azotu w dopływie, obciążenie osadu, wiek osadu oraz substancje toksyczne.
Amonifikacja
Azot w ściekach pochodzi głownie ze źródeł organicznych. Amonifikacja polega na przemianie azotu organicznego do azotu amonowego. W
procesie tym biorą udział organizmy heterotroficzne. Amonifikacja zachodzi już podczas zrzutu ścieków oraz podczas transportu w kanalizacji.
Nie wymaga udziału tlenu i może przebiegad zarówno w warunkach tlenowych, jak i beztlenowych.
Amonifikację biologiczną, występującą w procesie biologicznego oczyszczania ścieków, obrazuje reakcja:
(1)
Szybkośd amonifikacji jest znacznie większa niż szybkośd nitryfikacji. W procesach z pełnym biologicznym oczyszczaniem lub z nitryfikacją czasy
przetrzymania są wystarczająco długie do uzyskania praktycznie całkowitej amonifikacji. Amonifikacja 1 mola azotu powoduje powstanie 1
mola NH4HCO3, a w efekcie następuje wzrost zasadowości (w przeliczeniu na CaCO3) o 3,57gCaCO3/gN:
(2)
Asymilacja
Azot jest istotnym składnikiem biomasy organizmów. Jego zawartośd w suchej masie protoplazmy komórkowej wynosi 8-20%. Mikroorganizmy
osadu czynnego mogą wykorzystywad do syntezy nowych komórek wszystkie związki azotu. Jednak najłatwiej przyswajalną dla bakterii formą
azotu jest azot amonowy. Azot amonowy jest asymilowany podczas rozkładu związków organicznych zawartych w ściekach. Asymilacja
azotanów lub azotynów wymaga wstępnej ich redukcji do amoniaku, czyli dodatkowych reakcji enzymatycznych. Różnorodnośd bakterii
mających takie zdolności jest niewielka. Mimo to wyhodowanie biomasy w urządzeniach do biologicznego oczyszczania ścieków, z
wykorzystaniem azotanów jako źródła azotu, nie jest dużym problemem. Gdy występują obok siebie amoniak i azotany, w biologicznym
oczyszczaniu ścieków amoniak jest wykorzystywany preferencyjnie. Podczas asymilacji azotanów, najpierw azot azotanowy musi zostad
zredukowany do amoniaku, a ten może zostad wbudowany w biomasę komórki. Uwalniany przy tym tlen staje się dostępny dla utleniania
związków organicznych, co zmniejsza koszty napowietrzania. Asymilacja azotanów może przebiegad w warunkach tlenowych, jak i
beztlenowych. Stwierdzono, że wydajnośd przyrostu biomasy podczas asymilacji azotanów jest mniejsza niż podczas asymilacji amoniaku.
Asymilacja azotanów powoduje zwiększenie zasadowości, asymilacja amoniaku jej zmniejszenie. Proces asymilacji przebiega przed nitryfikacją.
Asymilacja amoniaku przyczynia się do obniżenia stężenia azotu amonowego i jednocześnie zmniejsza ilośd substratu w procesie nitryfikacji. W
konwencjonalnej metodzie osadu czynnego efektywnośd usuwania azotu na drodze asymilacji wynosi 8-30%. Znaczna częśd asymilowanego
azotu powraca do ciągu oczyszczania ścieków po obróbce osadu nadmiernego.
Prowadzący: dr Sławomir Wierzba
Ćwiczenie 4 i 5
BIOLOGIA OSADU CZYNNEGO – biotechnologia środowiska II0
Ocena procesu nitryfikacji i denitryfikacji w biologicznym oczyszczaniu ścieków
Nitryfikacja
Nitryfikacja to dwustopniowy proces przemiany azotu amonowego w azotany. W pierwszym etapie bakterie Nitrosomonas przekształcają azot
amonowy w azotyny według reakcji:
(3)
W drugim etapie bakterie Nitrobacter utleniają azotyny do azotanów zgodnie z reakcją:
(4)
Sumaryczny przebieg procesu nitryfikacji jest następujący:
(5)
+
Energia wytwarzana podczas utleniania NH4 jest zużywana przez nitryfikanty przede wszystkim do wytwarzania nowej biomasy (substancji
komórkowej). Stosując przybliżony wzór dla organicznego składnika bakterii C5H7O2N, można proces budowy biomasy przedstawid
następująco:
(6)
+
Proces nitryfikacji charakteryzuje się dużym zużyciem tlenu – 4,6gO2/g
oraz wysoką wydajnością wytwarzanych kwasów - 2mole H /1mol
.
