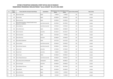
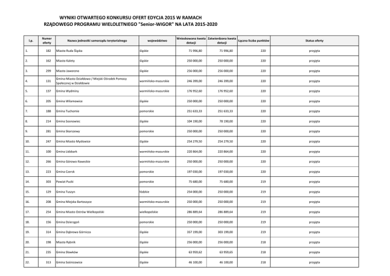
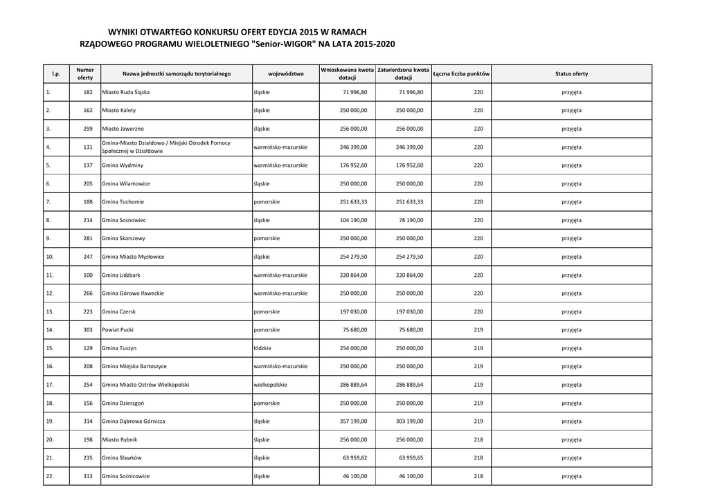
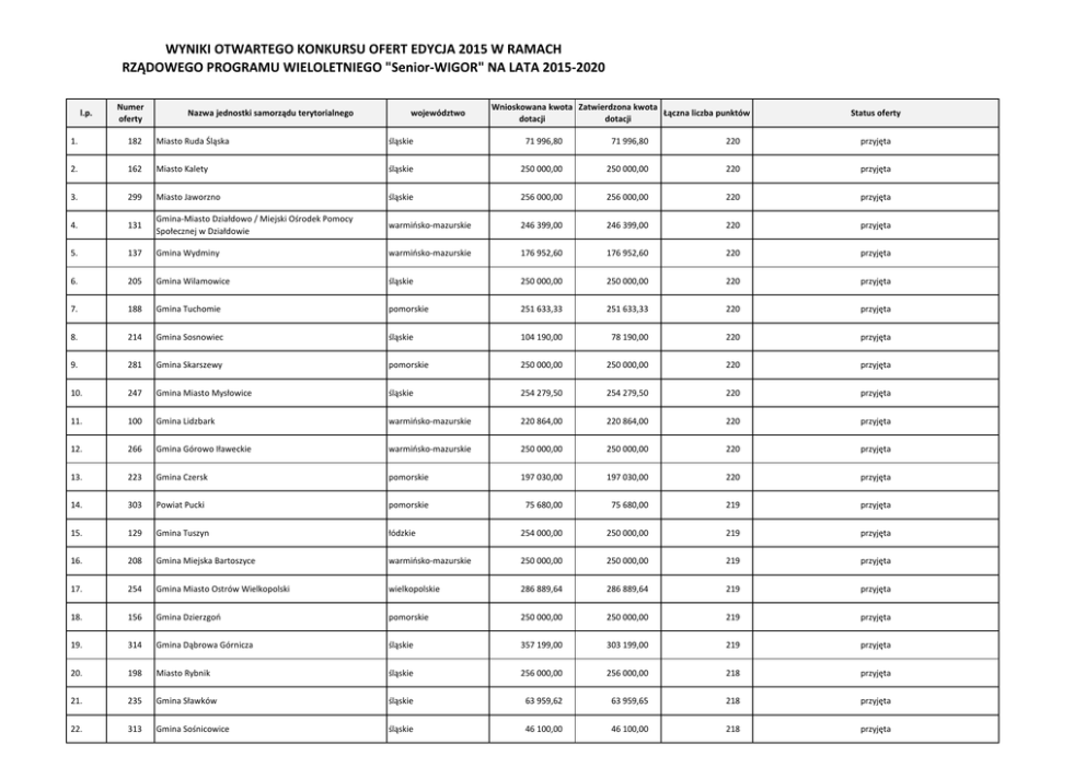
WYNIKI OTWARTEGO KONKURSU OFERT EDYCJA 2015 W

Transkrypt

WYNIKI OTWARTEGO KONKURSU OFERT EDYCJA 2015 W
WYNIKI OTWARTEGO KONKURSU OFERT EDYCJA 2015 W RAMACH
RZĄDOWEGO PROGRAMU WIELOLETNIEGO "Senior-WIGOR" NA LATA 2015-2020
l.p.
