Tabela nr 1 - bip - koźmin wielkopolski

Transkrypt

Tabela nr 1 - bip - koźmin wielkopolski
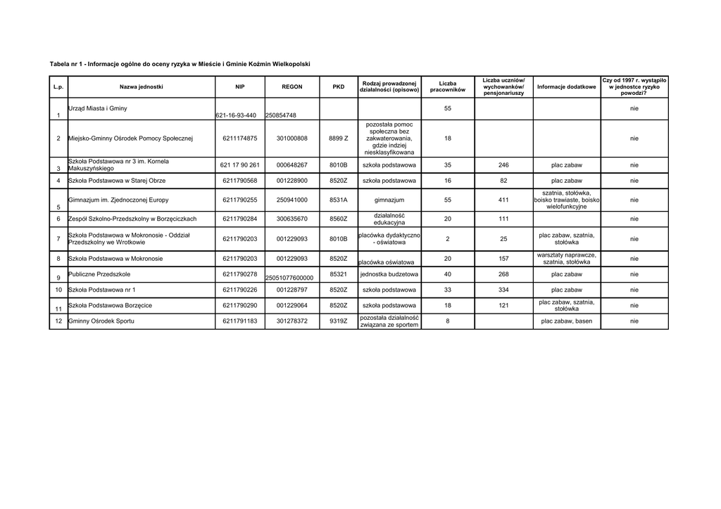
Tabela nr 1 - Informacje ogólne do oceny ryzyka w Mieście i Gminie Koźmin Wielkopolski
L.p.
Nazwa jednostki
NIP
REGON
PKD
Rodzaj prowadzonej
działalności (opisowo)
Urząd Miasta i Gminy
1
621-16-93-440
Liczba
pracowników
Liczba uczniów/
wychowanków/
pensjonariuszy
Informacje dodatkowe
Czy od 1997 r. wystąpiło
w jednostce ryzyko
powodzi?
55
nie
18
nie
250854748
6211174875
301000808
8899 Z
pozostała pomoc
społeczna bez
zakwaterowania,
gdzie indziej
niesklasyfikowana
Szkoła Podstawowa nr 3 im. Kornela
Makuszyńskiego
621 17 90 261
000648267
8010B
szkoła podstawowa
35
246
plac zabaw
nie
Szkoła Podstawowa w Starej Obrze
6211790568
001228900
8520Z
szkoła podstawowa
16
82
plac zabaw
nie
Gimnazjum im. Zjednoczonej Europy
6211790255
250941000
8531A
gimnazjum
55
411
szatnia, stołówka,
boisko trawiaste, boisko
wielofunkcyjne
nie
6
Zespół Szkolno-Przedszkolny w Borzęciczkach
6211790284
300635670
8560Z
działalność
edukacyjna
20
111
7
Szkoła Podstawowa w Mokronosie - Oddział
Przedszkolny we Wrotkowie
6211790203
001229093
8010B
placówka dydaktyczno
- oświatowa
2
25
plac zabaw, szatnia,
stołówka
nie
8
Szkoła Podstawowa w Mokronosie
6211790203
001229093
8520Z
20
157
warsztaty naprawcze,
szatnia, stołówka
nie
Publiczne Przedszkole
6211790278
plac zabaw
nie
Szkoła Podstawowa nr 1
6211790226
2
Miejsko-Gminny Ośrodek Pomocy Społecznej
3
4
5
9
10
11
12
25051077600000
001228797
placówka oświatowa
nie
85321
jednostka budzetowa
40
268
8520Z
szkoła podstawowa
33
334
plac zabaw
nie
121
plac zabaw, szatnia,
stołówka
nie
plac zabaw, basen
nie
Szkoła Podstawowa Borzęcice
6211790290
001229064
8520Z
szkoła podstawowa
18
Gminny Ośrodek Sportu
6211791183
301278372
9319Z
pozostała działalność
związana ze sportem
8
Tabela nr 2 - Wykaz budynków i budowli w Mieście i Gminie Koźmin Wielkopolski
czy budynek jest
użytkowany?
(TAK/NIE)
czy jest to budynkek
zabytkowy,
podlegający
nadzorowi
konserwatora
zabytków?
rok budowy
suma ubezpieczenia
(wartość)
1 Budynek Urzędu
tak
tak
XIX / XXw.
400 000,00 zł
O
2 Budynek mieszkalno-biurowy
tak
nie
XIX / XXw.
400 000,00 zł
O
ul. Krotoszyńska 16, Koźmin Wlkp
3 Budynek gospodarczy
tak
nie
XX w.
120 000,00 zł
O
ul. Krotoszyńska 16, Koźmin Wlkp
tak
nie
XX w.
200 000,00 zł
O
5 Budynek magazynowo- biurowy
tak
nie
XX w.
220 000,00 zł
O
6 Budynek przychodni
tak
*
XX w.
450 000,00 zł
O
wyłącznik przeciwpożarowy prądu
ul. Borecka 25a, Koźmin Wlkp
7 Budynek biurowy Rady Miejskiej
tak
*
2002
350 000,00 zł
O
3 gaśnice proszk. + alarm
ul Przyjemskich, Koźmin Wlkp
8 Budynek główny ZAZ
tak
*
XX w.
846 722,36 zł
O
9 Świetlica
tak
nie
1970
350 000,00 zł
O
hydrant
Borzęcice 30
10 Świetlica
tak
nie
1975
300 000,00 zł
O
hydrant
Szymanów
11 Świetlica
tak
nie
1975
320 000,00 zł
O
hydrant
Biały Dwór
12 Świetlica
tak
nie
1983
283 254,00 zł
O
hydrant
Wyrębin
13 Świetlica + remiza OSP
tak
nie
1965
294 000,00 zł
O
hydrant
Kaniew 42
14 Świetlica + remiza OSP
tak
nie
1980
820 000,00 zł
O
hydrant
Staniew 67A
15 Budynek kina „Mieszko”
tak
*
XX w.
800 000,00 zł
O
16 Świetlica
tak
nie
1991
140 000,00 zł
O
hydrant
17 Świetlica + remiza OSP
tak
nie
1985
550 000,00 zł
O
gaśnica/hydrant
18 Świetlica + 1 mieszkanie
tak
nie
195 700,00 zł
O
hydrant
19 Budynek mieszkalny + świetlica
tak
nie
80 000,00 zł
O
-
lp.
nazwa budynku/ budowli
przeznaczenie
budynku/ budowli
rodzaj wartości (księgowa
zabezpieczenia
brutto - KB /
(znane zabiezpieczenia p-poż i przeciw
odtworzeniowa - O)
kradzieżowe)
(2)
lokalizacja (adres)
1. Urząd Miasta i Gminy
4 budynek biurowy w podwórzu
biuro MGOPS
Strona 2 z 32
8 gaśnic/5pr.,3 pian./ + alarm
2 gaśnice proszkowe
ul. Stary Rynek 11, Koźmin Wlkp
ul. Krotoszyńska 16, Koźmin Wlkp
ul. Floriańska 21, Koźmin Wlkp
ul. Borecka 25
ul. Borecka 18, Koźmin Wlkp
Józefów
Gościejew
Walerianów 20
Nowa Obra 6
20 Świetlica + remiza OSP
tak
nie
350 000,00 zł
O
gaśnica
21 Świetlica (część budynku)
tak
nie
54 000,00 zł
O
-
22 Świetlica (część budynku)
tak
nie
100 000,00 zł
O
hydrant
23 Świetlica
tak
nie
220 000,00 zł
O
-
24 Budynek mieszkalny
tak
nie
XX w.
140 000,00 zł
O
Stara Obra ul. 1-maja 13
25 Budynek mieszkalny
tak
nie
1960
380 631,00 zł
O
ul. Zielony Rynek 15, Koźmin Wlkp
26 Budynek mieszkalny
tak
tak
początek XXw.
350 000,00 zł
O
ul Podmiejska 1, Koźmin Wlkp
27 Budynek mieszkalny
tak
*
koniec XIX w.
505 000,00 zł
O
ul. Krotoszyńska 5, Koźmin Wlkp
28 Budynek mieszkalny
tak
*
1910
350 000,00 zł
O
ul. Wiatrolika 5, Koźmin Wlkp
29 Budynek mieszkalny
tak
*
początek XXw.
350 000,00 zł
O
ul. Stęszewskiego 1
30 Budynek mieszkalny
tak
*
XIX / XXw.
180 000,00 zł
O
ul. Wałowa 8, Koźmin Wlkp
31 Budynek mieszkalny
tak
*
koniec XIXw
300 000,00 zł
O
ul. Pleszewska 12, Koźmin Wlkp
32 Budynek mieszkalny
tak
*
XIX / XXw.
220 000,00 zł
O
ul. Przyjemskich 2, Koźmin Wlkp
33 Budynek mieszkalny
tak
*
koniec XIX w.
160 000,00 zł
O
ul. Murna 24, Koźmin Wlkp
34 Budynek mieszkalny
tak
*
1960
800 000,00 zł
O
ul. Klasztorna 37, Koźmin Wlkp
35 Budynek mieszkalny
tak
*
koniec XIXw
250 000,00 zł
O
ul. Klasztorna 14, Koźmin Wlkp
36 Budynek mieszkalny + remiza
tak
nie
ok. 1930
450 000,00 zł
O
37 Budynek mieszkalny
tak
*
1925
700 000,00 zł
O
ul. Stary Rynek 22, Koźmin Wlkp
38 Budynek mieszkalny
tak
*
koniec XIX.
250 000,00 zł
O
ul. Targowa 12, Koźmin Wlkp
39 Budynek mieszkalno-użytkowy
tak
*
XX w.