3
3
Stężenie tlenu rozpuszczonego w komorze napowietrzania powinno wynosid nie mniej niż 2mgO2/dm . Przy spadku poniżej 1mgO2/dm
3
nitryfikacja przebiega znacznie wolniej, natomiast zwiększenie stężenia tlenu powyżej 2mgO2/dm nie daje zwiększenia wydajności procesu.
Nadmiar tlenu wiąże się ze wzrostem kosztów eksploatacyjnych, jak również może powodowad przenoszenie tlenu do strefy atoksycznej wraz z
recyrkulowanymi ściekami. Jednocześnie stwierdzono, że kilkugodzinne warunki beztlenowe nie wywołują istotnego zmniejszenia aktywności
nitryfikantow. Dotyczy to także cyklicznego przebywania nitryfikantow na przemian w warunkach tlenowych i beztlenowych.
0
Nitryfikacja przebiega optymalnie w temperaturze powyżej 20 C. W miarę spadku temperatury intensywnośd procesu zmniejsza się, a poniżej
0
5 C nitryfikacja praktycznie ustaje głownie z powodu zahamowania wzrostu Nitrosomonas. Zależnośd wzrostu bakterii od temperatury
pokazana jest w tabeli 2.
0
Z tabeli wynika, że poniżej 30 C prędkośd wzrostu Nitrosomonas jest mniejsza niż w przypadku Nitrobacter i dlatego pierwszy etap nitryfikacji
uznano za decydujący o szybkości nitryfikacji. Drugi etap procesu zachodzi znacznie szybciej niż pierwszy, co powoduje, że azotyny na ogół nie
występują w ściekach oczyszczonych.
Ze względu na powolny przyrost i rozwój bakterii nitryfikacyjnych (okres generacji jednego pokolenia trwa 10-12 godzin), ważne jest
utrzymanie długiego aerobowego wieku osadu (5-20 dni), co wiąże się z niskim obciążeniem osadu, ograniczającym szybki rozwój bakterii
usuwających związki węgla. Odpowiednio długi wiek osadu zapobiega nadmiernemu odpływowi nitryfikantów.
Obecnośd w ściekach związków węgla sprzyja rozwojowi heterotrofów, które skutecznie konkurują z nitryfikantami o wspólne substraty (azot
amonowy, tlen), przyczyniając się do zmniejszenia szybkości nitryfikacji. Stosunek BZT5/Nog powinien wynosid poniżej 2. Maksymalne
obciążenie osadu, przy którym rozpoczyna się nitryfikacja wynosi A 1,2kg BZT5/kgs.m.o.cz. (zimą A = 0,05-0,06kg BZT5/kgs.m.o.cz., natomiast latem
A < 0,15kg BZT5 /kgs.m.o.cz.). Nitryfikacja rozpoczyna się gdy wiek osadu czynnego wynosi 2-4 dni. Przy wysokim wieku osadu, a tym samym
0
większej ilości nitryfikantow, nawet podwyższony ładunek azotu zostanie znitryfikowany w wystarczającym stopniu. W temperaturze 20 C
0
skuteczny może byd 3-dobowy wiek osadu, natomiast w temperaturze 7 C powinien on wynosid około 15 dni. Jednak zbyt niskie obciążenie
osadu lub zbyt długi wiek osadu sprzyja rozwojowi bakterii nitkowatych, które utrudniają proces klarowania w osadniku wtórnym.