Numer
oferty
Nazwa jednostki samorządu terytorialnego
województwo
Wnioskowana kwota Zatwierdzona kwota
Łączna liczba punktów
dotacji
dotacji
Status oferty
1.
182
Miasto Ruda Śląska
śląskie
71 996,80
71 996,80
220
przyjęta
2.
162
Miasto Kalety
śląskie
250 000,00
250 000,00
220
przyjęta
3.
299
Miasto Jaworzno
śląskie
256 000,00
256 000,00
220
przyjęta
4.
131
Gmina-Miasto Działdowo / Miejski Ośrodek Pomocy
Społecznej w Działdowie
warmińsko-mazurskie
246 399,00
246 399,00
220
przyjęta
5.
137
Gmina Wydminy
warmińsko-mazurskie
176 952,60
176 952,60
220
przyjęta
6.
205
Gmina Wilamowice
śląskie
250 000,00
250 000,00
220
przyjęta
7.
188
Gmina Tuchomie
pomorskie
251 633,33
251 633,33
220
przyjęta
8.
214
Gmina Sosnowiec
śląskie
104 190,00
78 190,00
220
przyjęta
9.
281
Gmina Skarszewy
pomorskie
250 000,00
250 000,00
220
przyjęta
10.
247
Gmina Miasto Mysłowice
śląskie
254 279,50
254 279,50
220
przyjęta
11.
100
Gmina Lidzbark
warmińsko-mazurskie
220 864,00
220 864,00
220
przyjęta
12.
266
Gmina Górowo Iławeckie
warmińsko-mazurskie
250 000,00
250 000,00
220
przyjęta
13.
223
Gmina Czersk
pomorskie
197 030,00
197 030,00
220
przyjęta
14.
303
Powiat Pucki
pomorskie
75 680,00
75 680,00
219
przyjęta
15.
129
Gmina Tuszyn
łódzkie
254 000,00
250 000,00
219
przyjęta
16.
208
Gmina Miejska Bartoszyce
warmińsko-mazurskie
250 000,00
250 000,00
219
przyjęta
17.
254
Gmina Miasto Ostrów Wielkopolski
wielkopolskie
286 889,64
286 889,64
219
przyjęta
18.
156
Gmina Dzierzgoń
pomorskie
250 000,00
250 000,00
219
przyjęta
19.
314
Gmina Dąbrowa Górnicza
śląskie
357 199,00
303 199,00
219
przyjęta
20.
198
Miasto Rybnik
śląskie
256 000,00
256 000,00
218
przyjęta
21.
235
Gmina Sławków
śląskie
63 959,62
63 959,65
218
przyjęta
22.
313
Gmina Sośnicowice
śląskie
46 100,00
46 100,00
218
przyjęta
WYNIKI OTWARTEGO KONKURSU OFERT EDYCJA 2015 W RAMACH
RZĄDOWEGO PROGRAMU WIELOLETNIEGO "Senior-WIGOR" NA LATA 2015-2020
l.p.
Numer
oferty
Nazwa jednostki samorządu terytorialnego
województwo
Wnioskowana kwota Zatwierdzona kwota
Łączna liczba punktów
dotacji
dotacji
Status oferty
23.
297
Gmina Pelplin
pomorskie
200 500,00
200 500,00
218
przyjęta
24.
151
Gmina Olsztyn
śląskie
250 000,00
250 000,00
218
przyjęta
25.
261
Gmina Miejska Żory
śląskie
256 000,00
256 000,00
218
przyjęta
26.
287
Gmina Miasto Częstochowa
śląskie
238 400,00
250 880,00
218
przyjęta
27.
72
Gmina Miasta Radomia
mazowieckie
266 914,14
266 914,14
218
przyjęta
28.
265
GMINA BYTOM
śląskie
250 000,00
250 000,00
218
przyjęta
29.
186
Gmina Wołomin
mazowieckie
226 303,11
226 303,11
217
przyjęta
30.
217
Gmina Wiązowna
mazowieckie
204 481,81
204 481,81
217
przyjęta
31.
204
Gmina Wieniawa
mazowieckie
253 000,00
253 000,00
216
przyjęta
32.
283
Gmina Pułtusk, jednostka organizacyjna - Urząd Miejski w
Pułtusku
mazowieckie
262 400,00
262 400,00
216
przyjęta
33.
