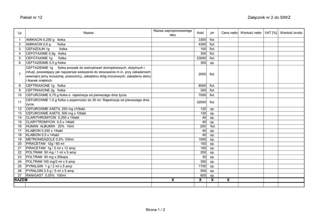
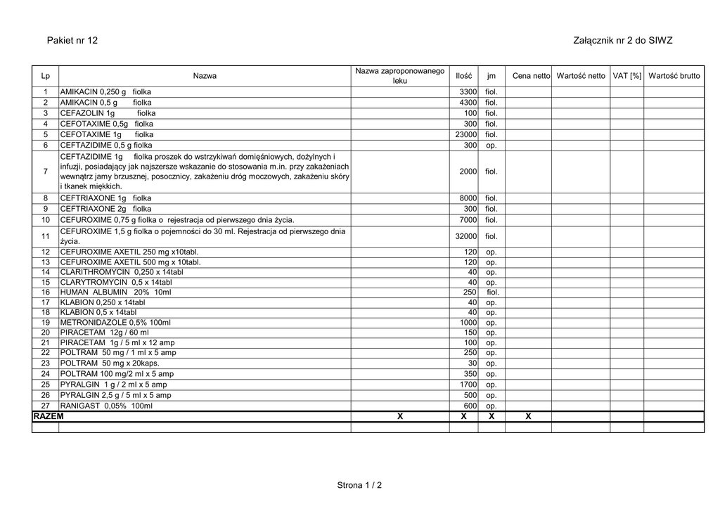
Pakiet nr 12 Załącznik nr 2 do SIWZ

Transkrypt

Pakiet nr 12 Załącznik nr 2 do SIWZ
Pakiet nr 12
Załącznik nr 2 do SIWZ
Nazwa zaproponowanego
leku
Lp
Nazwa
1
2
3
4
5
6
AMIKACIN 0,250 g fiolka
AMIKACIN 0,5 g
fiolka
CEFAZOLIN 1g
fiolka
CEFOTAXIME 0,5g fiolka
CEFOTAXIME 1g
fiolka
CEFTAZIDIME 0,5 g fiolka
CEFTAZIDIME 1g fiolka proszek do wstrzykiwań domięśniowych, dożylnych i
infuzji, posiadający jak najszersze wskazanie do stosowania m.in. przy zakażeniach
wewnątrz jamy brzusznej, posocznicy, zakażeniu dróg moczowych, zakażeniu skóry
i tkanek miękkich.
CEFTRIAXONE 1g fiolka
CEFTRIAXONE 2g fiolka
CEFUROXIME 0,75 g fiolka o rejestracja od pierwszego dnia życia.
CEFUROXIME 1,5 g fiolka o pojemności do 30 ml. Rejestracja od pierwszego dnia
życia.
CEFUROXIME AXETIL 250 mg x10tabl.
CEFUROXIME AXETIL 500 mg x 10tabl.
CLARITHROMYCIN 0,250 x 14tabl
CLARYTROMYCIN 0,5 x 14tabl
HUMAN ALBUMIN 20% 10ml
KLABION 0,250 x 14tabl
KLABION 0,5 x 14tabl
METRONIDAZOLE 0,5% 100ml
PIRACETAM 12g / 60 ml
PIRACETAM 1g / 5 ml x 12 amp
POLTRAM 50 mg / 1 ml x 5 amp
POLTRAM 50 mg x 20kaps.
POLTRAM 100 mg/2 ml x 5 amp
PYRALGIN 1 g / 2 ml x 5 amp
PYRALGIN 2,5 g / 5 ml x 5 amp
RANIGAST 0,05% 100ml
7
8
9
10
11
12
13
14
15
16
17
18
19
20
21
22
23
24
25
26
27
RAZEM
X
Strona 1 / 2
Ilość
jm
3300
4300
100
300
23000
300
fiol.
fiol.
fiol.
fiol.
fiol.
op.
2000
fiol.
8000
300
7000
fiol.
fiol.
fiol.
32000
fiol.
120
120
40
40
250
40
40
1000
150
100
250
30
350
1700
500
600
op.
op.
op.
op.
fiol.
op.
op.
op.
op.
op.
op.
op.
op.
op.
op.
op.
X
X
Cena netto Wartość netto VAT [%] Wartość brutto
X
Pakiet nr 12
Załącznik nr 2 do SIWZ
Zamawiający dopuszcza zaproponowanie preparatów równoważnych, tzw. zamienników. Zamiennik musi jednak posiadać tę sama nazwę międzynarodową, dawkę, postać farmakologiczną lub
być zbliżony do farmaceutycznej postaci leku, która nie powoduje powstania różnic terapeutycznych i o tym samym wskazaniu terapeutycznym.
Strona 2 / 2