Aktywnośd nitryfikantów zależna jest także od pH. Optymalny zakres pH wynosi 7,5-8,5, jednak mikroorganizmy osadu czynnego mają dużą
zdolnośd adaptacji do niskich pH. Przy zbyt niskim pH pogorszeniu ulegają właściwości flokulacyjne osadu. Proces nitryfikacji związany jest z
wytwarzaniem kwasów, dlatego ważnym parametrem jest duża zasadowośd ścieków. Jest ona odpowiedzialna za utrzymanie pH ścieków na
stałym poziomie. W pierwszym etapie nitryfikacji do utlenienia azotu amonowego potrzebne są duże ilości zasadowości, tzn. 7,14g CaCO3/g
. W wyniku wyczerpania się zasadowości zaczyna spadad pH ścieków i nitryfikacja może ulec zahamowaniu. W takim przypadku należy
zasadowośd skorygowad. Można do tego zastosowad wapno, jednak powoduje ono wytrącanie węglanu wapnia, co może ograniczad
nitryfikację przez brak dostępnego źródła węgla nieorganicznego dla nitryfikantów. W takim przypadku można stosowad wodorotlenek sodu.
Bakterie nitryfikacyjne są wrażliwe na dopływające wraz ze ściekami substancje toksyczne. W stosunku do bakterii Nitrosomonas inhibitorami
są tiomocznik, fenole, sole chromu, związki rtęci, cyjanki, alkaloidy i antybiotyki. Działanie bakterii Nitrobacter hamuje jon chloranowy i
większośd pochodnych tiomocznika. Także zastosowanie żelaza dwuwartościowego jako czynnika strącającego w procesie usuwania fosforu
powoduje negatywny wpływ na proces nitryfikacji (zahamowanie procesu). Stwierdzono również, że zawracanie do obiegu ścieków
przefermentowanych może doprowadzid do inhibicji procesu nitryfikacji.
Prowadzący: dr Sławomir Wierzba
Ćwiczenie 4 i 5
BIOLOGIA OSADU CZYNNEGO – biotechnologia środowiska II0
Ocena procesu nitryfikacji i denitryfikacji w biologicznym oczyszczaniu ścieków
Denitryfikacja
Proces denitryfikacji polega na biochemicznej redukcji utlenionych związków azotu (azotanów, azotynów) do azotu gazowego z jednoczesnym
utlenianiem związków organicznych, które są źródłem węgla i energii dla bakterii heterotroficznych (głownie z rodzaju Pseudomonas),
prowadzących proces. Proces denitryfikacji przebiega w kilku etapach:
(7)
Uzyskane na drodze nitryfikacji azotany w wyniku denitryfikacji zostają przekształcane w formę gazową azotu N2 i wydalane są ze środowiska
wodnego do atmosfery:
(8)
Jak widad z powyższego równania, w procesie denitryfikacji z jednej strony częściowo odzyskuje się zużyty w trakcie nitryfikacji tlen, z drugiej
zaś strony zużywa się połowę powstałego w nitryfikacji kwasu.
Warunkami przebiegu procesu denitryfikacji są:
-
obecnośd utlenionych związków azotu
nieobecnośd rozpuszczonego tlenu
obecnośd bakterii fakultatywnych
obecnośd substratu asymilowalnego jako źródła energii.
0
warunki atoksyczne
(niedotlenione)
0
Optymalna temperatura procesu denitryfikacji wynosi 20 C. Przy obniżeniu jej do 5 C denitryfikacja przebiega bardzo wolno. Również dla pH,
podobnie jak dla temperatury, istnieje pewne optimum wynoszące 6,5-7,5. Denitryfikacja powoduje zwiększenie zasadowości o 3,0g CaCO3/g
. Jednocześnie następuje zmniejszenie stężenia dwutlenku węgla i wzrost pH.
Bakterie fakultatywne, zdolne do denitryfikacji, w warunkach tlenowych wykorzystują tlen jako ostateczny akceptor elektronów, a gdy jego
brak, „przestawiają się” na azotany lub azotyny.
Okresowe przebywanie kolejno w warunkach tlenowych i beztlenowych nie wpływa ujemnie ani na zdolności denitryfikacyjne biomasy, ani na
szybkośd utleniania związków organicznych w warunkach tlenowych.
