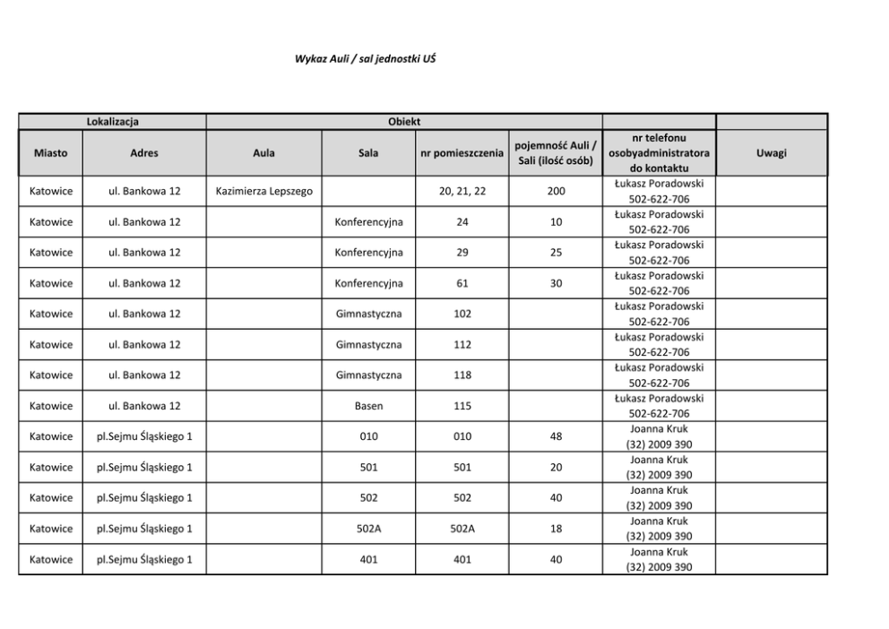
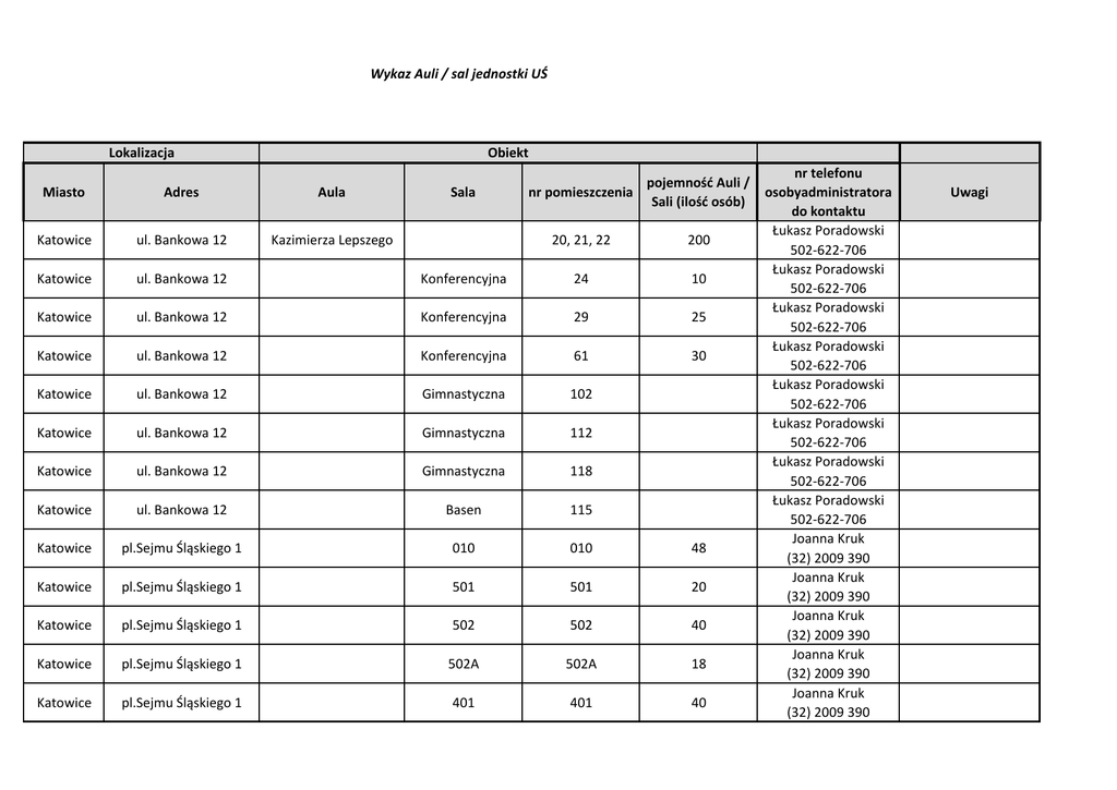
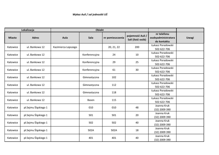
Miasto Adres Aula Sala nr pomieszczenia pojemność Auli / Sali

Transkrypt

Miasto Adres Aula Sala nr pomieszczenia pojemność Auli / Sali
Wykaz Auli / sal jednostki UŚ
Lokalizacja
Obiekt
Miasto
Adres
Aula
Katowice
ul. Bankowa 12
Kazimierza Lepszego
Katowice
ul. Bankowa 12
Katowice
Sala
pojemność Auli /
nr pomieszczenia
Sali (ilość osób)
20, 21, 22
200
Konferencyjna
24
10
ul. Bankowa 12
Konferencyjna
29
25
Katowice
ul. Bankowa 12
Konferencyjna
61
30
Katowice
ul. Bankowa 12
Gimnastyczna
102
Katowice
ul. Bankowa 12
Gimnastyczna
112
Katowice
ul. Bankowa 12
Gimnastyczna
118
Katowice
ul. Bankowa 12
Basen
115
Katowice
pl.Sejmu Śląskiego 1
010
010
48
Katowice
pl.Sejmu Śląskiego 1
501
501
20
Katowice
pl.Sejmu Śląskiego 1
502
502
40
Katowice
pl.Sejmu Śląskiego 1
502A
502A
18
Katowice
pl.Sejmu Śląskiego 1
401
401
40
nr telefonu
osobyadministratora
do kontaktu
Łukasz Poradowski
502-622-706
Łukasz Poradowski
502-622-706
Łukasz Poradowski
502-622-706
Łukasz Poradowski
502-622-706
Łukasz Poradowski
502-622-706
Łukasz Poradowski
502-622-706
Łukasz Poradowski
502-622-706
Łukasz Poradowski
502-622-706
Joanna Kruk
(32) 2009 390
Joanna Kruk
(32) 2009 390
Joanna Kruk
(32) 2009 390
Joanna Kruk
(32) 2009 390
Joanna Kruk
(32) 2009 390
Uwagi
Katowice
pl.Sejmu Śląskiego 1
403
403
44
Katowice
pl.Sejmu Śląskiego 1
415
415
22
Katowice
pl.Sejmu Śląskiego 1
301
301
40
Katowice
pl.Sejmu Śląskiego 1
303
303
80
Katowice
pl.Sejmu Śląskiego 1
304
304
80
Katowice
pl.Sejmu Śląskiego 1
307
307
100
Katowice
pl.Sejmu Śląskiego 1
201
201
40
Katowice
pl.Sejmu Śląskiego 1
203
203
60
Katowice
pl.Sejmu Śląskiego 1
205
205
60
Katowice