193
Gmina Mała Wieś
mazowieckie
232 559,24
232 559,24
216
przyjęta
34.
242
Gmina Swarzędz
wielkopolskie
203 250,00
203 250,00
215
przyjęta
35.
249
Gmina Olsztyn
warmińsko-mazurskie
156 000,00
156 000,00
215
przyjęta
36.
274
Gmina Piatnica
podlaskie
252 100,00
252 100,00
215
przyjęta
37.
107
POWIAT BOCHEŃSKI
małopolskie
255 800,00
255 800,00
214
przyjęta
38.
159
Miasto Pabianice
łódzkie
239 159,58
239 159,58
214
przyjęta
39.
298
GMINA GOSTYCYN
kujawsko-pomorskie
243 000,00
243 000,00
214
przyjęta
40.
218
Gmina Bodzanów
mazowieckie
252 800,00
252 800,00
214
przyjęta
41.
304
Miasto Gdańsk
pomorskie
863 500,00
86 350,00
213
przyjęta
42.
212
Gmina Wąsewo
mazowieckie
250 000,00
250 000,00
213
przyjęta
43.
130
Miasto i Gmina Drobin
mazowieckie
248 482,00
248 482,00
212
przyjęta
44.
152
Gmina Błonie
mazowieckie
262 000,00
262 000,00
212
przyjęta
WYNIKI OTWARTEGO KONKURSU OFERT EDYCJA 2015 W RAMACH
RZĄDOWEGO PROGRAMU WIELOLETNIEGO "Senior-WIGOR" NA LATA 2015-2020
l.p.
Numer
oferty
Nazwa jednostki samorządu terytorialnego
województwo
Wnioskowana kwota Zatwierdzona kwota
Łączna liczba punktów
dotacji
dotacji
Status oferty
45.
301
Starostwo Powiatowe w Sierpcu
mazowieckie
250 000,00
250 000,00
211
przyjęta
46.
282
Gmina Śrem
wielkopolskie
253 412,00
253 412,00
211
przyjęta
47.
289
Gmina Białaczów
łódzkie
96 518,00
96 518,00
211
przyjęta
48.
256
Gmina Gościeradów
lubelskie
250 000,00
250 000,00
211
przyjęta
49.
194
Powiat Policki
zachodniopomorskie
250 000,00
250 000,00
210
przyjęta
50.
262
Gmina Koszyce
małopolskie
270 000,00
231 661,00
209
przyjęta
51.
207
Gmina Suchań
zachodniopomorskie
207 142,77
207 142,77
208
przyjęta
52.
71
Gmina Babiak
wielkopolskie
250 000,00
250 000,00
208
przyjęta
53.
206
Gmina Maków Podhalański
małopolskie
253 000,00
239 914,57
207
przyjęta
54.
229
GMINA GAĆ
podkarpackie
258 000,00
255 957,00
207
przyjęta
55.
269
Powiat Pleszewski
wielkopolskie
247 993,41
247 993,41
206
przyjęta
56.
236
Gmina Słupia
świętokrzyskie
191 764,80
191 764,80
206
przyjęta
57.
240
Gmina Dobra
małopolskie
256 334,30
251 934,30
206
przyjęta
58.
220
Gmina Łapy
podlaskie
189 883,00
189 883,00
205
przyjęta
59.
201
Gmina Zbąszyń
wielkopolskie
250 748,00
250 748,00
205
przyjęta
60.
211
Gmina Skulsk
wielkopolskie
253 000,00
250 000,00
205
przyjęta
61.
237
Gmina Miejska w Chodzieży
wielkopolskie
212 798,29
212 798,29
205
przyjęta
62.
178
Gmina Jarocin
wielkopolskie
250 000,00
250 000,00
205
przyjęta
63.
234
Gmina Miasto Koszalin
zachodniopomorskie
94 000,00
94 000,00
204
przyjęta
64.
117
Gmina Dobrzyca
wielkopolskie
250 000,00
250 000,00
204
przyjęta
65.
134
Gmina Darłowo
zachodniopomorskie
257 859,00
257 859,00
204
przyjęta
66.
228
Gmina Cieszanów
podkarpackie
250 000,00
242 150,00
204
przyjęta
WYNIKI OTWARTEGO KONKURSU OFERT EDYCJA 2015 W RAMACH
RZĄDOWEGO PROGRAMU WIELOLETNIEGO "Senior-WIGOR" NA LATA 2015-2020
l.p.
Numer
oferty
Nazwa jednostki samorządu terytorialnego
województwo
67.
252
Miasto Darłowo
zachodniopomorskie
68.
