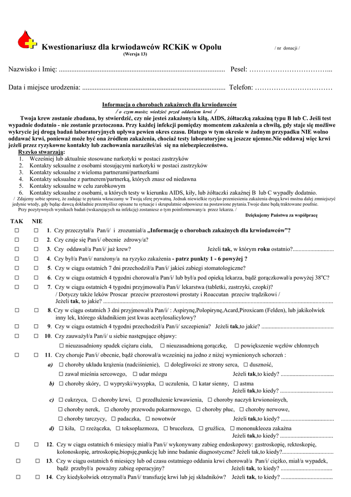
Kwestionariusz dla krwiodawców RCKiK w Opolu

Transkrypt

Kwestionariusz dla krwiodawców RCKiK w Opolu
Kwestionariusz dla krwiodawców RCKiK w Opolu
/ nr donacji /
(Wersja 13)
Nazwisko i Imię: .............................................................................................. Pesel: ……………………………...
Data i miejsce urodzenia: ................................................................................. Telefon: ……………………………
Informacja o chorobach zakaźnych dla krwiodawców
/ o czym musisz wiedzieć przed oddaniem krwi /
Twoja krew zostanie zbadana, by stwierdzić, czy nie jesteś zakażony/a kiłą, AIDS, żółtaczką zakaźną typu B lub C. Jeśli test
wypadnie dodatnio - nie zostanie przetoczona. Przy każdej infekcji pomiędzy momentem zakażenia a chwilą, gdy staje się możliwe
wykrycie jej drogą badań laboratoryjnych upływa pewien okres czasu. Dlatego w tym okresie w żadnym przypadku NIE wolno
oddawać krwi, ponieważ może być ona źródłem zakażenia, chociaż testy laboratoryjne są jeszcze ujemne.Nie oddawaj więc krwi
jeżeli przez ryzykowne kontakty lub zachowania naraziłeś/aś się na niebezpieczeństwo.
Ryzyko stwarzają:
1. Wcześniej lub aktualnie stosowane narkotyki w postaci zastrzyków
2. Kontakty seksualne z osobami stosującymi narkotyki w postaci zastrzyków
3. Kontakty seksualne z wieloma partnerami/partnerkami
4. Kontakty seksualne z partnerem/partnerką, których znasz od niedawna
5. Kontakty seksualne w celu zarobkowym
6. Kontakty seksualne z osobami, u których testy w kierunku AIDS, kiły, lub żółtaczki zakaźnej B lub C wypadły dodatnio.
/ Zdajemy sobie sprawę, że zadając te pytania wkraczamy w Twoją sferę prywatną. Jednak niewielkie ryzyko przeniesienia zakażenia drogą krwi można dalej zmniejszyć
jedynie wtedy, gdy będąc dawcą dokładnie przemyślisz opisane tu sytuacje i skrupulatnie odpowiesz na postawione pytania.Twoje dane będą traktowane poufnie.
Przy pozytywnych wynikach badań (wskazujących na infekcję) zostaniesz o tym poinformowany/a przez lekarza. /
Dziękujemy Państwu za współpracę
TAK
NIE
□
□
□
□
□
□
□
□
□
□
□
□
□
□
□
□
8. Czy w ciągu ostatnich 3 dni przyjmował/a Pan/i/ : Aspirynę,Polopirynę,Acard,Piroxicam (Felden), lub jakikolwiek
inny lek, którego składnikiem jest kwas acetylosalicylowy?
□
□
□
□
9. Czy w ciągu ostatnich 4 tygodni przechodził/a Pan/i/ szczepienia? Jeżeli tak,to jakie? .................................................
1. Czy przeczytał/a Pan/i/ i zrozumiał/a „Informację o chorobach zakaźnych dla krwiodawców”?
2. Czy czuje się Pan/i/ obecnie zdrowy/a?
3. Czy oddawał/a Pan/i/ już krew?
Jeżeli tak, w którym roku ostatnio?............................
4. Czy był/a Pan/i/ narażony/a na ryzyko zakażenia - patrz punkty 1 - 6 powyżej ?
5. Czy w ciągu ostatnich 7 dni przechodził/a Pan/i/ jakieś zabiegi stomatologiczne?
6. Czy w ciągu ostatnich 4 tygodni chorował/a Pan/i/ lub był/a pod opieką lekarza, bądź gorączkował/a powyżej 38oC?
7. Czy w ciągu ostatnich 4 tygodni przyjmował/a Pan/i/ lekarstwa (tabletki, zastrzyki, czopki)?
/ Dotyczy także leków Proscar przeciw przerostowi prostaty i Roaccutan przeciw trądzikowi /
Jeżeli tak, to jakie? ............................................................................................................................................................