pl.Sejmu Śląskiego 1
206
206
40
Katowice
pl.Sejmu Śląskiego 1
207
207
40
Katowice
pl.Sejmu Śląskiego 1
208
208
104
Katowice
pl.Sejmu Śląskiego 1
209
209
80
Katowice
pl.Sejmu Śląskiego 1
101
101
40
Katowice
pl.Sejmu Śląskiego 1
103
103
84
Katowice
pl.Sejmu Śląskiego 1
104
104
40
Katowice
pl.Sejmu Śląskiego 1
104A
104A
20
Katowice
pl.Sejmu Śląskiego 1
105
105
40
Joanna Kruk
(32) 2009 390
Joanna Kruk
(32) 2009 390
Joanna Kruk
(32) 2009 390
Joanna Kruk
(32) 2009 390
Joanna Kruk
(32) 2009 390
Joanna Kruk
(32) 2009 390
Joanna Kruk
(32) 2009 390
Joanna Kruk
(32) 2009 390
Joanna Kruk
(32) 2009 390
Joanna Kruk
(32) 2009 390
Joanna Kruk
(32) 2009 390
Joanna Kruk
(32) 2009 390
Joanna Kruk
(32) 2009 390
Joanna Kruk
(32) 2009 390
Joanna Kruk
(32) 2009 390
Joanna Kruk
(32) 2009 390
Joanna Kruk
(32) 2009 390
Joanna Kruk
(32) 2009 390
Katowice
pl.Sejmu Śląskiego 1
107
107
104
Joanna Kruk
(32) 2009 390
Katowice
Katowice
Katowice
Katowice
Katowice
Katowice
Katowice
Katowice
Katowice
Katowice
Katowice
Katowice
Katowice
Katowice
Bankowa 14
Bankowa 14
Bankowa 14
Bankowa 14
Bankowa 14
Bankowa 14
Bankowa 14
Bankowa 14
Bankowa 14
Bankowa 14
Bankowa 14
Bankowa 14
Bankowa 14
Bankowa 14
wykładowa
wykładowa
wykładowa
wykładowa
wykładowa
wykładowa
wykładowa
wykładowa
wykładowa
wykładowa
wykładowa
wykładowa
wykładowa
wykładowa
201
208
213
214
224
225
226
228
229
231
232
233
234
420
40
40
226
28
34
28
30
30
30
40
30
36
36
228
Zdzisław Gołojuch
(32) 359 12 65
Aleksandra Hankus
(32) 359 16 85
Katowice
Bankowa 9
aula
126
220
Katowice
Jagiellońska 28
B-100
B 100
50
Katowice
ul.Bytkowska 1B.
audiowizualna
1
500
Katowice
Uniwersytecka 4
I audytoryjna
I
100
Katowice
Uniwersytecka 4
II audytoryjna
II
100
Katowice
Uniwersytecka 4
III audytoryjna
III
