ćwiczenie 1/2 badanie zdolności utleniania siarki

Transkrypt

ćwiczenie 1/2 badanie zdolności utleniania siarki
Biotechnologia ogólna kierunku biologia, inżynieria środowiska od 2014/2015
ĆWICZENIE 1,2 BADANIE ZDOLNOŚĆI UTLENIANIA SIARKI PRZEZ BAKTERIE ACIDITHIOBACILLUS THIOOXIDANS
Występowanie siarki
Biogeochemiczny cykl siarki jest bardzo złożony ze względu na możliwość występowania siarki na kilku stopniach utlenienia od -2
do +6. Na Ziemi najbardziej rozpowszechnioną postacią występowania siarki są siarczany (+6) oraz siarczki (-2).
Około 90% siarki występującej na Ziemi jest skupione w skałach osadowych, konkrecjach na dnie oceanów i wodzie morskiej jako
siarczany. Z niewielkiej ilości siarki, jaka znajduje się w atmosferze w postaci SO 2, większa część pochodzi z działalności człowieka.
W litosferze siarka występuje głównie w postaci pokładów gipsu, pirytu oraz związków organicznych pochodzenia biogenicznego.
Do celów górniczej eksploatacji w skorupie ziemskiej można wyróżnić cztery źródła siarki:
- pokłady siarki rodzimej
- siarka znajdująca się w naturalnych paliwach (ropa, węgiel)
- pokłady pirytu FeS2
- pokłady lawy wulkanicznej
Do najważniejszych minerałów zawierających siarkę można zaliczyć: gips (CaSO4∙H2O), anhydryt (CaSO4), epsonit (MgSO4∙7H2O),
baryt (BaSO4), sfaleryt (ZnS), chalkopiryt (CuFeS2) oraz piryt lub markazyt (FeS2).
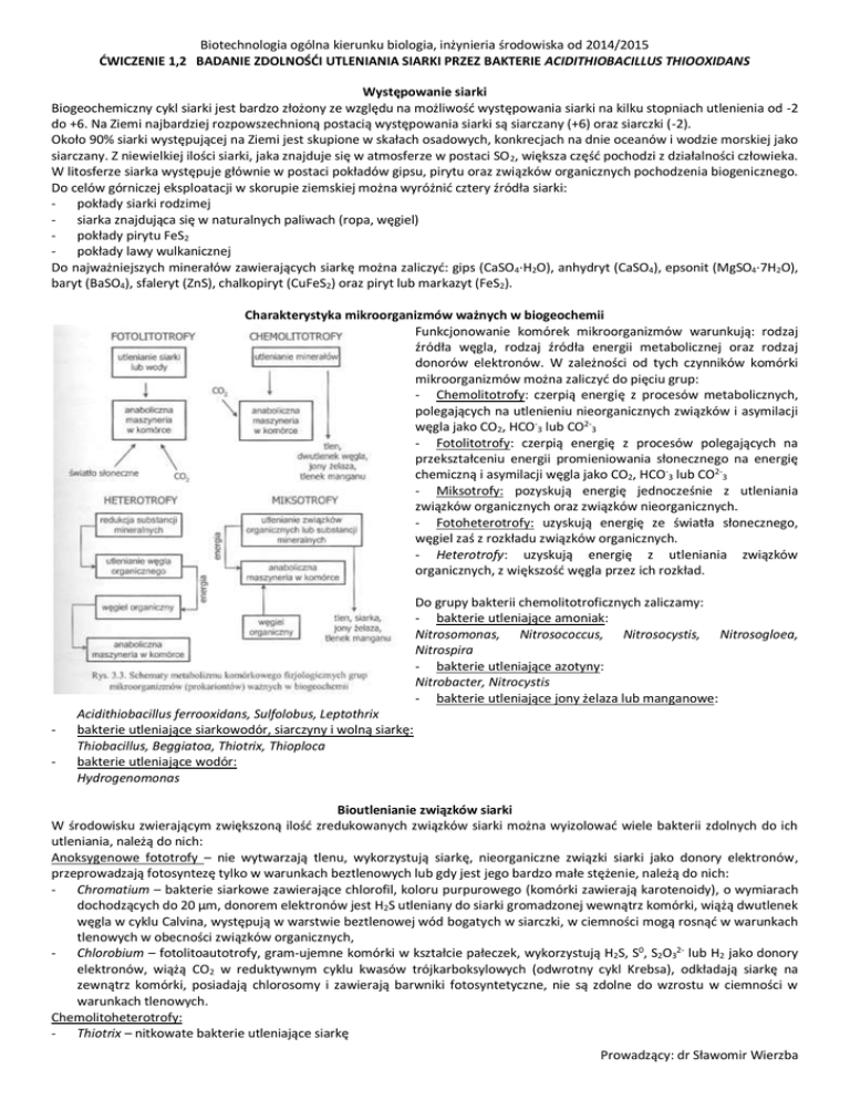
Charakterystyka mikroorganizmów ważnych w biogeochemii
Funkcjonowanie komórek mikroorganizmów warunkują: rodzaj
źródła węgla, rodzaj źródła energii metabolicznej oraz rodzaj
donorów elektronów. W zależności od tych czynników komórki
mikroorganizmów można zaliczyć do pięciu grup:
- Chemolitotrofy: czerpią energię z procesów metabolicznych,
polegających na utlenieniu nieorganicznych związków i asymilacji
węgla jako CO2, HCO-3 lub CO2-3
- Fotolitotrofy: czerpią energię z procesów polegających na
przekształceniu energii promieniowania słonecznego na energię
chemiczną i asymilacji węgla jako CO2, HCO-3 lub CO2-3
- Miksotrofy: pozyskują energię jednocześnie z utleniania
związków organicznych oraz związków nieorganicznych.