Wykorzystywanie tlenu, przez bakterie denitryfikacyjne, jako ostatecznego akceptora elektronów jest energetycznie wydajniejsze niż
wykorzystywanie azotanów. Większa ilośd uwalnianej energii sprzyja korzystaniu z tlenu. Z tych powodów denitryfikacja musi byd prowadzona
w warunkach anoksycznych. Zawartośd tlenu rozpuszczonego w komorze denitryfikacji powinna byd jak najmniejsza i nie może przekraczad
3
0,5mgO2/dm .
Na efektywnośd denitryfikacji duży wpływ ma odpowiednie stężenie azotu amonowego. W warunkach odpowiednio niskiego stężenia tlenu i
braku amoniaku mogą przebiegad jednocześnie redukcja asymilacyjna azotanów i ich denitryfikacja. Jeżeli ścieki zawierają odpowiednią ilośd
amoniaku, zaspakajającą zapotrzebowanie na azot do syntezy biomasy, wówczas redukcja asymilacyjna nie zachodzi (azotany ulegają tylko
denitryfikacji).
Na przebieg denitryfikacji bardzo ważny wpływ ma obecnośd związków węgla. Są one niezbędne ze względu na to, że są donorami elektronów i
źródłem energii. Obecnośd prostych związków węgla podnosi efektywnośd procesu denitryfikacji. Stosowane w denitryfikacji źródła związków
organicznych można podzielid na tzw. wewnętrzne i zewnętrzne.
Źródła wewnętrzne to związki organiczne ze ścieków surowych lub węgiel wewnątrzkomórkowy biomasy przyrastającej w komorze
napowietrzania. Przemiany zachodzące podczas wykorzystywania wewnątrzkomórkowego źródła węgla obrazuje równanie:
(9)
Źródła zewnętrzne są celowo dodawane. Mogą to byd między innymi: metanol, kwasy organiczne, melasa, ścieki browarnicze, ścieki
cukrownicze, skrobia, aceton, alanina, osad piekarniczy, kazeina, sok wiśniowy, cytryniany, etanol, mączka rybna, żelatyna, glukoza, mleczany,
margaryna, metan, pepton, sacharoza, glikol. Wszystkie wymienione źródła różnią się dostępnością, ceną, szybkością denitryfikacji, jaką można
uzyskad, oraz wydajnością przyrostu biomasy. O wyborze najwłaściwszego źródła decyduje aspekt ekonomiczny.
Aby zapewnid odpowiednią ilośd związków węgla można skrócid czas przebywania ścieków w osadniku wstępnym. W osadniku wstępnym
osadza się relatywnie mniej utlenialnych związków azotu (Norg) niż związków węgla (ChZT, BZT5).
Cel dwiczenia
Badanie zmian zawartości azotu amonowego, azotynowego i azotanowego w ściekach świeżych z dodatkiem osadu czynnego w
czasie 1 tygodniowego okresu inkubacji próbek w warunkach tlenowych.
Wykonanie dwiczenia cz.1
1.
Odczynniki stosowane w analizie:
- osad czynny
3
- roztwór wzorcowy jonu amonowego (NH4Cl) o stężeniu 5g/dm
- amoniak test kuwetowy – metoda fotometryczna, zakres pomiarowy 0,01-3,00 mg/l NH4-N
o wodorotlenek sodowy
o dichloroizocyjanuran sodu - dwuwodny
- azotyny test kuwetowy – metoda fotometryczna, zakres pomiarowy 0,002-1,00 mg/l NO2-N
Prowadzący: dr Sławomir Wierzba
Ćwiczenie 4 i 5
-
BIOLOGIA OSADU CZYNNEGO – biotechnologia środowiska II0
Ocena procesu nitryfikacji i denitryfikacji w biologicznym oczyszczaniu ścieków
o kwas sulfanilowy
o N-(1-naftylo)etylenodiamina, dichlorowodorek
Azotany test kuwetowy – metoda fotometryczna, zakres pomiarowy 0,2-20,0 mg/l NO3-N
o kwas siarkowy
2.