250 000,00 zł
O
ul. Borecka 25, Koźmin Wlkp
mieszkalno40 Budynek
biurowy(część)
tak
*
koniec XIXw.
250 000,00 zł
O
ul. Borecka 20, Koźmin Wlkp
41 Budynek mieszkalny
tak
nie
XX w.
280 000,00 zł
O
ul Borecka 34, Koźmin Wlkp
42 Budynek mieszkalny
tak
nie
XX w.
200 000,00 zł
O
Wyrębin 24
1975
Strona 3 z 32
gaśnice/hydrant
Lipowiec 11B
Orla 12
Gałązki 22
Cegielnia
ul. Floriańska 23, Koźmin Wlkp
43 Lokal mieszkalny
tak
nie
1956
120 000,00 zł
O
Góreczki 6/2
44 Budynek mieszkalny
tak
nie
początek XXw.
322 640,00 zł
O
Kaniew 30
45 Budynek mieszkalny + świetlica
tak
nie
początek XXw.
250 000,00 zł
O
Sapieżyn 23
46 Budynek mieszkalny
tak
nie
początek XXw.
240 000,00 zł
O
Wrotków 52
47 Budynek mieszkalny
tak
nie
początek XXw.
350 000,00 zł
O
Staniew 67
48 Budynek mieszkalny
tak
*
XX w.
200 000,00 zł
O
budynek administrowany (niebędący
własnością)
ul. Nowy Rynek 13, Koźmin Wlkp
49 Budynek mieszkalny
tak
nie
początek XXw.
220 000,00 zł
O
budynek administrowany (niebędący
własnością)
ul. Pleszewska 47, Koźmin Wlkp
50 Budynek gospodarczy
tak
*
koniec XIX w.
29 000,00 zł
O
ul. Krotoszyńska 5, Koźmin Wlkp
51 Budynek gospodarczy
tak
*
koniec XIX w.
37 746,00 zł
O
ul. Krotoszyńska 5, Koźmin Wlkp
52 Budynek gospodarczy
tak
*
XX w.
28 000,00 zł
O
ul. Stęszewskiego 1, Koźmin Wlkp
53 Budynek gospodarczy
tak
*
koniec XIX w.
23 000,00 zł
O
ul. Pleszewska 12, Koźmin Wlkp
54 Budynek gospodarczy
tak
*
XIX / XX w.
29 000,00 zł
O
ul. Przyjemskich 2, Koźmin Wlkp
55 Budynek gospodarczy
tak
*
XX w.
14 000,00 zł
O
ul. Klasztorna 14, Koźmin Wlkp
gospodarczy+1
56 Budynek
mieszkanie
tak
*
1925
200 000,00 zł
O
ul. Stary Rynek 22, Koźmin Wlkp
57 Garaże – Przychodnia
tak
*
połowa XX w.
30 000,00 zł
O
ul Borecka, Koźmin Wlkp
58 Garaże
tak
nie
2006r.
6 000,00 zł
O
Kaniew 30
12 000,00 zł
O
Nowa Obra 6
59 Budynek gospodarczy
przynależny do świetlicy
60 Budynek gospodarczy
tak
nie
XX w.
24 000,00 zł
O
Wyrębin 24
61 Budynek gospodarczy
tak
nie
XX w.
15 000,00 zł
O
Staniew 67
62 Świetlica wiejska z garażem OSP
tak
nie
1975
350 000,00 zł
O
gaśnica
63 Dom Strażaka
tak
nie
280 000,00 zł
O
gaśnica/hydrant
64 Budynek OSP
tak
nie
60 000,00 zł
O
-
65 Świetlica wiejska z garażem OSP
tak
nie
920 000,00 zł
O
gaśnica/hydrant
1980
Strona 4 z 32
Mokronos 2
Wałków 8
Stara Obra ul. 1-maja 1A
Wrotków
66 Magazyn GOS
tak
nie
XX w.
150 000,00 zł
O
ul. Floriańska 21, Koźmin Wlkp
67 Magazyn, garaż przy KUK
tak
nie
XX w.
120 000,00 zł
O
ul. Floriańska 21, Koźmin Wlkp
68 Budynek „Biały Orzeł”
tak
nie
XX w.
525 000,00 zł
O
ul. Floriańska 21, Koźmin Wlkp
2006
421 415,83 zł
O
ul. Kopernika 1, Koźmin Wlkp
69 Boisko Sportowe (wielofunkcyjne)
70 Budynek gospodarczy OSP
tak
nie
95 000,00 zł
O
hydrant zewnętrzny
Gałązki 22
71 Remiza OSP
tak
nie
250 000,00 zł
O
hydrant
Czarny Sad
72 Budynek użytkowy
tak
nie
240 000,00 zł
O
288 000,00 zł
O
2010/2011
643 845,23 zł
KB
2011
1 031 652,22 zł
KB
Floriańska
początek XXw.
73 Wiaty autobusowe - 64 wiaty
74 Ośrodek Kulturalno- Rekrecyjny
w Skałowie
tak
nie
75 Kompleks Orlik
gaśnice/hydrant
Kożmin Wlkp. 7, Sapieżyn 1, Borzęcice 2,
Stara Obra 1, Nowa Obra 3, Staniew 3,
Wałąż
łków
8 Borzęciczki 1, Walerianów 1,
Ga
ki 5,
Serafinów 1, Pogorzałki Wielkie 1, Józefów
2, Gościjew 2, Pani Wola 1, Mokronos 2,
Suśnia 1, Skałów 2, Kaniew 1, Wrotków 2,
Dębiogóra 1, Czarny Sad 3, Lipowiec 3,
Tatary 1, Orla 2, Orla Klatka 1, Cegielnia
1, Orlinka 1, Wałków 2, Dębówiec 1,
Pogorzałki Małe 2, Psie Pole 1, Wyrębin 3,
Góreczki
1, Wiata blaszana przy Ośrodku
Skałów
Kultur.- Rekreac. w Skałowie, wiata
blaszana przy świetlicy w Szymanowie
budynek użytkowy
nie
*
koniec XIX w.
855 508,24 zł
KB
Borecka 23
Klub Seniora w Koźminie
Wlkp.
tak
*
początek XX w.
300 000,00 zł
O
Stęszewskiego 2
działalność kulturowousługowa
tak
*
2012
1 245 902,11 zł
KB
79 Ośrodek Kulturalno- Rekreacyjny
w Starej Obrze
tak
nie
2013
1 077 000,00 zł
KB
80 Budynek mieszkalny
tak
*
1898r.
76 Budynek użytkowy
77 budynek
78 budynek Centrum Kultury
hydrant, czujniki dymu, gaśnice, instalcja
ul. Floriańska 18a, Koźmin Wlkp.
odgromowa, alarm, zamki patentowe
gaśnice/hydrant
Stara Obra
KB
ul. Klasztorna 45, Koźmin Wlkp.
KB
ul. Krotoszyńska, Koźmin Wlkp.
KB
ul. Borecka 25
KB
ul. Borecka 25
O
ul. Stęszewskiego przy nr 9
O
ul. Dwiorcowa 5-10
O
ul. Dworcowa 5-10
O
ul. Dworcowa 5-10
O
ul. Dworcowa 5-10
77 920,00 zł
81 Plac targowiy z budynkiem
sanitarnym i parking
targowisko/ parking
tak
*
2011r.
524 881,73 zł
82 budynek ZAZ - pracownia
2010 r.
94 223,65 zł
83 budynek ZAZ - pracownia
2012 r.
186 377,91 zł
84 budynek magazynowy robót publ. pomieszczenia socjalne i
magazyn
85 budynek gospodarczy
1999 r.
300 000,00 zł
tak
połowa XX wieku
23 000,00 zł
86 budynek gospodarczy
tak
połowa XX wieku
23 000,00 zł
87 budynek gospodarczy
tak
połowa XX wieku
23 000,00 zł
88 budynek gospodarczy
tak
połowa XX wieku
23 000,00 zł
RAZEM
Wartośc odtworzeniowa budynków
26 488 420,28 zł Urzędu jest wyceną szacunkową
wykonaną przez pracownika
Urzędu.
Strona 5 z 32
2. Miejsko - Gminny Ośrodek Pomocy Społecznej
1
RAZEM
3. Szkoła Podstawowa nr 3 im. Kornela Makuszyńskiego
edukacja dzieci i
młodzieży
tak
tak
1902
2 940 000,00 zł
zajęcia sportowe,
rekreacyjne, imprezy
integracyjne,
okolicznościowe
tak
nie
2010
1 714 932,23 zł
zabawa, rekreacja
tak
nie
2011
131 927,00 zł
1 Szkoła Podstawowa Nr 3
2 Sala gimnastyczna z łącznikiem
3 Plac zabaw
RAZEM
gaśnice pianowe -9szthydrant, czujnik
gazu w kotłowni gazowej, kraty w oknach
w gab. Dyr., sekretariatu, pokoju
nauczycielskiego - parter; krata
zabezpieczjąca wejście na V poziom
wartość odtworzeniowa,
budynku - zabezp. pracowni inform., drzwi
przyjęto 2 000,00 zł za m2x
wejsciowe do szkoły- 2, 3 zamki
powierzchnia użytkowa
patentowe, sprcjalistyczne urządzenia
alarmowe, do wszczęcia alarmu może
służyć dzwonek szkolny; dozór
całodobowy agencji ochrony, w godz. 6.30gaśnice
pianowe
-3szt.