- Fotoheterotrofy: uzyskują energię ze światła słonecznego,
węgiel zaś z rozkładu związków organicznych.
- Heterotrofy: uzyskują energię z utleniania związków
organicznych, z większość węgla przez ich rozkład.
Do grupy bakterii chemolitotroficznych zaliczamy:
- bakterie utleniające amoniak:
Nitrosomonas, Nitrosococcus, Nitrosocystis, Nitrosogloea,
Nitrospira
- bakterie utleniające azotyny:
Nitrobacter, Nitrocystis
- bakterie utleniające jony żelaza lub manganowe:
-
Acidithiobacillus ferrooxidans, Sulfolobus, Leptothrix
bakterie utleniające siarkowodór, siarczyny i wolną siarkę:
Thiobacillus, Beggiatoa, Thiotrix, Thioploca
bakterie utleniające wodór:
Hydrogenomonas
Bioutlenianie związków siarki
W środowisku zwierającym zwiększoną ilość zredukowanych związków siarki można wyizolować wiele bakterii zdolnych do ich
utleniania, należą do nich:
Anoksygenowe fototrofy – nie wytwarzają tlenu, wykorzystują siarkę, nieorganiczne związki siarki jako donory elektronów,
przeprowadzają fotosyntezę tylko w warunkach beztlenowych lub gdy jest jego bardzo małe stężenie, należą do nich:
- Chromatium – bakterie siarkowe zawierające chlorofil, koloru purpurowego (komórki zawierają karotenoidy), o wymiarach
dochodzących do 20 µm, donorem elektronów jest H2S utleniany do siarki gromadzonej wewnątrz komórki, wiążą dwutlenek
węgla w cyklu Calvina, występują w warstwie beztlenowej wód bogatych w siarczki, w ciemności mogą rosnąć w warunkach
tlenowych w obecności związków organicznych,
- Chlorobium – fotolitoautotrofy, gram-ujemne komórki w kształcie pałeczek, wykorzystują H2S, S0, S2O32- lub H2 jako donory
elektronów, wiążą CO2 w reduktywnym cyklu kwasów trójkarboksylowych (odwrotny cykl Krebsa), odkładają siarkę na
zewnątrz komórki, posiadają chlorosomy i zawierają barwniki fotosyntetyczne, nie są zdolne do wzrostu w ciemności w
warunkach tlenowych.
Chemolitoheterotrofy:
- Thiotrix – nitkowate bakterie utleniające siarkę
Prowadzący: dr Sławomir Wierzba
Biotechnologia ogólna kierunku biologia, inżynieria środowiska od 2014/2015
ĆWICZENIE 1,2 BADANIE ZDOLNOŚĆI UTLENIANIA SIARKI PRZEZ BAKTERIE ACIDITHIOBACILLUS THIOOXIDANS
- Beggiatoa – komórki o kształcie nitek, zawierają ziarna elementarnej siarki,
- Thioploca – nitkowate bakterie utleniające siarczki
Obligatoryjne chemolitoautotrofy:
Th. denitrificans – korzysta z NO3- jako akceptora elektronów, powodując redukcje azotu azotu(V) do gazowego azotu zgodnie z
równaniem reakcji:
2NO3- + S = 4H+ = SO42- + N2 + 2H2O
Th. thioparus – wykorzystuje triocyjaniny do wzrostu zgodnie z równaniem reakcji:
SCN- + O2 + H2O = SO4- + NH4+ + CO2
At. thiooxidans - gram-ujemne, wyodrębnione przez Waksmana i Joffa w 1922r. Kształt pałeczek o rozmiarach 0,5-0,8 m x 1-2
m z jedną polarną spiralną rzęską. Są typowymi chemoautotrofami. Źródłem energii, potrzebnej w procesie wiązania i redukcji
CO2, jest dla At. thiooxidans głównie proces utleniania siarki do kwasu siarkowego:
2 S° + 3 O2 + 2 H2O →2 H2SO4
Schemat utleniania siarki, siarczków i tiosiarczanów przez At. thiooxidans można przedstawić następująco:
Rozwój bakterii At. thiooxidans przebiega w pożywce o pH = 1,5-4,8, przy optymalnym pH = 2,5. Nie giną nawet w 2N roztworze
H2SO4. Giną natychmiast, jeżeli wilgotność środowiska spada poniżej 2,8%. Są organizmami silnie aerobowymi.