350
Katowice
Uniwersytecka 4
ćwiczeniowa
161
36
Katowice
Uniwersytecka 4
ćwiczeniowa
162
38
Katowice
Uniwersytecka 4
ćwiczeniowa
163
40
Katowice
Uniwersytecka 4
ćwiczeniowa
164
40
im. M. Kopernika
im. W. Pańki
Karol Muth
502622739
Irena Szewczuk
502622731
Ilona Eichhorn
502-622-920
Gabriela Błaszczyk
(32) 3591812
Gabriela Błaszczyk
(32) 3591812
Gabriela Błaszczyk
(32) 3591812
Gabriela Błaszczyk
(32) 3591812
Gabriela Błaszczyk
(32) 3591812
Gabriela Błaszczyk
(32) 3591812
Gabriela Błaszczyk
(32) 3591812
Katowice
Uniwersytecka 4
Katowice
Bankowa 11b
Katowice
Bankowa 11b
Katowice
Bankowa 11b
ćwiczeniowa
166
30
Aula 1
1
200
Aula 2
2
200
Aula 3
3
Gabriela Błaszczyk
(32) 3591812
Renata Dobrowolska
510042154
(32) 3591899
Renata Dobrowolska
510042154
(32) 3591899
100
Renata Dobrowolska
510042154
(32) 3591899
Renata Dobrowolska
510042154
(32) 3591899
Katowice
Bankowa 11b
Aula 4
4
100
Katowice
Bankowa 11b
Aula 5 audytoryjna
5
320
Katowice
Bankowa 11b
Aula 6 audytoryjna
6
250
Katowice
Bankowa 11b
Aula 7 audytoryjna
7
250
Katowice
Bankowa 11b
Aula 8 audytoryjna
8
326
Katowice
Bankowa 11b
sale
ćwiczeniowe
Katowice
Bankowa 11b
sala
konferencyjna
1.3
60
Katowice
Bankowa 11b
sala komputerowa
46
10
30
Renata Dobrowolska
510042154
(32) 3591899
Renata Dobrowolska
510042154
(32) 3591899
Renata Dobrowolska
510042154
(32) 3591899
Renata Dobrowolska
510042154
(32) 3591899
Renata Dobrowolska
510042154
(32) 3591899
Renata Dobrowolska
510042154
(32) 3591899
Renata Dobrowolska
510042154
(32) 3591899
Katowice
ul. Szkolna 9
Katowice
ul. Szkolna 9
Katowice
ul. Szkolna 9
Aula
sala wykładowa
sala wykładowa
73
120
Jolanta Marczewska
502622799
(32)3591488
72
32
Jolanta Marczewska
502622799
(32)3591488
38
Jolanta Marczewska
502622799
(32)3591488
12