hydrant, czujnik
21.00dozór
pracowniczy)
gazu w kotłowni gazowej, drzwi
KB
wejściowe2,3 zamki, całodobowa ochrona
KB
ul. Klasztorna 29, Koźmin Wlkp
ul. Klasztorna 29, Koźmin Wlkp
ul. Klasztorna 29, Koźmin Wlkp
4 786 859,23 zł
4. Szkoła Podstawowa w Starej Obrze
1
Szkoła Podstawowa (nowy
budynek)
2 Szkoła Podstawowa (dobudowa)
szkoła
TAK
nie
4 gaśnice przeciwpożarowe, dozór agencji
ochrony mienia
Stara Obra, ul. Szkolna 6
zamki, dozór agencji ochrony mienia
Stara Obra
KB
gaśnice, zamki
Stara Obra
hydranty, gaśnice proszkowe, system
alarmowy zabezpieczający wyciek
gazu,alarm przeciwłamaniowy oraz drzwi
antywłamaniowe i p.poż.-biblioteka
szkolna,monitoring wizyjny korytarze
szkoły oraz teren przy szkole, pracownie
informatyczne-zamki patentowe, drzwi
antywłamaniowe i p.poż.
ul.M.Kopernika 1 63-720 Koźmin
Wielkopolski
1 099 000,00 zł
1970
O
klasy
TAK
nie
710 000,00 zł
1993
O
3 budynek gospodarczy
cel gospodarczy
TAK
nie
6 072,51 zł
1970
RAZEM
1 815 072,51 zł
5. Gimnazjum im. Zjednoczonej Europy
1 Budynek szkolny
cele edukacyjne
tak
nie
1999
4 047 085,57 zł
KB
2 Sale gimnastyczne
cele edukacyjne
tak
nie
2001
1 252 524,21 zł
KB
3 Ogrodzenie-sale gimnastyczne
tak
nie
2002
KB
10 700,00 zł
4 Ogrodzenie-budynek szkolny
tak
nie
1999
KB
39 033,62 zł
Razem
5 299 609,78 zł
Strona 6 z 32
monitoring, gaśnice proszkowe, hydranty
ul.M.Kopernika 1 63-720 Koźmin
Wielkopolski
6. Zespół Szkolno-Przedszkolny w Borzęciczkach
1 Szkoła Podstawowa
działalność edukacyjna
TAK
TAK
KB
gaśnica proszkowa ABC - 5 szt., kraty w
oknach pracowni komputerowej - parter
Borzęciczki 9
1 891 503,60 zł
KB
gaśnica proszkowa ABC - 3 szt., 2
hydranty
Borzęciczki 9
80 000,00 zł
KB
gaśnica proszkowa ABC - 2 szt.
Borzęciczki 15
1868
480 000,00 zł
2 Sala gimnastyczna
działalność edukacyjna
TAK
NIE
2009
3 Przedszkole
działalność edukacyjna
TAK
TAK
4 Oczyszalnia ścieków
biologiczna
oczyszczalnia ścieków
typu TURBOJET EP
TAK
NIE
2009
63 203,02 zł
KB
opłotowanie zamykana na kłódkę
Borzęciczki 9
5 Plac zabaw
działalność edukacyjna
TAK
NIE
2011
129 612,36 zł
KB
opłotowanie zamykana na kłódkę
Borzęciczki 9
KB
gaśnice proszkowe - 2 szt, hydrant 1, 2
drzwi, 2 zamki
Wrotków 23
Razem
2 644 318,98 zł
7. Szkoła Podstawowa w Mokronosie - Oddział Przedszkolny we Wrotkowie
Budynek przedszkola we
Wrotkowie
1
placówka dydaktyczno oświatowa
TAK
NIE
brak danych
Razem
120 000,00 zł
120 000,00 zł
8. Szkoła Podstawowa w Mokronosie
1
Szkoła Podstawowa (1 sala
gimnastyczna)
2 budynek gospodarczy
3 szambo 15 m³
działalność dydaktyczno oświatowa
tak
NIE
1969,2
budynek magazynowy
tak
NIE
odpływowy zbiornik
ścieków
tak
NIE
RAZEM
Gaśnice proszkowe - 6 szt., hydrant 1 szt.,
urządzenia alarmowe - sala komp., kraty w
oknach - parter magazyn sportowy, drzwi - Mokornos 3 , 63-720 Koźmin Wlkp.
4, zamki 7 ( 4 patentowe, 3 zwykłe), dozór
agencji ochrony
900 000,00 zł
KB
brak danych
4 628,59 zł
KB
gasnica proszkowa
Mokornos 3 , 63-720 Koźmin Wlkp.
brak danych
2 329,88 zł
KB
nie dotyczy
Mokornos 3 , 63-720 Koźmin Wlkp.
906 958,47 zł
Strona 7 z 32
9. Publiczne Przedszkole
działalność opiekuńczowychowawcza
kraty na parterze (kancelaria), gaśnice
proszkowe - 7 szt, sygnalizacja dźwiekowa
ul. Zamkowa 2a, 63-720 Koźmin Wlkp.
- kotłownia (czujnik CO2), dozór agencji
ochrony
1979
380 000,00 zł
O
2 Plac zabaw
2008
35 830,18 zł
KB
ul. Zamkowa
3 ogrodzenie przedszkola
2009
25 549,02 zł
KB
ul. Zamkowa
59 927,74 zł
KB
ul. Zamkowa
1 Przedszkole "Parkowe Skrzaty"
TAK
4 elewacja budynku
RAZEM
501 306,94 zł
10. Szkoła Podstawowa nr 1
1 Budynek szkolny I
do nauki
TAK
NIE
ok. 1890
1 790 000,00 zł
O
gaśnice, dozór całodobowy, kraty w
oknach
ul. Glinki 11, Koźmin Wlkp.
2 Budynek szkolny II
do nauki
TAK
NIE
1965
1 475 000,00 zł
O
gaśnice, dozór całodobowy, kraty w
drzwiach
ul. Polna, Koźmin Wlkp.
do nauki
TAK
NIE
1980
957 000,00 zł
O
dozór całodobowy, kraty w drzwiach
ul. Glinki 11, Koźmin Wlkp.
przejście
TAK
NIE
1980
1 113 000,00 zł
O
gaśnice,dozór całodobowy, kraty w
oknach, podwójne zamki
ul. Glinki 11, Koźmin Wlkp.
do zabawy
TAK
NIE
2011
197 685,27 zł
KB
ogrodzenie pod klucz, monitoring
ul. Polna, Koźmin Wlkp.
3
Szkoła Podstawowa nr 1 (2 sale
gimnastyczne)
4 Szkoła Podstawowa nr 1 (łącznik)
5 Plac zabaw
Razem
5 532 685,27 zł
Strona 8 z 32
11. Szkoła Podstawowa Borzęcice
1 Szkoła Podstawowa (główny)
zajęcia dydaktyczne +
część mieszkalna
tak
nie
1914
wartość odtworzeniowa,
1 082 720,00 zł przyjęto 2 000,00 zł za m2x
powierzchnia użytkowa
Szkoła Podstawowa (część
2 dobudowana do głównego + sala
gimnastyczna)
zajęcia dydaktyczne,
opiekuńcze, sportowe
tak
nie
2009
2 700 000,00 zł
KB
3 Plac zabaw
zajecia rekreacyjno sportowe
tak
nie
2011
127 924,92 zł
KB
Razem
gaśnice 3 szt. hydrant
Borzęcice 136
gaśnice 6 szt. hydranty 6 szt.
Borzęcice 136
opłotowane, furtka zamykana na klucz
Borzęcice 136
3 910 644,92 zł
12. Gminny Ośrodek Sportu
1 BASEN KĄPIELOWY
TAK
1970
519 171,00 zł
KB
Koźmin Wlkp. ul. Pleszewska
gaśnice
2 Kompleks boisk sportowych
obiekt sportowy: w skład
kompleksu wchodzą:
boisko główne z
trybunami ok. 550 miejsc
siedzących, boisko
treningowe, parking,
kiosk-kasa biletowa
TAK
NIE
Razem
2013
2 583 613,30 zł
KB
3 102 784,30 zł
SUMA OGÓŁEM:
55 108 660,68 zł
Strona 9 z 32
teren ogrodzony
Koźmin Wlkp. ul. Floriańska 21
L.p.
informacja o
przeprowadzonych
remontach i
odległość
od
czy
Rodzaj materiałów budowlanych, z jakich
opis stanu technicznego budynku wg poniższych elementów
modernizacji
najbliższej rzeki
czy
znajdują czy jest
wykonano budynek
budynku
budynków
powierzch powierzch
sieć
lub innego
ilość
budynek się w nim wyposażo
starszych niż 50 lat
nia
nia
kubatura
wodnozbiornika
jest
instalacje
ny w
instalacja zabudowy użytkowa (w m³)*** kondygna
(data remontu, konstukcj
kanalizacy
wodnego
cji
podpiwnic sanitarne windę?
dach
intalacja
stolarka
wentylacy (w m²)*
czego dotyczył
(w m²)**
ai
instalacja
jna oraz
zony?
?