Przygotowanie roztworu roboczego ścieków
3
3
2.1. Przygotowad słoik o pojemności ok. 0,5-1 dm (szkło musi byd dokładnie umyte). Do słoika wprowadzid: 0,4 dm osadu
3
czynnego pobranego cylindrem miarowym, oraz 40 cm roztworu wzorcowego NH4Cl. Opisad układ badawczy i
dokładnie go wymieszad.
2.2. Wykonad oznaczenie pH. Skorygowad jego wartośd do poziomu 7,5-8,5 używając 2N H2SO4 lub 5N NaOH.
2.3. Wykonad oznaczenie zawartości azotu: amonowego, azotynowego i azotanowego w układzie badawczym (p. punkt 3).
2.4. Roztwór ścieków, osadu i hodowli bakterii nitryfikacyjnych odstawid do 1-tygodniowej inkubacji, wprowadzając do
słoika wężyk pompki akwarystycznej, celem napowietrzenia układu.
3.
Oznaczenia zawartości jonu amonowego, azotynów i azotanów.
3.1. Przygotowanie próby do badao
3
Zmontowad zestaw do filtracji próżniowej, użyd sączka celulozowego 0.45µm. Pobrad ok. 20 cm badanego roztworu
pipetą szklaną i przenieśd do lejka pompki próżniowej. Całośd przefiltrowad. Po zakooczeniu filtracji zlad klarowny
3
przesącz z kolby filtracyjnej do kolbki stożkowej o pojemności 50 cm i zachowad go do dalszych badao !. Następnie
umyd dokładnie cały zestaw do filtracji !
3.2. Oznaczenie zawartości jonu amonowego
Podane niżej ilości należy odmierzad bardzo dokładnie i uważnie wprowadzad do probówki. Należy również
bezwzględnie przestrzegad czasu reakcji i wykonania pomiaru fotometrycznego !!!
Fotometr jest gotowy do pracy po 15 minutach od momentu włączenia.
3.2.1. Przefiltrowany roztwór badany (otrzymany wcześniej p. punkt 3.1.) należy rozcieoczyd w wodzie destylowanej
do zakresu pomiarowego testu – 1: 10 lub 1: 100. Rozcieoczenie wykonad w probówce lub kolbie miarowej o
3
pojemności 100 cm . Całośd dokładnie wymieszad (vortex).
3.2.2. Do probówki wprowadzid pipetą szklaną 5 ml rozcieoczonej wcześniej próbki.
3.2.3. Dodad 0,6ml odczynnika NH4-1, całośd wymieszad (vortex)
3.2.4. Dodad 1 płaską łyżeczkę (zintegrowaną z nakrętką !!!) odczynnika NH4-2, całośd wymieszad (vortex)
3.2.5. Tak przygotowaną probówkę odstawid na 5 minut !!!
3.2.6. Następnie dodad 4 krople odczynnika NH4-3 i ponownie wymieszad (vortex).
3.2.7. Probówkę odstawid na 5 minut.
3.2.8. Próbkę wymieszad i dokonad pomiaru stężenia jonu amonowego w fotometrze używając kuwet szklanych
(przed pomiarem w fotometrze umieszczamy okrągłą kuwetę wzorca NH 4-N). Zanotowad wyniki 3 pomiarów.
3
Wynik podad w [mg/dm ] stężenia jonu amonowego.
3.3. Oznaczenie zawartości azotynów – oznaczenie dodatkowe, skonsultować z prowadzącym.
3.3.1. Do probówki wprowadzid 5 ml pipetą szklaną przefiltrowanego badanego roztworu (nierozcieoczonego !!!)
3.3.2. Następnie dodad 1 płaską łyżeczkę (zintegrowaną z nakrętką !!!) odczynnika NO2-1, całośd wymieszad (vortex)
3.3.3. Tak przygotowaną probówkę odstawid na 10 minut !!!
3.3.4. Próbkę ponownie wymieszad i dokonad pomiaru stężenia azotynów w fotometrze używając kuwet szklanych
(przed pomiarem w fotometrze umieszczamy okrągłą kuwetę wzorca NO 2-N). Zanotowad wyniki 3 pomiarów.
