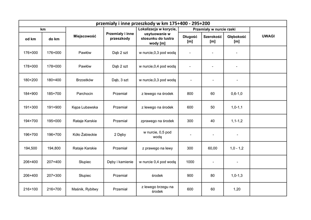
od km 175+400 do km 295+200 [PDF 0.11 MB]

Transkrypt

od km 175+400 do km 295+200 [PDF 0.11 MB]
przemiały i inne przeszkody w km 175+400 - 295+200
Miejscowość
Przemiały i inne
przeszkody
Lokalizacja w korycie,
usytuowanie w
stosunku do lustra
wody [m]
km
Przemiały w nurcie rzeki
Długość
[m]
Szerokość
[m]
Głębokość
[m]
w nurcie,0,3 pod wodą
-
-
-
Dąb 2 szt
w nurcie,0,4 pod wodą
-
-
-
Brzostków
Dąb, 3 szt
w nurcie,0,3 pod wodą
-
-
-
185+700
Parchocin
Przemiał
z lewego na środek
800
60
0,6-1,0
191+300
191+900
Kępa Lubawska
Przemiał
z lewego na środek
600
50
1,0-1,1
194+700
195+000
Rataje Karskie
Przemiał
zprawego na środek
300
40
1,1-1,2
196+700
196+700
Kóło Żabieckie
2 Dęby
w nurcie, 0,5 pod
wodą
-
-
-
194,500
194,800
Rataje Karskie
Przemiał
z prawego na lewy
300
60,00
1,0 - 1,2
206+400
207+400
Słupiec
Dęby i kamienie
w nurcie 0,4 pod wodą
1000
-
-
206+400
207+300
Słupiec
Przemiał
środek
900
80
1,0-1,3
216+100
216+700
Maśnik, Rybitwy
Przemiał
z lewego brzegu na
środek
600
60
1,20
od km
do km
176+000
176+000
Pawłów
Dąb 2 szt
178+000
178+000
Pawłów
180+200
180+400
184+900
UWAGI
217+500
218+000
Rybitwy
Dęby 8 szt,
w nurcie od 0,8 m pod
do 0,5 m pod lustrem
wody
-
-
-
218+700
218+700
Rybitwy
Drzewo
na środku koryta 0,4 pod
lustrem wody
-
-
-
-
-
-
z prawego brzegu
budowla kamienna 0,3
budowla kamienna
pod lustrem wody z
i drzewo
zawieszonym drzewem
0,1 nad lustrem wody
219+500
219+500
Połaniec
220+200
220+400
Gliny Wielkie
przemiał
środkiem koryta
200
70
1,00 - 1,40
221+100
221+100
Winnica
Dąb
W nurcie 0,2 m pod
wodą na b, kamiennej z
b, lewego
-
-
-
223+650
223+650
Zawada
próg piętrzący
całą szerokością koryta
-
-
-
229+900
229+900
Rożnaity
Dąb
przy brzegu prawym 0,2
m nad wodą
-
-
-
230+800
230+800
Szwagrów
Budowla kamienna
od brzegu lewego na
środek 0,5 pod wodą
-
-
-
232+100
232+100
Zaduszniki
Barka
W nurcie 0,4 m pod
wodą
-
-
-
232+900
233+000
Zaduszniki
-
-
-
z brzegu prawego od 1,0
budowle kamienne m do 1,2 m pod lustrem
wody
Uwaga szlak
żeglowny zostaje
zamykany przy stanie
wody ok. 0.7 m
poniżej średniej tel,
Kontaktowy dyżurny
Elektrowni Połaniec
158656166
234+500
234+500
Przykop
budowla kamienna
z brzegu prawego 0,7 m
pod lustrem wody
-
-
-
238+100
238+600
Przykop
przemiał
z brzegu lewego na
prawy
500
50
1,5
239+200
239+200
Dymitrów M
Budowla
Kamienna
z prawego 0,6 m pod
bwodą
-
-
-
239+900
239+900
Dymitrów M
Drzewo
na środku koryta 0,3 m
pod lustrem wody
-
-
-
239+800
241+200
Dymitrów M
Przemiał
z środka na brzeg prawy
i po prawym brzegu
1400
50
0,4- 1,4
241+900
241+900
Baranów
Sandomierski
drzewa 3 szt
w korycie 0,4m nad
lustrem
-
-
-
242+500
242+500
Baranów
Sandomierski
Budowla
Kamienna
3 szt,
w nurcie 0,3 pod lustrem
wody
-
-
-
243+200
243+200
Baranów
Sanodmierski
drzewo
-
-
-
245+600
245+600
Suchorzów
drzewo
-
-
-
246+900
246+900
Siedleszczany
Budowla
Kamienna
po prawym brzegu w
nurcie 0,5 m pod lustrem
wody
po prawym brzegu 0,2 m
pod lustrem wody
z prawego 0,4 m pod
lustrem wody
-
-
-
249+100
249+600
Tarnobrzeg Nagnajów
Przemiał
po prawym brzegu
500
80
1,0 - 1,4
249+500
249+500
Tarnobrzeg Nagnajów
drzew
-
-
-
252+300
252+300
Tarnobrzeg Kajmów
-
-
-
253+200
253+200
Tarnobrzeg Kajmów
-
-
-
Budowla
Kamienna
Budowla
Kamienna
w nurcie na środku
koryta 0,1 pod lustrem
wody
z lewego brzegu 0,8 m
pod lustrem wody
z lewego brzegu 0,7 m
pod lustrem wody
trasa nurtu
nieuregulowana, nurt
zmienny
trasa nurtu
nieuregulowana, nurt
zmienny
trasa nurtu
nieuregulowana, nurt
zmienny
z brzegu lewego na
środek
z prawego na środek
z środka na prawy
z środka na lewy
prawy
środek
z prawego na środek
środek
z prawego na środek
z lewego na środek
środek
środek
z prawego na środek
300
40
1,0 - 1,4
100
400
200
500
200
800
200
300
200
300
200
200
70
80
60
70
60
70
80
80
70
80
60
50
1,00 - 1,30
1,00 - 1,20
0,90 - 1,10
1,00 - 1,20
1,00 - 1,20
0,80 - 1,20
0,90 - 1,00
0,90 - 1,10
1,00 - 1,20
1,00 - 1,10
1,00 - 1,20
0,90 - 1,10
przejście przez
uszkodzone
budowle regul,
prawy
1500
60
1,20 - 4,50
Janiszów
przemiał
środek
200
80
1,00 - 1,20
Stan
Jednostka
165
cm
Stan
185
Stan
169
272
Jednostka
cm
Jednostka
cm
cm
254+000
254+300
Tarnobrzeg
przemiał
260+300
261+400
263+400
264+300
272+200
272+600
273+500
274+700
275+400
283+500
285+300
286+600
260+400
261+800
263+600
264+800
272+400
273+200
273+700
275+000
275+600
283+800
285+500
286+800
Zakrzów
Zakrzów
Ostrołęka
Koćmierzów
Mściów
Mściów
Mściów
Wrzawy
Mściów
Kępa Chwałowska
Zawichost
Janiszów
przemiał
przemiał
przemiał
przemiał
przemiał
przemiał
przemiał
przemiał
przemiał
przemiał
przemiał
przemiał
285+500
287+000
Janiszów
290+700
290+900
Data
Szczucin
04.11.2016
Data
Koło
04.11.2016
Data
Sandomierz 04.11.2016
Zawichost
04.11.2016
Pływanie na wyłączną
odpowiedzialność
płynącego,