(TAK/NIE)
mury
stropy
(konstrukcja i (proszę podać remont, wielkość
elekryczn
okienna i
jna i
pokrycie
cenralneg
gazowa
od czego)
(TAK/NIE)
pokrycie)
a
drzwiowa
kominow
poniesionych
dachu
o
a
nakładów na
ogrzewani
remont)
a
1
cegła
drewno
dachówka
dobry
dobry
dobry
dobry
dobry
dobry
256
340
2480
3
tak
tak
nie
2
cegła
drewno
dachówka
dobry
dobry
dobry
dobry
dobry
dobry
275
400
1636
2
tak
tak
nie
3
cegła
beton
papa
bitumiczna
dobry
dobry
188
160
750
1
nie
nie
nie
4
cegła
beton
papa
bitumiczna
dobry
dobry
dobry
dobry
dobry
130
110
387
1
nie
tak
nie
5
drewno/cegła
drewno
papa
bitumiczna
dobry
dobry
dobry
dobry
dobry
dobry
960
816
3264
1
nie
tak
nie
6
cegła
beton
dachówka
dobry
dobry
dobry
dobry
dobry
dobry
362
955
2438
2
tak
tak
nie
7
cegła
beton
dachówka
dobry
dobry
dobry
dobry
dobry
dobry
108
319
988
3
nie
tak
nie
8
nie
9
cegła
beton
papa
bitumiczna
-
-
390
325
1950
1
nie
tak
nie
10
cegła
beton
papa
bitumiczna
-
-
205
171
1025
1
nie
tak
nie
11
cegła
drewno
papa
bitumiczna
-
-
280
243
1400
1
nie
tak
nie
12
cegła
drewno
Blachodachówka
-
-
414
360
2070
2
nie
tak
nie
13
cegła
beton
papa
bitumiczna
-
-
230
200
1150
1
nie
tak
nie
14
cegła
drewno
Blachodachówka
800 – 1000
-
660
572
3960
2
nie
tak
nie
15
cegła
beton
papa
bitumiczna
16
cegła
beton
papa
bitumiczna
-
-
160
137
560
1
nie
tak
nie
17
cegła
beton
blacha
-
-
580
501
4640
2
nie
tak
nie
18
cegła
drewno
onduline
-
-
90
77
720
1
nie
tak
nie
19
cegła
drewno
dachówka
-
-
105
90
840
1
nie
tak
nie
nie
Strona 10 z 32
20
cegła
drewno
blacha
-
-
205
179
820
1
nie
tak
nie
21
cegła
drewno
dachówka
800 – 1000
-
75
65
638
1
nie
tak
nie
22
cegła
drewno
dachówka
-
-
103
90
824
1
nie
tak
nie
23
drewno/cegła
drewno
papa
bitumiczna
-
-
200
171
800
1
nie
tak
nie
24
drewno
drewno
papa
bitumiczna
dobry
dobry
dobry
dostateczn
y
dobry
177
147
620
1
nie
tak
nie
25
cegła
beton
papa
bitumiczna
dobry
dobry
dobry
dobry
dobry
135
209
803
2
tak
tak
nie
26
cegła
drewno
dachówka
dobry
dobry
dobry
dobry
dobry
dobry
204
241
1318
2
tak
tak
nie
27
cegła
drewno
papa
bitumiczna
dobry
dobry
dobry
dostateczn
y
dobry
dobry
227
261
2149
3
tak
tak
nie
dobry
dobry
dobry
dobry
dobry
dobry
146
186
1415
3
tak
tak
nie
dobry
dobry
dobry
dostateczn
y
dobry
dobry
184
197
1250
2
tak
tak
nie
dobry
dobry
dobry
dobry
dobry
dobry
50
64
255
2
nie
tak
nie
2011r.- elewacja
frontu budynku,
2012r.- rozbudowa i
przebudowa
pddasza po spaleniu
28
cegła
drewno
papa
bitumiczna
29
cegła
drewno
dachówka
30
cegła
drewno
dachówka
31
cegła
drewno
blachodachów
ka
dobry
dobry
dobry
dobry
dobry
dobry
98
151
950
3
tak
tak
nie
32
cegła
drewno
dachówka
dobry
dobry
dobry
dostateczn
y
dobry
dobry
213
132
688
1
tak
tak
nie
33
cegła
drewno
papa
bitumiczna
dobry
dobry
dobry
dostateczn
y
dobry
dobry
98
152
633
2
tak
tak
nie
34
cegła
beton
papa
bitumiczna
dobry
dobry
dobry
dobry
dobry
dobry
425
835
3251
3
tak
tak
nie
35
cegła
drewno
dachówka
2001r.- wymiana
dachówki
dobry
dobry
dobry
dobry
dobry
dobry
250
341
2600
3
tak
tak
nie
36
cegła
beton
papa
bitumiczna
-
dobry
dobry
dobry
dobry
dobry
dobry
dobry
355
526
2535
2
nie
tak
1999r. Modernizacja
i przyłącze gazu
-
nie
nie
37
cegła
drewno
papa
bitumiczna
dobry
dobry
dobry
dobry
dobry
dobry
217
326
3103
3
tak
tak
38
cegła/drewno
drewno
dachówka
dostateczn
y
dobry
dobry
dostateczn
y
dobry
dobry
113
106
630
2
nie
tak
nie
39
cegła
beton
dachówka
dobry
dobry
dobry
dobry
dobry
dobry
128
129
827
2
nie
tak
nie
dobry
dobry
dobry
115
99
740
2
tak
tak
nie
dobry
dobry
dobry
110
174
561
2
tak
tak
nie
dobry
122
89
467
1
nie
tak
nie
dobry
40
cegła
drewno
dachówka
41
cegła
drewno
papa
bitumiczna
42
cegła
drewno
eternit
1998r. modernizacja
i przyłącza
wodociągowe i
gazowe
dobry
dobry
dobry
dobry
dobry
dobry
dobry
dobry
Strona 11 z 32
43
cegła
beton
dachówka
dobry
dobry
dobry
dobry
dobry
53
46
295
2
nie
tak
nie
44
cegła
beton
dachówka
dobry
dobry
dobry
dobry
dobry
180
125
640
1
nie
tak
nie
45
cegła
drewno
dachówka
dostateczn
y
dobry
dobry
dobry
dobry
200
142
646
1
nie
tak
nie
46
cegła
drewno
dachówka
dobry
dobry
dobry
dostateczn
y
dobry
276
301
1783
2
tak
tak
nie
47
cegła
drewno
dachówka
dobry
dobry
dobry
dobry
dobry
200
248
1292
2
nie
tak
nie
48
cegła
beton
eternit
dobry
dobry
dobry
dostateczn
y
dobry
dobry
179
131
578
1
tak
tak
nie
49
cegła
drewno
eurofala
dobry
dobry
dobry
dobry
dobry
dobry
85
75
550
2
nie
tak
nie
50
cegła
drewno
papa
bitumiczna
dostateczn
y
30
24
120
1
nie
nie
nie
51
cegła
drewno
papa
bitumiczna
dostateczn
y
35
28
140
1
nie
nie
nie
52
cegła
drewno
papa
bitumiczna
dobry
118
94
401
1
nie
nie
nie
53
cegła
drewno
papa
bitumiczna
dostateczn
y
40
36
109
1
nie
nie
nie
54
cegła
drewno
dachówka
dostateczn
y
36
30
107
1
nie
nie
nie
55
drewno
drewno
papa
bitumiczna
dobry
58
52
220
1
nie
nie
nie
56
cegła
drewno
dachówka
dobry
93
48
300
1
nie
tak
nie
57
cegła
beton
papa
bitumiczna
dobry
66
59
231
1
nie
nie
nie
58
blacha
blacha
blacha
dobry
50
45
135
1
nie
nie
nie
60
cegła
drewno
dachówka
dobry
65
55
221
1
nie
nie
nie
61
cegła
drewno
dachówka
dobry
60
50
180
1
nie
nie
nie
62
cegła
drewno
papa
bitumiczna
-
-
280
246
1260
1
nie
tak
nie
63
cegła
drewno
dachówka
300 – 500
-
196
170
1372
1
nie
tak
nie
64
cegła
drewno
dachówka
-
-
50
40
250
1
nie
tak
nie
65
cegła
drewno
blacha
-
-
483
420
3140
1
nie
tak
nie
dobry
dobry
dobry
dobry
dobry
59
Strona 12 z 32
66
cegła
konst.
metalowa
kratownica,bla
cha
dobry
dobry
194
175
970
1
nie
nie
nie
67
cegła
drewno
papa
bitumiczna
dobry
dobry
525
450
1785
1
nie
nie
nie
68
cegła
żelbetonowe
kratownica,
blacha
dobry
dobry
477
597
3080
2
nie
tak
nie
70
cegła
drewno
blacha
46
40
184
1
nie
tak
nie
71
cegła
beton
papa
bitumiczna
127
110
762
1
nie
tak
nie
72
cegła
drewno
drewniany
,dachówka
x
x
x
1
nie
tak
nie
drewno
drewno
gont
bitumiczny
118
112
472
1
nie
tak
nie
76
cegła
drewno
drewniany,
dachówka
77
cegła
drewno
drewniany,
dachówka
78
cegła
żelbetonowe
drewniany,
blacha
79
cegła
drewno
blacha
80
cegła
drewno
drewniany,
dachówka
dobry
dobry
dobry
dobry
69
-
-
dobry
dobry
dobry
dobry
dobry
73
74
100
-
75
2013r. adaptacja dla
Klubu Seniora
-
dobry
dobry
dobry
dostateczn
y
dobry
dobry
284
233
2413
3
tak
tak
nie
dobry
dobry
dobry
dobry
dobry
dobry
132
265
2080
2
tak
tak
nie
460
411
3430
1
nie
tak
nie
dobry
dobry
dobry
dostateczn
y
dobry
dobry
168
265
1997
3
tak
tak
nie
2560
2560
420
364
1429
1
nie
tak
nie
125
106
404
1
nie
nie
nie
125
106
404
1
nie
nie
nie
125
106
404
1
nie
nie
nie
125
106
404
1
nie
nie
nie
2010r.- wymiana
dachówki
polbruk
81
82
83
84
cegła
beton
papa
bitumiczna
dobry
dobry
85
cegła
beton
drewniany dachówka
dobry
dobry
dobra
86
cegła
beton
drewniany dachówka
dobry
dobry
dobra
87
cegła
beton
drewniany dachówka
dobry
dobry
dobra
88
cegła
beton
drewniany dachówka
dobry
dobry
dobra
dobry
dobra
dobry
Strona 13 z 32
1
1
cegła
drewniane
dachówka
ok. 2 km
2
piano-beton
płyta
papa
ok. 2 km
3
modernizacja i
remont budynku 2000 r.