253
Gmina Miasto Złotów
69.
74
70.
Wnioskowana kwota Zatwierdzona kwota
Łączna liczba punktów
dotacji
dotacji
Status oferty
230 837,00
230 837,00
203
przyjęta
wielkopolskie
88 970,00
88 970,00
203
przyjęta
Gmina Ząbkowice Śląskie
dolnośląskie
211 620,00
211 620,00
202
przyjęta
270
Gmina Miejska Kraków
małopolskie
262 000,00
262 000,00
201
przyjęta
71.
295
Gmina Łagów
świętokrzyskie
248 020,48
248 020,48
200
przyjęta
72.
177
Gmina Miasto Szczecin
zachodniopomorskie
144 536,33
144 536,33
200
przyjęta
73.
260
Gmina Miasto Zgierz
łódzkie
186 429,81
186 429,81
199
przyjęta
74.
95
Gmina Starachowice
świętokrzyskie
262 000,00
262 000,00
198
przyjęta
75.
153
Gmina Trzemeszno
wielkopolskie
231 401,00
231 401,00
197
przyjęta
76.
183
Gmina Chełmża
kujawsko-pomorskie
229 000,00
229 000,00
197
przyjęta
77.
221
Gmina Strzegom
dolnośląskie
250 000,00
250 000,00
196
przyjęta
78.
267
Gmina Głogów Małopolski
podkarpackie
255 291,20
248 062,00
196
przyjęta
79.
112
Gmina Gryfino
zachodniopomorskie
250 000,00
250 000,00
195
przyjęta
80.
180
Gmina Modliborzyce
lubelskie
250 000,00
233 500,00
194
przyjęta
81.
81
Gmina Jawor
dolnośląskie
231 987,20
223 988,00
194
przyjęta
82.
278
Gmina Szczecinek
zachodniopomorskie
160 000,00
160 000,00
193
przyjęta
83.
91
Gmina Korczyna
podkarpackie
250 000,00
158 498,00
193
przyjęta
84.
277
Miasto Luboń
wielkopolskie
241 724,00
235 000,00
191
przyjęta
85.
97
Gmina Józefów
lubelskie
250 000,00
250 000,00
191
przyjęta
86.
276
Gmina Okonek
wielkopolskie
248 658,00
230 000,00
190
przyjęta
87.
309
Miasto Brzeziny
łódzkie
192 110,00
192 110,00
189
przyjęta
88.
279
Gmina Wojaszówka
podkarpackie
250 000,00
247 340,00
189
przyjęta
WYNIKI OTWARTEGO KONKURSU OFERT EDYCJA 2015 W RAMACH
RZĄDOWEGO PROGRAMU WIELOLETNIEGO "Senior-WIGOR" NA LATA 2015-2020
l.p.
Numer
oferty
Nazwa jednostki samorządu terytorialnego
województwo
Wnioskowana kwota Zatwierdzona kwota
Łączna liczba punktów
dotacji
dotacji
Status oferty
89.
168
Powiat Opatowski
świętokrzyskie
261 880,00
261 880,00
188
przyjęta
90.
251
Gmina Ostrowiec Świętokrzyski
świętokrzyskie
192 070,53
192 070,53
188
przyjęta
91.
175
Miasto Limanowa
małopolskie
250 700,00
248 200,00
183
przyjęta
92.
190
Gmina Kęty
małopolskie
226 600,00
226 600,00
183
przyjęta
93.
231
Gmina Głogówek
opolskie
250 000,00
250 000,00
183
przyjęta
94.
257
Gmina Krzywda
lubelskie
253 000,00
253 000,00
183
przyjęta
95.
263
Miasto Białystok
podlaskie
255 689,80
255 689,80
182
przyjęta
96.
106
MIASTO ZAMOŚĆ
lubelskie
254 000,00
240 100,00
181
przyjęta
97.
259
GMINA PRUCHNIK
podkarpackie
253 000,00
239 000,00
179
przyjęta
98.
189
Gmina Skawina
małopolskie
199 656,00
199 656,00
178
przyjęta
99.
210
Miasto Tomaszów Lubelski
lubelskie
253 928,48
253 928,48
177
przyjęta
100.
296
Miasto Zielona Góra
lubuskie
108 008,00
108 008,00
176
przyjęta
101.
161
Gmina i Miasto Proszowice
małopolskie
250 000,00
250 000,00
176
przyjęta
102.
239
Powiat Kraśnicki
lubelskie
248 222,66
176
przyjęta
103.
160
Miasto Łódź
łódzkie
155 072,00
155 072,00
175
przyjęta
104.
