Formularz kontaktowo

Transkrypt

Formularz kontaktowo
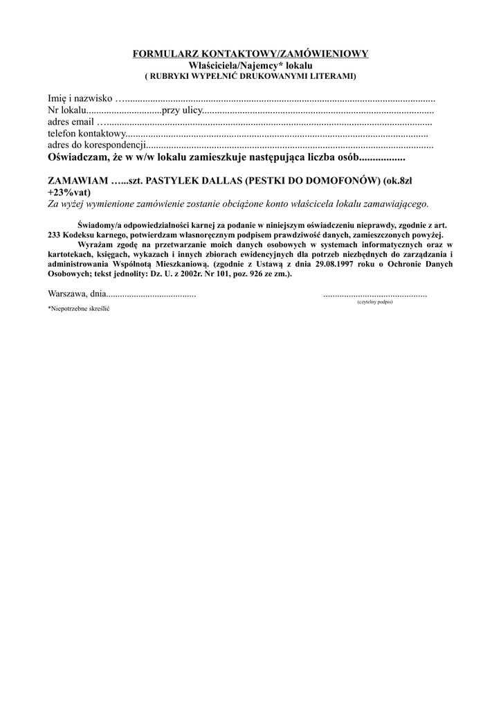
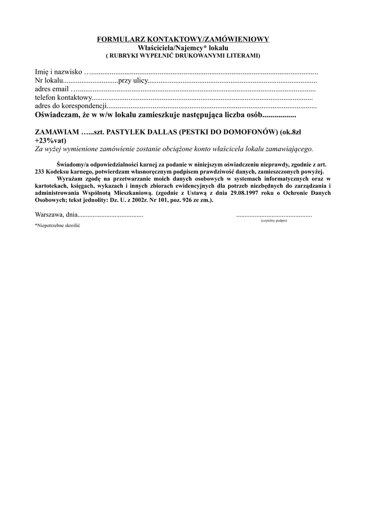
FORMULARZ KONTAKTOWY/ZAMÓWIENIOWY
Właściciela/Najemcy* lokalu
( RUBRYKI WYPEŁNIĆ DRUKOWANYMI LITERAMI)
Imię i nazwisko …...........................................................................................................................
Nr lokalu..............................przy ulicy............................................................................................
adres email ….................................................................................................................................
telefon kontaktowy........................................................................................................................
adres do korespondencji..................................................................................................................
Oświadczam, że w w/w lokalu zamieszkuje następująca liczba osób.................
ZAMAWIAM …...szt. PASTYLEK DALLAS (PESTKI DO DOMOFONÓW) (ok.8zł
+23%vat)
Za wyżej wymienione zamówienie zostanie obciążone konto właścicela lokalu zamawiającego.
Świadomy/a odpowiedzialności karnej za podanie w niniejszym oświadczeniu nieprawdy, zgodnie z art.
233 Kodeksu karnego, potwierdzam własnoręcznym podpisem prawdziwość danych, zamieszczonych powyżej.
Wyrażam zgodę na przetwarzanie moich danych osobowych w systemach informatycznych oraz w
kartotekach, księgach, wykazach i innych zbiorach ewidencyjnych dla potrzeb niezbędnych do zarządzania i
administrowania Wspólnotą Mieszkaniową. (zgodnie z Ustawą z dnia 29.08.1997 roku o Ochronie Danych
Osobowych; tekst jednolity: Dz. U. z 2002r. Nr 101, poz. 926 ze zm.).
Warszawa, dnia.......................................
.............................................
(czytelny podpis)
*Niepotrzebne skreślić

Podobne dokumenty