remont
dachu - 2013 r.
bardzo
dobry
dobry
dobry
dobry
dobry
dobry
295
1470
3677
2
tak
tak
nie
dobry
dobry
dobry
dobry
dobry
dobry
819,64
694,69
4909
1
nie
tak
nie
289,3
289,3
ok.. 2 km
1
cegła
dobry
dobry
dobry
dobry
dobry
dobry
brak
dobry
497
467,5
1979,75
1
nie
nie
nie
2
cegła
dobry
dobry
dobry
dobry
dobry
dobry
brak
dobry
320
302,5
1270,5
1
nie
nie
nie
dobry
dobry
brak
dobry
brak
dobry
110
93
306,9
1
nie
nie
nie
3
1
2
3
ściany
piwnic i
cegła
dobry
dobry
fundamentowe
-bloki
betonowe,ścia
ny osłonowe
kondygnacji
nadziemnychbloki
gazobetonowe,
płaski z płyt
ściany
korytkowych,p
zewnętrzne
okrycie
nośne
płyty kanałowe dwukrotne
nadziemiacegła
typu S
papą na
warstwowe(ce
kratówka,ścian
lepiku,ocieplen
gła
y działowe
ie z welny
szczelinówka,
cegla
płaski z
mineralnej
warstwa
dziurawka i
płyt,pokrycie
ocieplającacegła
dwukrotne
płyty dachowe
cegła
pełna,izolacj
papą na
sprężone
pełna,ściany
cieplna i
lepiku,ocieplen
wewnętrzneprzeciwdzwięk
ie z welny
cegła
owa
z płyt
mineralnej
pełna,ściany
styropianowyc
działowe-cegla
h i tynk
dziurawka
mineralny
dobra
dobra
do
remontu:
a)elewacja
zewnętrzn
a sal
gimnastyc
dobra
znych,
b)podbitka
dachowaminisalki
gimnastyc
znej
dobra
dobra
dobra
dobra
1203,3
4134,5
16011,5
3
tak
tak
nie
dobra
dobra
dobra
dobra
963,29
903
6969,5
1
nie
tak
nie
4
Strona 14 z 32
1
2
NAD
PIWNICĄ- KONSTRUKCJ
BETONOWY;
APOMIĘDZY DREWNIANA;
PARTEREM A POKRYCIEPODDASZEM- DACHÓWKA
DREWNIANE' KONSTRUKCJ
BLOCZEK Z
A- DŹWIGARY
BETONU
ŻELBETONO STALOWE,
KOMÓRKOW
WE
POKRYCIEEGO
BLACHA
TRAPEZOWA
CEGŁA
PEŁNA
BARDZO
DOBRY
DOBRY
BARDZO BARDZO
DOBRY
DOBRY
DOBRY
BARDZO
DOBRY
DOBRY
NIE
DOBRY
DOTYCZY
BARDZO BARDZO BARDZO
DOBRY
DOBRY DOBRY
1004
1059
7042
1
CZĘŚCIOWO
TAK
NIE
667,78
590,32
5010
1
NIE
TAK
NIE
101
174
485
2
TAK
TAK
NIE
3
DREWNIANENAD
KONSTRUKCJ
CEGŁA NA
PARTERAMI;
A
ZAPRAWIE
STALOWO- DREWNIANA,
CEMENTOWO
CERAMICZNA
KRYTY
-WAPNIOWEJ
-NAD
DACHÓWKĄ
PIWNICĄ.
4
NIE DOTYCZY NIE DOTYCZY NIE DOTYCZY
NIE
NIE
NIE
NIE
NIE
NIE
DOTYCZY DOTYCZY DOTYCZY DOTYCZY DOTYCZY DOTYCZY
34,7
34,7
nie dotyczy
1
NIE
NIE
NIE
NIE DOTYCZY NIE DOTYCZY NIE DOTYCZY
NIE
NIE
NIE
NIE
NIE
NIE
DOTYCZY DOTYCZY DOTYCZY DOTYCZY DOTYCZY DOTYCZY
345,6
345,6
nie dotyczy
1
NIE
NIE
NIE
5
DOBRY
DOBRY
DOBRY
DOBRY
NIE
BARDZO
DOTYCZY DOBRY
1
cegła
żelbeton
dachówka
dobry
bardzo
dobry
bardzo
dobry
bardzo
dobry
nie
dotyczy
bardzo
dobry
1
cegła
żelbeton
papa
termozgrzewal
na
dobry
bardzo
dobry
bardzo
dobry
bardzo
dobry
nie
dotyczy
bardzo
dobry
2
cegła
konstrukacja
drewniana
dachu
dachówka
dobry
bardzo
dobry
bardzo
dobry
bardzo
dobry
nie
dotyczy
nie
dotyczy
nie
dotyczy
nie
dotyczy
bardzo
dobry
nie
dotyczy
nie
dotyczy
nie
dotyczy
3
Strona 15 z 32
1
z cegły
kraterówki
dach z
płyty żelbetowe papy,konstrukc
ja betonowa
dobry
dobry
dobry
dobry
dobry
dobry
797
797
3715
dwie
nie
tak
nie
dobry
dobry
dobry
364 m²
872,4m²
4084 m³
3
TAK
NIE
NIE
dobry
dobry
dobry
325,8 m²
709,3m²
3437 m³
3
NIE
NIE
NIE
dobry
dobry
dobry
595 m²
288m²
3720 m³
1
NIE
NIE
NIE
1404 m³
1
NIE
TAK
NIE
2
3
4
1
cegła pełna
drewniany
konstrukcja
drewniana,
pokrycie
dachówka
bardzo
dory
dobry
2
cegła pełna
drewniany
konstrukcja
drewniana,
pokrycie
dachówka
dobry
dobry
3
cegła
płyty strunobetonowe
papa
dobry
dobry
4
cegła
płyty strunobetonowe
papa
dobry
dobry
5
drzwiowadostateczn
a okienna bardzo
dobry
drzwiowadobry
okienna bardzo
dobry
drzwiowadobry
okienna bardzo
dobry
drzwiowadobry
okienna bardzo
dobry
538 m ²
532,48 m² 242,61 m²
Strona 16 z 32
1
cegła
ceramiczna
pełna na
zaprawie c/w
parter, piętro,
strych
tak
dobry
dobra
dobra
dobra
nie
dotyczy
dobra
370 m2
541,36 m2
4120 m3
3
tak
tak
nie
2
beton
komórkowy
parter, piętro
nie
bardzo
dobry
bardzo
dobry
bardzo
dobry
bardzo
dobry
nie
dotyczy
bardzo
dobry
1137,5 m2
1348,95
m2
8035 m3
2
nie
tak
nie
3
nie dotyczy
nie dotyczy
nie dotyczy
nie
dotyczy
nie
dotyczy
nie dotyczy
nie
dotyczy
nie
dotyczy
nie
dotyczy
339,95 m2 339,95 m2 nie dotyczy nie dotyczy nie dotyczy nie dotyczy nie dotyczy
1
NIE
2
Strona 17 z 32
TAK
NIE
Tabela nr 3 - Wykaz sprzętu elektronicznego w Mieście i Gminie Koźmin Wielkopolski
Wykaz sprzętu elektronicznego stacjonarnego
Lp.
Nazwa
Rok produkcji
1. Urząd Miasta i Gminy
1 Zestawy komputerowe (8sz.)
2 Zestaw kompterowy
3 Zestaw komputerowy
4 Zestaw komputerowy
5 Zestaw komputerowy
6 Drukarka HP Laser Jet
7 Zestaw komputerowy
8 Monitor Benq
9 Drukarka HP Laser Jet
10 Monitor Benq
11 Monitor Benq
12 Zestaw komputerowy
13 Serwer sieciowy
14 Zestaw komputerowy
15 Zestaw komputerowy
16 Zestaw komputerowy
17 Zestaw komputerowy
18 Zestaw komputerowy
RAZEM
2. Miejsko - Gminny Ośrodek Pomocy Społecznej
1 Drukarka HP
2 Drukarka HP LaserJet
3 Zestaw komputerowy
4 Drukarka Brother
5 Drukarka HP LaserJet P2055
6 Kserokopiarka Toshiba
7 Komputer Intel Core 15 (serwer)
8 Monitor Philips
9 Niszczarka HSM
10 Monitor Philips
11 Zestaw komputerowy
12 Drukarka HP
13 Drukarka Brother
14 Drukarka Brother
15 Dysk zewnętrzny 1 TB
16 Niszczarka Wallner
17 Tenda Router N3
18 Telefax Panasonic KX-FC 278
19 Router Wi fi
RAZEM
3. Szkoła Podstawowa nr 3 im. Kornela Makuszyńskiego
1 Monitor LCD 22''
2 Kolumna glośnikowa PXW 15P - 2 szt.
3 Kolumna aktywna XSP -15A - 2 szt.
4 Mikser American
5 Ksero - urządzenie wielofukcyjne
6 Telewizor Panasonik 42"
7 tablica interaktywna QOMO QWB200-PS(89")
Wartość księgowa
brutto
2009
2009
2009
2009
2009
2010
2010
2010
2010
2010
2010
2010
2010
2010
2012
2013
2013
2013
12 200,00 zł
2 778,00 zł
2 333,98 zł
2 570,00 zł
2 484,00 zł
931,78 zł
2 277,68 zł
540,00 zł
756,40 zł
539,99 zł
540,00 zł
1 864,00 zł
4 600,00 zł
1 485,41 zł
1 316,04 zł
1 976,00 zł
1 976,00 zł
1 975,99 zł
43 145,27 zł
2009
2010
2011
2011
2011
2011
2011
2011
2011
2012
2012
2012
2012
2012
2012
2012
2012
2013
2013
487,00 zł
964,00 zł
1 569,00 zł
400,00 zł
790,00 zł
2 450,00 zł
3 490,00 zł
534,00 zł
474,78 zł
551,04 zł
1 340,00 zł
390,00 zł
389,91 zł
389,91 zł
808,37 zł
339,00 zł
67,95 zł
750,00 zł
120,54 zł
16 305,50 zł
2010
2010
2010
2010
2010
2011
2011
669,78 zł
3 000,00 zł
2 300,00 zł
1 250,00 zł
3 416,00 zł
1 500,00 zł
4 285,32 zł
8
tablica wynikówe sportowych TW20-1
2012
2 916,70 zł
9
zestawy komputerowe 5 szt
2013
6 400,00 zł
10
Rzutnik
2013
1 149,00 zł
11
Kolumna głośnikowa PXW 15P - 2 szt.
