MTI-2059 – menedżer i edytor zawartości

Transkrypt

MTI-2059 – menedżer i edytor zawartości
MTI-2059 – menedżer i edytor zawartości pamięci
EDID i EEPROM
1. Wprowadzenie
Programator MTI-2059 służy do zapisywania danych
EDID i aktualizacji oprogramowania sprzętowego procesora MCU wyświetlacza. Jest on również wykorzystywany
do komunikacji przez port równoległy z innymi aplikacjami.
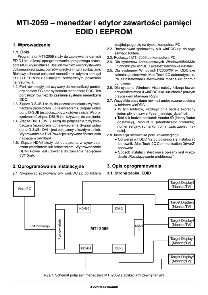
Blokowy schemat połączeń menedżera i edytora pamięci
EDID i EEPROM z aplikacjami zewnętrznymi pokazano
na rysunku 1.
1.2. Port równoległy jest używany do komunikacji pomiędzy hostem PC oraz systemem menedżera DDC. Ten
port służy również do zasilania systemu menedżera
DDC.
1.3. Złącze D-SUB 1 służy do łączenia medium z wyświetlaczem (monitorem lub telewizorem). Sygnał wideo
portu D-SUB jest połączony z każdym z nich. Wyprowadzenie 9 złącza DSUB jest używane do zasilania.
1.4. Złącza DVI 1, DVI 2 służą do połączenia z wyświetlaczem (monitorem lub telewizorem). Sygnał wideo
portu D-SUB i DVI-I jest połączony z każdym z nich.
Wyprowadzenie DVI Power jest używane do zasilania
napięciem 5V/10mA.
1.5. Złącze HDMI służy do połączenia z wyświetlaczem (monitorem lub telewizorem. Wyprowadzenie
HDMI Power jest używane do zasilania napięciem
5V/10mA.
znajdującego się na dysku komputera PC.
2.2. Rozpakować spakowany plik winDDC.zip do tego
samego folderu.
2.3. Podłączyć MTI-2059 do komputera PC.
2.4. Dla systemów komputerowych Windows95/98/Me
uruchomić plik winDDC.exe bez sterownika instalacji.
2.5. Dla systemów WindowsNT/2000/XP winDDC.exe
zainstaluje sterownik Mas Tech I2C automatycznie.
Po zainstalowaniu sterownika można uruchomić
ponownie.
2.6. Dla systemu Windows Vista należy kliknąć lewym
przyciskiem myszki winDDC.exe i uruchomić prawym
przyciskiem Manager Right.
2.7. Wszystkie bazy dane również umieszczone zostaną
w folderze winDDC.
● W tym folderze, każdego dnia będzie tworzony
jeden plik o nazwie Fyear_miesiąc_dzień.txt.
● Taki plik będzie posiadał: Vendor ID (identyfikator
dostawcy), Product ID (identyfikator produktu),
numer seryjny, suma kontrolna, czas zapisu i tak
dalej.
2.8. Instalacja sterownika portu równoległego
● Od wersji winDDC V2.38 powinno się instalować
sterownik „Mas Tech I2C Communication Driver2”
ponownie.
● Sposób instalacji sterownika opisany jest w rozdziale „Rozwiązywanie problemów”.
2. Oprogramowanie instalacyjne
3. Opis oprogramowania
2.1. Skopiować spakowany plik winDDC.zip do folderu
3.1. Strona zapisu EDID
1.1. Opis
Target Display1
(Monitor/TV)
Host PC
Port równoległy
Port równoległy
HDMI-2
Target Display2
(Monitor/TV)
DVI-2
DSUB
1
MTI-2059
Target Display3
(Monitor/TV)
Target Display4
(Monitor/TV)
HDMI-1
DVI-1
Target Display5
(Monitor/TV)
Rys.1. Schemat połączeń menedżera MTI-2059 z aplikacjami zewnętrznymi
SERWIS ELEKTRONIKI
a/. Ta strona realizuje funkcję zapisu i weryfikacji do urządzenia z wyświetlaczem (do telewizora lub monitora).
Przed wykonaniem funkcji zapisu i weryfikacji należy
załadować plik danych EDID (*.ddc).
b/. Wyświetlany jest każdy blok EDID, aby użytkownik
mógł łatwo śledzić i analizować wszystkie dane EDID.
c/. W celu modyfikacji i edycji danych EDID należy przyciski „Ctrl” + „Q” tak długo, aż pojawi się „Manager Edit”.
d/. W celu dokonania zapisu w wybranym porcie należy
wybrać ten port wyszczególniony w żółtym kolorze w
rozwijalnym menu.
e/. W celu kontroli zasilania w każdym porcie należy
zaznaczyć lub odznaczyć „Enable Power”.
f/. W celu odczytania „długich” danych (256 lub 512 bajtów) trzeba zmienić „xxx byte length”.
3.2. Strona winISP
a/. Ta strona jest wsparciem układów programowania pamięci flash procesora MCU telewizorów i monitorów.
Można zaprogramować kod pamięci ROM procesora
MCU poprzez złącze DSUB/DVI/HDMI bez zdejmowania obudowy urządzenia.
b/. Wybrać producenta, typ urządzenia i port do komunikacji, załadować plik „*.hex” lub „*.bin” i nacisnąć
przycisk „Auto Program”.
c/. Aby załadować plik z zewnętrznego układu pamięci,
należy podać rozmiar pamięci.
3.3. Strona zapisu pamięci EEPROM
a/. Ta strona obsługuje wszystkie układy pamięci, które
obsługiwane są w komunikacji szeregowej (I2C).
b/. W celu konfiguracji sprzętu, należy podłączyć linię
zegara i danych między portem i układem scalonym.
4. Rozwiązywanie problemów
4.1. Często, gdy występuje błąd w komunikacji danych
w systemach Windows XP, 2000, NT przyczyną są
interferencje między sterownikiem portu drukarki
systemu Windows i komunikacją I2C. Rozwiązaniem
problemu jest w takiej sytuacji modyfikacja (aktualizacja) sterownika z portu równoległego „Parallel Port
Driver (LPT1)” na „MasTech I2C Communication
Driver2”. Procedura jest następująca: Pulpit => Mój
komputer – kliknięcie prawym przyciskiem myszki
=> Właściwości => Sprzęt => Menedżer urządzeń
=> Porty (COM i LPT) => Port drukarki (LPT1) – kliknięcie prawym przyciskiem myszki => Właściwości
=> Sterownik => Aktualizuj sterownik
Zostaje otwarte okno „Kreatora aktualizacji sprzętu”:
=> Nie, nie podłączaj teraz => Dalej => Zainstaluj z listy
lub określonej lokalizacji => Dalej => Nie wyszukuj,
wybiorę sterownik do zainstalowania
=> Z dysku => Szukaj => katalog winDDC (MTPARISP.inf)
=> Nacisnąć przycisk instalacji sterownika przyciskiem
OK => NEXT
=> Używanie nowego sterownika jest możliwe po przeładowaniu komputera.
4.2. W celu przywrócenia oryginalnego sterownika portu
równoległego, należy wykonać następujące operacje:
Pulpit => Mój komputer – kliknięcie prawym przyciskiem myszki => Właściwości => Sprzęt => Menedżer urządzeń => Porty (COM i LPT) => MasTech I2C
Communication Driver (LPT1) – kliknięcie prawym
przyciskiem myszki => Właściwości => Sterownik.
SERWIS ELEKTRONIKI