3
Wynik podad w [mg/dm ] stężenia azotynów.
3.4. Oznaczenie zawartości azotanów
PRZED OZNACZENIEM NALEŻY NAŁOŻYC RĘKAWICE OCHRONNE !!!!
3.4.1. Do probówki wprowadzid 1 płaską łyżeczkę (zintegrowaną z nakrętką !!!) odczynnika NO3-1.
3.4.2. Następnie dodad 5ml pobierając ostrożnie pipetą szklaną odczynnik NO3-2. Całośd wymieszad ostrożnie
(vortex).
UWAGA pipetujemy kwas siarkowy – odczynnik żrący – pipetowad i mieszad ostrożnie !!!
Próbę odstawid na 1 minutę.
3.4.3. Po minucie dodad 1,5 ml przefiltrowanego badanego roztworu (rozcieoczonego 5x lub 10x) pobranego pipetą
szklaną. Roztwór wprowadzad bardzo powoli (reakcja egzotermiczna) i ostrożnie mieszad.
3.4.4. Próbę odstawid na 10 minut – czas reakcji.
3.4.5. Próbkę ponownie wymieszad i dokonad pomiaru stężenia azotanów w fotometrze używając kuwet szklanych
(przed pomiarem w fotometrze umieszczamy okrągłą kuwetę wzorca NO 3-N). Zanotowad wyniki 3 pomiarów.
3
Wynik podad w [mg/dm ] stężenia azotanów.
Prowadzący: dr Sławomir Wierzba
Ćwiczenie 4 i 5
BIOLOGIA OSADU CZYNNEGO – biotechnologia środowiska II0
Ocena procesu nitryfikacji i denitryfikacji w biologicznym oczyszczaniu ścieków
Wykonanie dwiczenia cz.2
4.
Po tygodniu inkubacji wykonujemy ponownie oznaczenia zawartości jonu amonowego, azotynów i azotanów (p. pkt. 3)
UWAGA – może się okazad, że konieczne jest 10x (lub większe) rozcieoczenie przefiltrowanego w zestawie do filtracji
próżniowej badanego roztworu np. przed wykonaniem oznaczenia zawartości azotanów (p. pkt. 3.2.1.). Proszę przed
wykonaniem oznaczeo skonsultowad stopieo rozcieoczenia przefiltrowanej próby z prowadzącym.
5.
Opracowanie wyników
5.1. Wyniki pomiarów po uśrednieniu zestawid w tabeli
Próba
rozcieoczenie
3
stężenie [mg/dm ]
Azot amonowy
Ścieki surowe
Ścieki oczyszczone
Azot azotynowy
Ścieki surowe
Ścieki oczyszczone
Azot azotynowy
Ścieki surowe
Ścieki oczyszczone
5.2. Na podstawie uzyskanych wyników:
5.2.1. Przedstawid w [%] ubytki i przyrosty azotu amonowego, azotynowego i azotanowego porównując wyniki z 1 i 7
dnia badao.
5.2.2. Wyciągnąd wnioski z przebiegu procesów nitryfikacji (I i II fazy).
5.2.3. Obliczyd rzeczywistą wydajnośd w [%] nitryfikacji prowadzonej przez nitryfikatory osadu czynnego, w stosunku
do teoretycznej wydajności procesu obliczonej na podstawie początkowego stężenia jonu amonowego –
wykorzystując równanie reakcji (5).
6.
Literatura
6.1. Fijałkowska E. i wsp., Osad czynny – biologia i analiza mikroskopowa, Oficyna Wydawnicza IMPULS, Kraków 2005.
6.2. Dymaczewski Z., Poradnik eksploatatora oczyszczalni ścieków. Polskie Zrzeszenie inż. I tech. Sanitarnych, Poznao, 1997.
6.3. Hermanowicz W., Fizyczno-chemiczne badanie wody i ścieków, Arkady, Warszawa, 1999.
6.4. Łomotowski J., Szpindor A., Nowoczesne systemy oczyszczania ścieków, Arkady. Warszawa 2002.
Prowadzący: dr Sławomir Wierzba