2010
3 000,00 zł
Strona 18 z 32
12
Kolumna aktywna XSP- 15A 2 szt
2010
2 300,00 zł
13
Mikser American
2010
1 250,00 zł
14
Ksero-urządzenie wielofunkcyjne Bizhub 250
2009
3 416,00 zł
RAZEM
Strona 19 z 32
36 852,80 zł
4. Szkoła Podstawowa w Starej Obrze
1 Kserokopiarka RICOH
2 telewizor Samsung
3 Projektor BenQ
4 Tablica interaktywna
5 Głośniki
RAZEM
5. Gimnazjum im. Zjednoczonej Europy
1 Odbiornik TV Toshiba szt.3x1950,00 zł
2 Tablica interaktywna (pracownia 303)
3 Projektor EPSON EB 45 Wi- PC 9F1148L
4 Monitory szt.10x150,00
5
Komputer-jednostka szt.10x424
6 Projektor Epson EB 455WI
7 Tablica multimedialna
8 Bezprzewodowy Internet( 5 szt. punktów dostępu)
Razem
2009
2011
2013
2013
2013
2 800,00 zł
1 400,00 zł
1 680,00 zł
4 228,00 zł
174,00 zł
10 282,00 zł
2010
2011
2011
2012
2012
2011
2011
2012
5 850,00 zł
1 000,00 zł
6 000,00 zł
1 500,00 zł
4 240,00 zł
5 223,30 zł
2 042,90 zł
6 999,00 zł
32 855,20 zł
6. Zespół Szkolno-Przedszkolny w Borzęciczkach
1
Monitor Benq
2009
580,00 zł
3
Telewizor LG
2010
1 800,00 zł
4
Drukarka Hp
2010
199,00 zł
5
Komputer z systemem Windows 7
2011
1 792,00 zł
RAZEM
4 371,00 zł
7. Szkoła Podstawowa w Mokronosie - Oddział Przedszkolny we Wrotkowie
1
Telewizor FUNAI 20 " LC 5-20 BB
2008
RAZEM
8. Szkoła Podstawowa w Mokronosie
1 Zestaw podzespołów komputerowych (sekretariat)
2 Monitory LCD Samsung 740 N Plus - 4 szt.
3 Telewizor LG 42" 3000 LCD WXGA
RAZEM
Strona 20 z 32
749,00 zł
749,00 zł
2006
2006
2008
1 875,99 zł
874,00 zł
1 999,00 zł
4 748,99 zł
9. Publiczne Przedszkole
1
drukarka HP
2011
320,00 zł
2
drukarka laserowa
2010
392,00 zł
3
kopiarka nashatec MP 2000
2012
2 300,00 zł
3 012,00 zł
RAZEM
10. Szkoła Podstawowa nr 1
1
2
3
4
5
6
7
8
Zestaw komputerowy (gabinet wicedyrektora)
Zestaw komputerowy (sekretariat)
Telewizor LG
Telewizor LG
Tablica interaktywna
Projektor DLP BENQ
Projektor DLP BENQ
Zestaw komputerowy (pracownia komputerowa) - 2 szt.
RAZEM
11. Szkoła Podstawowa Borzęcice
1
drukarka HP DESK JET D4360
2
3
4
5
6
7
8
9
10
telefaks PANASONIC
telewizor SAMSUNG PS50C450 plazma
zasilacz UPS do komputera
sprzęt komputerowy
kino domowe
naświetlacz LED 20 W 230 V
naświetlacz LED 30 W 230 V
tablica interaktywna Dual Board 1279
tablica ineraktywna
RAZEM:
12. Gminny Ośrodek Sportu
1
2
3
4
5
6
7
8
9
10
11
12
13
14
15
16
17
18
19
20
21
URZĄDZENIE WIELOFUNKCYJNE SAMSUNG
ZESTAW KOMPUTEROWY PHILIPS
MIKROFON WA320+VXN286TS
KASA FISKALNA SHARP
DRUKARKA HP DESKJET
ROUTER LINKSYS
ZESTAW CERTUM
RADIOODBIORNIK
ZEGAR
NISZCZARKA PS062S WALLNER
KOMPRESOR
ZESTAW NAGŁAŚNIAJĄCY
CENTRALA SLICAN ITS-106
APARAT TELEFONICZNY
SYSTEM ALARMOWY
RADIOODBIORNIK
URZĄDZENIE WIELOFUNKCYJNE OFFICE JET 7500
MIKROFON SHURE PG 58-XLR
ODTWARZACZ DVD AZUSA Z USB/SD
WZMACNIACZ RADIOWĘZŁOWY SS-6360
MIKROFON K-200 AZUSA
RAZEM
Strona 21 z 32
2009
2009
2010
2012
2012
2012
2012
2012
2 200,00 zł
2 245,00 zł
1 899,00 zł
1 600,00 zł
6 000,00 zł
1 500,00 zł
1 700,00 zł
4 326,62 zł
21 470,62 zł
2009
379,42 zł
2009
2010
2011
2011
2011
2012
2012
2013
2013
494,00 zł
2 799,00 zł
450,00 zł
1 740,00 zł
999,00 zł
385,00 zł
399,00 zł
7 000,00 zł
7 000,00 zł
21 645,42 zł
2009
2009
2010
2010
2009
2010
2010
2010
2010
2010
2011
2012
2012
2012
2012
2012
2012
2012
2013
2013
2013
740,00 zł
1 880,00 zł
500,00 zł
1 342,00 zł
450,00 zł
320,01 zł
384,91 zł
75,00 zł
29,00 zł
378,20 zł
344,00 zł
8 252,00 zł
762,60 zł
139,00 zł
850,95 zł
100,00 zł
1 722,00 zł
460,00 zł
125,00 zł
1 420,00 zł
159,00 zł
20 433,67 zł
Wykaz sprzętu elektronicznego przenośnego
Lp.
Nazwa
Rok produkcji
Wartość księgowa
brutto
1. Urząd Miasta i Gminy
1
Notebook
2009
2 290,00 zł
2
Notebook
2013
2 285,00 zł
RAZEM
4 575,00 zł
2. Miejsko - Gminny Ośrodek Pomocy Społecznej
1
2
3
4
5
Notebook Samsung
Aparat fotograficzny FUJi FILM
Notebook Toshiba
Notebook Toshiba
Projektor DLP BENQ
2009
2010
2011
2012
2013
RAZEM
2 068,00 zł
389,97 zł
2 360,00 zł
2 500,00 zł
1 970,00 zł
9 287,97 zł
3. Szkoła Podstawowa nr 3 im. Kornela Makuszyńskiego
1
2
3
Mikrofon bezprzewodowy
Notebook Asus X53U-SX201V
komputer przenośny HP 635
2010
2011
2011
RAZEM
1 600,00 zł
1 202,00 zł
1 480,00 zł
4 282,00 zł
4. Szkoła Podstawowa w Starej Obrze
1
2
3
Notebook Asus
Notebook Asus
Notebook Dell
2007
2010
2013
2 491,03 zł
2 292,00 zł
2 822,00 zł
7 605,03 zł
2010
2010
2011
1 900,00 zł
1 930,00 zł
2 966,09 zł
RAZEM
5. Gimnazjum im. Zjednoczonej Europy
1
2
3
Laptop emachines E728
Laptop emachines E728
Laptop Inspiron N5110-SIN 72L5SP1
Razem
Strona 22 z 32
6 796,09 zł
6. Zespół Szkolno-Przedszkolny w Borzęciczkach
1
2
3
4
5
6
7
Radiomagnetofon Sony
Radiomagnetofon Sony
DVD Panasonic
Aparat telefoniczny Panasonic
Laptop Asus 16,6 A53E-EX 1049 V
Kserokopiarka Ricoh Afrcio MP 2500
Samsung CLP-365
2009
2009
2009
2010
2011
2012
2012
RAZEM
290,00 zł
300,00 zł
200,00 zł
139,00 zł
1 920,00 zł
2 800,00 zł
500,00 zł
6 149,00 zł
7. Szkoła Podstawowa w Mokronosie - Oddział Przedszkolny we Wrotkowie
1
DVD NORDMENDE N06D
2008
RAZEM
99,00 zł
99,00 zł
8. Szkoła Podstawowa w Mokronosie
1
Drukarka HP Laser Jet 3052
2007
1 355,00 zł
2
Laptop - Lenro IdeaPad Y 530
2007
2 854,80 zł
2010
739,00 zł
2010
4 135,82 zł
3
4
Aparat Fotograficzny FUJI FINEPIX S1700 ( + karta
pamięci, pokrowiec, ładowarka)
Sprzęt nagłaśniający ( 2 kolumny, 2 statywy, mikrofony,
mikser i okablowanie)
5
Notebook Toshiba z Win 7 HP
2012
3 000,00 zł
6
Komputer ASUS K75VJ-T2149H
2012
2 600,00 zł
RAZEM
14 684,62 zł
9. Publiczne Przedszkole
1
2
3
4
Laptop
Radioodtwarzacz
Laptop
laptop Lenovo
2010
2009
2011
2013
2 980,00 zł
114,00 zł
2 690,00 zł
1 782,00 zł
7 566,00 zł
2009
2009
2011
1 000,00 zł
2 199,00 zł
2 300,00 zł
RAZEM
10. Szkoła Podstawowa nr 1
1
2
3
Notebook
Notebook Samsung (gabinet dyrektora)
Notebook PC HP
RAZEM
5 499,00 zł
11. Szkoła Podstawowa Borzęcice
1
2
3
4
5
6
7
8
Aparat fotograficzny CANON
Laptop DELL
wzmacniacz + mikrofon (SEKAKU)
mikrofon bezprzewodowy (komplet 2 szt.)