Mechanizm utleniania siarki przez bakterie At. thiooxidans
Proces ten jest stosunkowo mało poznany. Bierze w nim udział układ cytochromowy, a uwalniana energia jest magazynowana w
ATP. Powszechnie uważa się, że utlenianie siarki zachodzi w bezpośrednim kontakcie komórki bakterii z materiałem. Przez dłuższy
czas nie był wyjaśniony fakt, czy proces zachodzi wewnątrz komórki, czy poza nią. Wiadomo, że aby organizm wykorzystał energię
reakcji egzotermicznej, musi ona zachodzić wewnątrzkomórkowo, zaś siarka jest nierozpuszczalna w wodzie i egzoenzym nie może
jej rozpuścić.
Wg Piwowarskiej komórka At. thiooxidans otoczona jest trójwarstwową błoną, przez którą siarka może przenikać. W komórce
stwierdzono obecność ziarenek lipidowych, zlokalizowanych bezpośrednio przy błonie cytoplazmatycznej. Bakteria przylega ściśle
do drobiny siarki, która styka się bezpośrednio z ziarnem lipidowym cytoplazmy. Siarka jest rozpuszczalna w tłuszczach, wnika więc
do ziarna lipidowego, po czym utlenianie siarki następuje już wewnątrz komórki.
Skala pH roztworów
Skala pH – ilościowa skala kwasowości i zasadowości roztworów wodnych związków chemicznych (jednostka bezwymiarowa).
Skala ta jest oparta na aktywności jonów hydroniowych [H3O+] w roztworach wodnych. Tradycyjnie pH definiuje się jako:
pH = – log10[H3O+]
czyli ujemny logarytm dziesiętny aktywności jonów hydroniowych wyrażonych w molach na decymetr sześcienny. Współcześnie
jednak nie jest to ścisła definicja tej wielkości.
Oryginalnie pH zostało zdefiniowane jako ujemny logarytm stężenia jonów wodorowych (H+). Współczesne badania wykazały
jednak, że wolne jony wodorowe (wolny proton) nigdy nie występują w roztworach wodnych, gdyż ulegają
natychmiast solwatowaniu według równania:
H+ + H2O → H3O+
W wielu podręcznikach jednak, dla uproszczenia, pomija się ten fakt i nadal podaje się starą definicję skali pH.
W czystej chemicznie wodzie jej cząsteczki (H2O) ulegają samorzutnej autodysocjacji, co prowadzi do powstawania jonów H3O+ i
OH−:
2H2O ⇌ H3O+ + OH−
Reakcja ta jest odwracalna i ma równowagę przesuniętą silnie w lewo, czyli w stronę wody niezdysocjowanej. Stężenie jonów
H3O+ w czystej wodzie w temp. 25 °C wynosi 10−7 mol/, a jej pH = – log(10−7) = 7. Ponieważ w czystej wodzie stężenie jonów
wodorowych i wodorotlenowych jest takie samo, woda (czysta) ma odczyn obojętny (pH wynosi 7). W roztworach o pH < 7 stężenie
Prowadzący: dr Sławomir Wierzba
Biotechnologia ogólna kierunku biologia, inżynieria środowiska od 2014/2015
ĆWICZENIE 1,2 BADANIE ZDOLNOŚĆI UTLENIANIA SIARKI PRZEZ BAKTERIE ACIDITHIOBACILLUS THIOOXIDANS
jonów wodorowych jest większe niż wodorotlenowych i roztwory takie mają odczyn kwasowy, natomiast w roztworach o pH > 7
większe jest stężenie jonów wodorotlenowych, więc roztwory takie mają odczyn zasadowy.