10. Czy zauważył/a Pan/i/ u siebie następujące objawy:
□ nieuzasadniony spadek ciężaru ciała, □ nieuzasadnioną gorączkę, □ powiększenie węzłów chłonnych
□
□
11. Czy choruje Pan/i/ obecnie, bądź chorował/a wcześniej na jedno z niżej wymienionych schorzeń :
a)
b)
□ choroby układu krążenia (nadciśnienie), □ dolegliwości ze strony serca, □ duszność,
□ zawał mieśnia sercowego, □ udar mózgu
Jeżeli tak,to kiedy? ....................................
□ choroby skóry, □ wypryski/wysypka, □ uczulenia, □ katar sienny, □ astma
Jeżeli tak,to kiedy? ....................................
c)
d)
□ cukrzyca, □ choroby krwi, □ przedłużenie krwawienia, □ choroby naczyń krwionośnych,
□ choroby nerek, □ choroby przewodu pokarmowego, □ choroby płuc, □ choroby nerwowe,
□ choroby tarczycy, □ padaczka, □ nowotwór
Jeżeli tak,to kiedy? ....................................
□ kiła, □ rzeżączka, □ toksoplazmoza, □ bruceloza, □ gruźlica, □ mononukleoza zakaźna
Jeżeli tak,to kiedy? ....................................
□
□
12. Czy w ciągu ostatnich 6 miesięcy miał/a Pan/i/ wykonywany zabieg endoskopowy: gastroskopię, rektoskopię,
kolonoskopię, artroskopię,biopsję,punkcję lub inne badanie diagnostyczne? Jeżeli tak,to kiedy?...................................
□
□
13. Czy w ciągu ostatnich 6 miesięcy lub od czasu ostatniego oddania krwi chorował/a Pan/i/ ciężko, miał/a wypadek,
bądź przebył/a poważny zabieg operacyjny?
Jeżeli tak, to kiedy? ...................................
□
□
14. Czy kiedykolwiek otrzymał/a Pan/i/ transfuzję krwi lub jej składników?
Jeżeli tak, to kiedy? ...................................
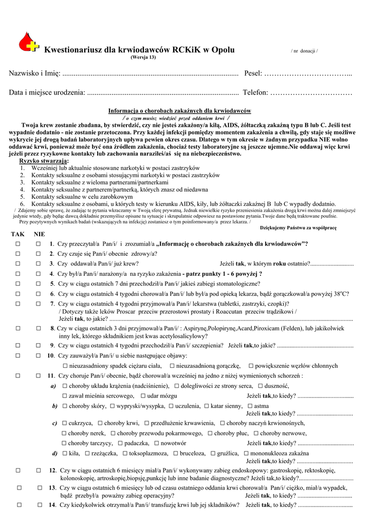
TAK
NIE
□
□
□
□
□
□
□
□
□
□
19. Czy miał/a Pan/i/ po 1 stycznia 1980 roku przetaczaną krew lub jej składniki na terenie Wielkiej Brytanii,Francji
lub Irlandii?
□
□
□
□
20. Czy w ciągu ostatnich 6 miesięcy przebywał/a Pan/i/ w krajach Afryki Środkowej, Zachodniej lub Tajlandii?
□
□
□
□
□
□
22. Czy mieszkał/a Pan/i/ lub przebywał czasowo na terenach endemicznego występowania innych chrób tropikalnych?
□
□
□
□
□
□
27. Czy w ciągu ostatnich 6 miesięcy lub od czasu ostatniego oddania krwi miał/a Pan/i/ przypadkowy kontakt z krwią
ludzką lub narzędziami zanieczyszczonymi krwią ludzką?
□
□
□
□
□
□
□
□
□
□
□
□
28. Czy kiedykolwiek przechodził/a Pan/i/ żółtaczkę?
□
□
□
□
34. Czy Pani miesiączkuje?
15. Czy kiedykolwiek był/a Pan/i/ biorcą przeszczepu (np.rogówki lub innych tkanek)?Jeżeli tak,to kiedy? ....................
16. Czy kiedykolwiek otrzymał/a Pan/i/ hormon wzrostu?
17. Czy ktokolwiek z Pana/i/ rodziny cierpi lub cierpiał na chorobę Creutzfeldta-Jakoba?
18. Czy w okresie od 1 stycznia 1980 roku do 31 grudnia 1996 roku przebywał/a Pan/i/ łącznie przez okres 6 miesięcy
lub dłużej w Wielkiej Brytanii, Francji lub Irlandii?
21. Czy przebywał Pan/i/ czasowo lub w dowolnym okresie życia zamieszkiwał/a nieprzerwanie przez okres co najmniej
6 miesięcy na terenach endemicznego występowania malarii ?
Jeżeli tak,to kiedy?..........................................