232
Gmina Niwiska
podkarpackie
250 000,00
186 000,00
175
przyjęta
105.
163
Gmina Miejsce Piastowe
podkarpackie
235 950,00
235 950,00
174
przyjęta
106.
293
Gmina Przedbórz
łódzkie
178 760,00
178 760,00
172
przyjęta
107.
238
Gmina Głuszyca
dolnośląskie
250 000,00
150 000,00
172
przyjęta
108.
116
Gmina Miejska Przemyśl
podkarpackie
64 000,00
61 260,00
170
przyjęta
109.
176
Gmina Strzyżów
podkarpackie
256 000,00
216 125,00
168
przyjęta
110.
306
Gmina Janikowo
kujawsko-pomorskie
213 613,20
213 613,20
164
przyjęta
238277.66
WYNIKI OTWARTEGO KONKURSU OFERT EDYCJA 2015 W RAMACH
RZĄDOWEGO PROGRAMU WIELOLETNIEGO "Senior-WIGOR" NA LATA 2015-2020
l.p.
Numer
oferty
111.
70
112.
Nazwa jednostki samorządu terytorialnego
województwo
Wnioskowana kwota Zatwierdzona kwota
Łączna liczba punktów
dotacji
dotacji
Status oferty
Gmina Zbąszynek
lubuskie
235 821,44
235 821,00
163
przyjęta
169
Uzdrowiskowa Gmina Miejska Szczawno-Zdrój
dolnośląskie
252 805,00
170 000,00
152
przyjęta
113.
302
Gmina Grabów
łódzkie
210 501,50
128 001,50
151
przyjęta
114.
290
Gmina Boguchwała
podkarpackie
249 900,00
246 700,00
148
przyjęta
115.
197
Gmina Nowa Ruda
dolnośląskie
250 000,00
150 000,00
135
przyjęta
116.
146
Gmina Wałbrzych
dolnośląskie
250 000,00
140 000,00
134
przyjęta
117.
215
Gmina Miasto Świdnica
dolnośląskie
229 282,00
140 000,00
134
przyjęta
118.
199
Gmina Prusice
dolnośląskie
250 000,00
140 000,00
128
przyjęta
119.
312
Powiat Gorzowski
lubuskie
240 000,00
240 000,00
127
przyjęta
120.
268
GMINA BUCZEK
łódzkie
250 000,00
0,00
123
odrzucona- za mało punktów
121.
165
Gmina Puchaczów
lubelskie
250 000,00
0,00
118
odrzucona- za mało punktów
122.
311
GMINA ŻARNÓW
łódzkie
207 840,00
0,00
102
odrzucona- za mało punktów
123.
280
Gmina Ulhówek
lubelskie
199 600,00
0,00
91
odrzucona- za mało punktów
124.
170
Gmina Miejska Dzierżoniów
dolnośląskie
100 243,00
0,00
43
odrzucona- za mało punktów
125.
243
Gmina Sitno
lubelskie
256 000,00
0,00
119
odrzucona- za mało punktów
126.
158
Gmina Miejska Głogów
dolnośląskie
249 959,54
0,00
78
odrzucona- za mało punktów
127.
291
Miasto i Gmina Nowe Miasto nad Pilicą
mazowieckie
-
-
-
odrzucona ze względów formalnych
128.
233
Urząd Miasta Tarnobrzega
podkarpackie
-
-
-
odrzucona ze względów formalnych
129.
315
Stowarzyszenie POKÓj OPP
opolskie
-
-
-
odrzucona ze względów formalnych
130.
101
Miasto Gorzów Wlkp.
lubuskie
-
-
-
odrzucona ze względów formalnych
WYNIKI OTWARTEGO KONKURSU OFERT EDYCJA 2015 W RAMACH
RZĄDOWEGO PROGRAMU WIELOLETNIEGO "Senior-WIGOR" NA LATA 2015-2020
l.p.
Numer
oferty
Nazwa jednostki samorządu terytorialnego
województwo
Wnioskowana kwota Zatwierdzona kwota
Łączna liczba punktów
dotacji
dotacji
Status oferty
131.
87
Gmina Padew Narodowa
podkarpackie
-
-
-
odrzucona ze względów formalnych
132.
292
GMINA MIEJSKA MIELEC
podkarpackie
-
-
-
odrzucona ze względów formalnych
133.
285
Gmina Miasta Dębica
podkarpackie
-
-
-
odrzucona ze względów formalnych
134.
310
Gmina Horyniec – Zdrój
podkarpackie
-
-
-
odrzucona ze względów formalnych
25 349 638 zł