rzutnik multimedialny EPSON EB-X11
ekran TRIPOD BLK 1:1 84MW
stojak KM-DF 136
notebook
2010
2009
2010
2010
2012
2012
2012
2013
RAZEM
730,00 zł
2 859,00 zł
1 037,00 zł
500,20 zł
2 049,00 zł
606,10 zł
195,00 zł
1 400,00 zł
9 376,30 zł
12. Gminny Ośrodek Sportu
1
2
3
4
5
6
LAPTOP TOSCHIBA
LAPTOP IDEAPAD 4550-6600
APARAT FOTOGRAFICZNY CANON
TABLET SAMSUNG GALAXY TAB 2
DYKTAFON
PENDRAIV KINGSTON 2 SZT.
RAZEM
Strona 23 z 32
2009
2009
2010
2013
2010
2010
3 175,00 zł
3 405,00 zł
850,00 zł
1900,01
139,00 zł
54,00 zł
9 523,01 zł
Strona 24 z 32
Wykaz monitoringu wizyjnego
Lp.
Nazwa
Rok produkcji
Wartość księgowa
brutto
1. Urząd Miasta i Gminy
1
Monitoring wizyjny zewnętrzny
2009
317 240,81 zł
2
Monitoring wizyjny zewnętrzny
2012
39 500,00 zł
RAZEM
356 740,81 zł
3. Szkoła Podstawowa nr 3 im. Kornela Makuszyńskiego
1
monitoring wizyjny
2012
RAZEM
6 001,17 zł
6 001,17 zł
10. Szkoła Podstawowa nr 1
1
Cyfrowy system wizyjny - wewnątrz i na zewnątrz budynku
RAZEM
Razem sprzęt stacjonarny
Razem sprzęt przenośny
Razem monitoring wizyjny
Strona 25 z 32
2008
11 947,36 zł
11 947,36 zł
215 871,47 zł
85 443,02 zł
374 689,34 zł
Tabela nr 4 - Wykaz pojazdów w Mieście i Gminie Koźmin Wielkopolski
Dane pojazdów
Lp.
Marka
Typ, model
Nr podw./ nadw.
Nr rej.
Rodzaj
(osobowy/
ciężarowy/
specjalny)
Wyposażenie pojazdu
specjalnego
Poj.
rodzaj
Rok prod.
Data I
rejestracji
wartość
Data
ważności
Ilość miejsc
badań
technicznyc
h
Ładowność
Lp.
Czy
pojazd
Dopuszcza
służy do
lna masa
nauki
całkowita
jazdy?
(TAK/NIE)
Przebieg
Zabezpiecz
Suma
enia
ubezpieczenia
przeciwkra
(wartość
dzieżowe pojazdu brutto)
Wyposażenie
dodatkowe
Okres ubezpieczenia OC i NW
rodzaj
wartość
Od
Do
Okres ubezpieczenia AC i KR
Od
Do
Zielona
Karta
(kraj)
1. Urząd Miasta i Gminy
1
Volkswagen OSP
Kaniew
LT 31
28A0029874
PKR KV35
Samochód
specjalny –
pożarniczy
-
1960
1980
1.01.1980
Do
15.09.2014
6
---
1
3360
nie
22497
-
-
-
22.12.2014
22.12.2015
22.12.2016
21.12.2015
21.12.2016
21.12.2017
2
Żuk OSP Orla
A15B
349634
PKR 29GF
Samochód
specjalny –
pożarniczy
-
2120
1981
15.04.1981
Do
25.05.2014
5
---
2
2500
nie
62420
-
-
-
01.01.2014
01.01.2015
01.01.2016
31.12.2014
31.12.2015
31.12.2016
-
-
brak
3
Żuk OSP
Mokronos
A156B
440906
PKR FG08
Samochód
specjalny –
pożarniczy
-
2120
1986
10.04.1986
Do
12.07.2014
4
900
3
2550
nie
3789
-
-
-
01.01.2014
01.01.2015
01.01.2016
31.12.2014
31.12.2015
31.12.2016
-
-
brak
4
Jelcz/Star OSP
Borzęciczki
244
8655
PKR 63YV
Samochód
specjalny –
pożarniczy
-
6842
1983
30.11.1983
Do
06.06.2014
6
3500
4
10580
nie
19876
-
-
-
01.01.2014
01.01.2015
01.01.2016
31.12.2014
31.12.2015
31.12.2016
-
-
brak
5
Star OSP Czarny
Sad
200
60058
PKR U351
Samochód
specjalny –
pożarniczy
-
6842
1987
9.10.1987
Do
15.10.2014
4
6000
5
10800
nie
15117
-
-
-
01.01.2014
01.01.2015
01.01.2016
31.12.2014
31.12.2015
31.12.2016
-
-
brak
6
JELCZ OSP
Koźmin Wlkp.
010
SUJ010021V0000200
PKR R998
Samochód
specjalny –
pożarniczy
ŚFUP
jednozakre
sowa
3200l/min
11000
1997
22.10.1997
Do
24.10.2013
4
5575
6
16550
nie
23049
-
-
-
01.01.2014
01.01.2015
01.01.2016
31.12.2014
31.12.2015
31.12.2016
-
-
brak
7
Żuk OSP
Staniew
A06
445249
PKR 39GF
Samochód
ciężarowy –
uniwersalny
-
2120
1986
14.05.1986
Do02.05.201
4
9
900
7
2500
nie
32247
-
-
-
05.01.2014
05.01.2015
05.01.2016
04.01.2015
04.01.2016
04.01.2017
-
-
brak
8
Jelcz/Star OSP
Wałków
005
8632
PKR 23LY
Samochód
specjalny –
pożarniczy
-
6842
1983
2.01.1984
Do
26.02.2014
6
---
8
10580
nie
22520
-
-
-
06.01.2014
06.01.2015
06.01.2017
05.01.2015
05.01.2016
05.01.2017
-
-
brak
9
Star OSP
Koźmin Wlkp.
L70/LE
WMAZ70ZZ457Y144074
PKR 98GT
Samochód
specjalny –
pożarniczy
autopompa
EURO
20/10
4580
2004
9.03.2005
Do
05.03.2014
6
---
9
12000
nie
10783
-
-
-
18.01.2014
18.01.2015
18.01.2016
17.01.2015
17.01.2016
17.01.2017
-
-
brak
10
Volkswagen OSP
Gościejew
LT31
2872521183
PKR HP98
Samochód
specjalny –
pożarniczy
-
1960
1977
11.08.1977
Do
08.04.2014
6
1310
10
3220
nie
35889
-
-
-
23.02.2014
23.02.2015
23.02.2016
22.02.2015
22.02.2016
22.02.2017
-
-
brak
Transporter 1,9
TD
WV2ZZZ70ZVH006013
PKR EN07
Samochód
osobowy
-
1896
1996
20.12.1996
Do
22.05.2014
9
---
11
2625
nie
319097
-
-
-
25.05.2014
25.05.2015
25.05.2016
24.05.2015
24.05.2016
24.05.2017
-
-
brak
11 Volkswagen GOS
brak
12
Star OSP
Koźmin Wlkp.
200
67.669
PKR 98HX
Samochód
specjalny –
pożarniczy
-
6842
1988
06.011989
Do
19.08.2014
2
-
12
9500
nie
27930
-
-
-
19.09.2014
19.09.2015
19.09.2016
18.09.2015
19.09.2016
19.09.2017
-
-
brak
13
Volkswagen
Caravelle
WV2ZZZ7073H122394
PKR LY50
Samochód
osobowy
-
2461
2003
10.07.2003
Do
16.10.2013
9
---
13
2700
nie
230480
-
-
-
16.11.2014
16.11.2015
16.11.2016
15.11.2015
15.11.2016
15.11.2017
-
-
brak
14
Ford OSP
Koźmin Wlkp.