Rozpuszczenie w wodzie silnego kwasu (np. HCl) prowadzi do jego dysocjacji:
HCl + H2O ⇌ H3O+ + Cl−
Dla tak silnego kwasu jak HCl równowaga tej reakcji jest niemal całkowicie przesunięta w stronę prawą (a więc w stronę jonów
H3O+ i Cl−) dlatego po dodaniu do wody takiej ilości HCl, aby w jednym litrze uzyskanego w ten sposób roztworu znajdował się
1 mol HCl otrzymuje się stężenie jonów H3O+ równe 1 mol/l, co daje pH = 0.
Z drugiej strony w roztworze, w którym znajduje się 1 mol NaOH w jednym litrze występuje stężenie jonów OH − równe 1 mol/l.
Jony OH− przesuwają silnie równowagę reakcji dysocjacji wody powodując, że stężenie jonów H 3O+ spada do poziomu 10−14 mol/l,
a zatem do pH = 14. Wynika to stąd, iż stały musi pozostać iloczyn jonowy wody, czyli iloczyn stężeń jonów H3O+ i OH−, równy
10−14 (w 25 °C).
Wykonanie ćwiczenia
1. Hodowla bakterii At. thiooxidans.
Hodowlę prowadzi się w pożywce Waksmana o składzie:
(NH4)2SO4
- 0,2 g/dm3
KH2PO4
- 3,0 g/dm3
MgSO4 x 7H2O - 0,5 g/dm3
CaCl2 x 6H2O
- 0,25 g/dm3
0
S
- 10 g/dm3
Pożywkę (bez siarki) sterylizuje się w autoklawie w temp. 120ºC przez 20 min.
Siarkę sterylizuje się alkoholem etylowym.
2. Wykonanie doświadczenia
2.2. Sporządzić określoną przez prowadzącego ilość pożywki Waksmana bez dodatku siarki, w kolbie stożkowej o objętości 250300 cm3.
2.3. Do dwóch sterylnych kolb o pojemności 100 cm³ wlać po około 50 cm³ jałowej pożywki Waksmana (otrzymanej od
prowadzącego) i dodać po około 0,5 g wysterylizowanej siarki do każdej z kolb.
(używać cylindrów miarowych !!!).
2.4. Do jednej kolby wprowadzić 1 cm³ zawiesiny, aktywnej hodowli bakterii At. thiooxidans (dostarczonej przez prowadzącego).
Do drugiej kolby, zamiast zawiesiny bakterii, dodać niewielką ilość sproszkowanego tymolu
(do pobierania bakterii używać sterylnych pipet szklanych, lub pipet jednorazowych !!).
2.5. Tak przygotowane układy badawcze zatkać korkami z waty lub ligniny (które należy wykonać).
Opisać kolby wg wzoru:
HODOWLA: imię i nazwisko; nr grupy, kierunek i rok studiów; data nastawienia hodowli; rodzaj użytych bakterii.
KONTROLA: imię i nazwisko; numer grupy, kierunek i rok studiów; data nastawienia hodowli.
2.6. Zmierzyć wartość pH w obydwu kolbach. Pomiar powtórzyć po około 15 minutach.
Jeżeli zachodzi taka konieczność należy przed pomiarem wykalibrować pH-metr w roztworze buforowym dostarczonym przez
prowadzącego.
2.7. Po wykonaniu pomiarów, opisane kolby odstawić na miejsce wskazane przez prowadzącego.
2.8. Pomiary powtórzyć po tygodniu. Po zakończeniu ćwiczenia należy umyć używane szkło laboratoryjne.
2.9. Wyniki muszą być podpisane przez prowadzącego. Dopiero po ich zaakceptowaniu można wylać zawartość kolb i umyć je.
2.10. Opracowanie wyników (zeszyt laboratoryjny):
Wykreślić zmianę kwasowości (pH) hodowli i układu kontrolnego, metodą słupkową.
Ze zmiany kwasowości układów obliczyć ilość wytworzonego kwasu siarkowego i ilość siarki, która uległa utlenieniu oraz
zmianę zawartości jonów wodorowych w roztworze w czasie trwania badania.
3.
-
Literatura:
Chmiel A., Biotechnologia. Podstawy mikrobiologiczne i biochemiczne; Wyd. PWN, Warszawa; 1998
Russel S.; Biotechnologia; Wyd. PWN; Warszawa; 1990
Kowal K., Libudzisz Z.; Mikrobiologia techniczna, Wyd. Politechniki Łódzkiej; 2000
Ostrowski M., Sokołowska A., Małe bakterie wielka miedź – czytelnia (B.W. ul. Oleska).
Sadowski Z., Biogeochemia – wybrane zagadnienia, Oficyna Wydawnicza Politechniki Wrocławskiej, Wrocław 2005.
Prowadzący: dr Sławomir Wierzba