Transit
WFONXXTTFN7J54477
PKR 98SV
Samochód
specjalny –
pożarniczy
wysokociśn
ieniowy
agregat
gaśniczy
2402
2007
19.12.2007
Do
17.08.2014
6
1260
14
3498
nie
18424
-
-
-
19.12.2014
19.12.2015
19.12.2016
18.12.2015
18.12.2016
18.12.2017
-
-
brak
15
Volkswagen
PCK/OSP
Transporter 2,5
TDI
WV2ZZZ70ZVH088479
PKR PX07
Samochód
specjalny –
sanitarny
-
2461
1997
29.04.1997
Do
03.10.2014
4
500
15
2730
nie
325376
-
-
-
20.09.2014
20.09.2015
20.09.2016
19.09.2015
19.09.2016
19.09.2017
-
-
brak
PKR 08TF
OSOBOWY
1360
2007
28.12.2007
27.12.2013
5
583
1
1780kg
nie
69 300
IMMOBILIZ
ER
28.12.2014
28.12.2015
28.12.2016
27.12.2015
27.12.2016
27.12.2017
28.12.2014
28.12.2015
28.12.2016
27.12.2015
27.12.2016
27.12.2017
brak
2. Miejsko - Gminny Ośrodek Pomocy Społecznej
1
Citroen
Berlingo
VF7GJKFWC93498335
15 100,00 zł
Tabela nr 5 - Szkodowość w Mieście i Gminie Koźmin Wielkopolski
Informacje o szkodach od 01.01.2011-16.10.2013
Dta powstania
szkody
Ryzyko
krótki opis szkody
jednostka
suma wyplaconego
odszkodowania
ROK 2011
05.02
Szyby
wybicie szyby przez nieznanych
sprawców
Urząd Miasta i Gminy
353,01 zł
18.02
OC ogólne
zalanie lokalu mieszkalnego wskutek
awarii wodociągowej
Urząd Miasta i Gminy
802,37 zł
28.02
Elektronika
uszkodzenie zasilaczy do komputerów
wskutek zmian w natężeniu sieci
instalacji elektrycznej
Szkoła Podstawowa nr 1 w
Koźminie Wielkopolskim
348,51 zł
02.05
OC ogólne
uszkodzenie pojazdu podczas koszenia
skarpy drogi
Urząd Miasta i Gminy
187,21 zł
02.05
OC dróg
uszkodzenie pojazdu podczas koszenia
skarpy drogi
Urząd Miasta i Gminy
43,06 zł
02.05
NNW
częściowy uszczerbek
Gminny Ośrodek Sportu
200,00 zł
20.05
Mienie od ognia i
innych zdarzeń
30.06
Mienie od ognia i
innych zdarzeń
02.08
Mienie od ognia i
innych zdarzeń
25.08
AC
19.09
dewastacja
10.11
Mienie od ognia i
innych zdarzeń
Uszkodzenie pokrycia dachu i
zamoknięcie ścian frontowych szkoły w Szkoła Podstawowa nr 1 w
Koźminie Wielkopolskim
wyniku gwałtownych opadów deszczu
oraz silnego wiatru
zalanie pomieszczeń szkoły - sala
lekcyjna, korytarz, szatnia w następstwie
Szkoła Podstawowa nr 1 w
uszkodzenia dachu szkoły podczas
Koźminie Wielkopolskim
gwałtownej opadów deszczu i silnego
wiatru
Zalanie lokalu użytkowego (sklep
spożywczo-przemysłowy) w świetlicy
wiejskiej wskutek uszkodzenia wężyka
doprowadzającego wodę do
przepływowego podgrzewacza wody
2 850,00 zł
2 434,13 zł
Urząd Miasta i Gminy
777,28 zł
uszkodzone szyby, nr rej. PKR08TF
Citroen Berlingo
Miejsko - Gminny Ośrodek
Pomocy Społecznej
677,94 zł
zniszczenie słupków i połamanie desek
ogrodzenia szkolnego przez nieznanych
sprawców
Gimnazjum im.
Zjednoczonej Europy
277,26 zł
Szkoła Podstawowa nr 1 w
Koźminie Wielkopolskim
2 465,71 zł
Zalanie pomieszczenia, w którym
znajdowały się pamiątki związane z
historią szkoły wskutek uszkodzenia
(pęknięcia) zbiornika wyrównawczego
c.o.
RAZEM:
11 416,48 zł
ROK 2012
24.02
Mienie od ognia i
innych zdarzeń
zamoknięcie ścian sali gimnastycznej
Szkoła Podstawowa nr 1 w
wskutek topniejącego śniegu oraz silnych
Koźminie Wielkopolskim
wiatrów
03.07
Mienie od ognia i
innych zdarzeń
Spalenie części budynku mieszkalnego
łącznie z dachem wskutek pożaru,
dopłata za spalenie części budynku,
koszty sądowe
Urząd Miasta i Gminy
17.08
OC dróg
uszkodzenie pojazdu na drodze
Urząd Miasta i Gminy
04.12
uszkodzenie pojazdu przez pojazd nr rej:
OC komunikacyjne
PKR63YV
Urząd Miasta i Gminypojazd OSP
RAZEM:
1 389,46 zł
90 574,64 zł
2 450,00 zł
4 611,19 zł
2 249,90 zł
960,00 zł
102 235,19 zł
ROK 2013
08.06
16.06
Mienie od ognia i
innych zdarzeń
NNW OSP
zniszczenie opłotowania(słupki, paneli,
podmurówki)
uraz ciała strażaka
RAZEM:
Rok 2011
11 416,48 zł
Rok 2012
102 235,19 zł
Rok 2013
1 799,41 zł
Gimnazjum im.
Zjednoczonej Europy
Urząd Miasta i Gminy
1 299,41 zł
500,00 zł
1 799,41 zł
Tabela nr 6
INFORMACJA O MAJĄTKU TRWAŁYM
Lp.
1
2
3
4
5
6
7
8
9
10
11
12
Jednostka
Urządzenia i
wyposażenie
W tym zbiory
bibioteczne
Urząd Miasta i Gminy
266 776,97 zł
Miejsko - Gminny Ośrodek Pomocy Społecznej
67 444,38 zł
Szkoła Podstawowa nr 3 im. Kornela
Makuszyńskiego
176 502,00 zł
Szkoła Podstawowa w Starej Obrze
89 204,81 zł
5 393,35 zł
Gimnazjum im. Zjednoczonej Europy
38 717,02 zł
38 717,02 zł
Zespół Szkolno-Przedszkolny w Borzęciczkach
187 189,77 zł
Szkoła Podstawowa w Mokronosie - Oddział
Przedszkolny we Wrotkowie
0,00 zł
w tym parkometry
0,00 zł
Szkoła Podstawowa w Mokronosie
86 089,30 zł
Publiczne Przedszkole
87 071,47 zł
Szkoła Podstawowa nr 1
173 432,29 zł
16 262,87 zł
Szkoła Podstawowa Borzęcice
71 241,13 zł
5 313,31 zł
Gminny Ośrodek Sportu
Razem
319,00 zł
1 243 988,14 zł
65 686,55 zł
Tabela nr 7 - Wykaz maszyn i urządzeń do ubezpieczenia od uszkodzeń (od wszystkich ryzyk)
L.p.
Nazwa maszyny (urządzenia)
Rok produkcji
Producent
Czy maszyna
(urządzenie) jest
Suma ubezpieczenia
eksploatowana pod
ziemią? (TAK/NIE)
Miejsce ubezpieczenia (adres)
2. Publiczne Przedszkole
1
Kocioł KW GR220
1999
Tigner
9 800,00 zł
nie
Zamkowa
2
Kocioł KW
2002
Tigner
8 540,00 zł
nie
Zamkowa
3
kocioł uks 15
2009
Tigner
2 100,00 zł
nie
4
kocioł warzelny
2013
Kromet Krosno
RAZEM
10 207,77 zł
30 647,77 zł
Tabela nr 8
WYKAZ LOKALIZACJI, W KTÓRYCH PROWADZONA JEST DZIAŁALNOŚĆ ORAZ
LOKALIZACJI, GDZIE ZNAJDUJE SIĘ MIENIE NALEŻĄCE DO JEDNOSTEK MIASTA I GMINY
KOŹMIN WIELKOPOLSKI (nie wykazane w załączniku nr 1 - poniższy wykaz nie musi być
pełnym wykazem lokalizacji)
Lp.
Lokalizacja (adres)
Zabezpieczenia (znane zabezpieczenia p-poż
i przeciw kradzieżowe)
2. Miejsko - Gminny Ośrodek Pomocy Społecznej
1
Koźmin Wlkp., ul. Krotoszyńska 16
gaśnice proszkowe 3 szt., kraty na oknach,
alarm,
2
Klub Seniora Koźmin Wlkp. ul. Stęszewskiego 2
gaśnice proszkowe 2 szt.,hydrant
3
9. Publiczne Przedszkole
Przedszkole "Parkowe Skrzaty" (ul. Zamkowa 2a, 63-720 Koźmin
1
Wlkp.)
2
kraty na parterze (kancelaria), gaśnice
proszkowe - 8 szt, sygnalizacja dźwiekowa kotłownia (czujnik CO2), dozór agencji
ochrony
Przedszkole "Parkowe Skrzaty" (ul. Borecka 20, 63-720 Koźmin
Wlkp.)
12. Gminny Ośrodek Sportu
1 UL. FLORIAŃSKA 21, 63-720 KOŹMIN WLKP.
gaśnice proszkowe - 2 szt
Tabela nr 9
Ochotnicza Straż Pożarna
56 członków
Lista zostanie przedłożona w momencie wystawniania polis
Lp.
1
2
3
4
5
6
7
8
9
10
11
12
13
14
15
16
17
18
19
20
21
22
23
24
25
26
27
28
29
30
31
32
33
34
35
36
37
38
39
40
41
42
43
44
45
46
47
48
49
50
51
52
53
54
55
imię i nazwisko
data urodzenia
pesel
jednostka OSP
56