23. Czy chorował/a Pan/i/ na: □ malarię, □ inne choroby tropikalne?
24. Czy w ciągu ostatnich 28 dni przebywał/a Pan/i/ na terenach, gdzie stwierdzono przypadki przeniesienia Wirusa
Zachodniego Nilu (WNV) na ludzi /Meksyk,USA,Kanada/?
25. Czy był Pan/i/ zakażony/a Wirusem Zachodniego Nilu (WNV)?
Jeżeli tak,to kiedy? ……………………….
26. Czy w ciągu ostatnich 6 miesięcy wykonywano u Pana/i/: □ tatuaż, □ akupunkturę, □ depilację kosmetyczną,
□ przekłucie uszu lub innych części ciała?
Jeżeli tak,to kiedy ? ………………………..
Jeżeli tak,to kiedy? .......................................
29. Czy Pana/i/ partner życiowy lub seksualny w ciągu ostatnich 6 miesięcy przechodził żółtaczkę?
30. Czy w ciągu ostatnich 6 miesięcy miał/a Pan/i/ kontakt z zakaźnie chorym?
31. Czy w ciągu ostatnich 6 miesięcy przebywał/a Pan/i/ w areszcie lub w więzieniu?
32. Czy kiedykolwiek lekarz nie zakwalifikował Pana/i/ do oddania krwi?
33. Czy wykonuje Pan/i/ niebezpieczną pracę (np.kierowca autobusu) lub ma niebezpieczne hobby (np.nurek)?
Tylko dla kobiet:
□
Jeżeli tak,to kiedy ostatnio? ........................................................
35. Czy jest Pani obecnie w ciąży lub była Pani w ciąży w ciągu ostatnich 12 miesięcy lub od czasu ostatniej donacji?
Jeżeli tak, proszę podać datę porodu……………………………
□ 36. Czy w latach 1965-1985 otrzymywała Pani zastrzyki hormonów w celu leczenia niepłodności?
Zaznacz rodzaj zabiegu do wykonania:
□ pobranie krwi pełnej
□ pobranie osocza metodą plazmaferezy automatycznej
□ pobranie krwinek płytkowych metodą tromboaferezy automatycznej
□ pobranie krwi do autotransfuzji
……………………………………………………………………………………………………………………………………….
Oświadczam, że zostałem/am poinformowany/a o rodzaju zabiegu i jego częstotliwości oraz o tym, że w każdej chwili mogę wycofać
zgodę na oddanie krwi. Zostałem/am poinformowany/a o sposobie przeprowadzenia zabiegu pobrania krwi i dających się przewidzieć
następstwach dla mojego stanu zdrowia. Oświadczam, że w zgodzie z moim sumieniem i posiadaną wiedzą podane wyżej informacje
o przebytych chorobach i obecnym stanie zdrowia są prawdziwe i dokładne. Rozumiem, że mają one na celu ochronę mojego zdrowia
jako dawcy i zapewnienie bezpieczeństwa biorcy krwi. Uważam, że moja krew nadaje się do celów leczniczych.
>
W przypadku wystąpienia w ciągu 48 godzin od donacji jakichkolwiek objawów chorobowych zobowiązuję się do telefonicznego
powiadomienia o tym RCKiK w Opolu.
>
W razie otrzymania zawiadomienia z RCKiK o konieczności odbioru wyników badań zobowiązuję się do ich terminowego odbioru.
Jednocześnie przyjmuję do wiadomości, że jeżeli pomimo trzykrotnego zawiadomienia wyniki nie zostaną przeze mnie odebrane, RCKiK
nie ponosi odpowiedzialności za konsekwencje wynikłe z tego faktu.
>
W przypadku zmiany mojego miejsca zamieszkania (adresu),która nastąpiła w ciągu trzech miesięcy od czasu oddania krwi zobowiązuję się
zawiadomić o tej zmianie RCKiK w Opolu. Adres aktualny: ………………………………………………………………………………………..
Jednocześnie informujemy Państwa , że podane w ankiecie dane osobowe zostaną umieszczone w zbiorze danych osobowych przetwarzanych
na potrzeby publicznej służby krwi. Na podstawie Art. 32 Ustawy o ochronie danych osobowych (Dz.U. z 1997r. Nr 133 poz. 883) przysługuje
Panu/i /prawo do uzyskania informacji dotyczących zbioru danych osobowych oraz kontroli w zakresie przetwarzania danych osobowych.
>
Nasz adres: 40-372 Opole ul.Kośnego 55
telefon: 77 44-10-600 lub 700.
http://www.rckik-opole.com.pl
Wyrażam zgodę na wyżej zaznaczony zabieg i potwierdzam, że zapoznałem/am się z powyższymi informacjami :
Data: …………….……
...…………………………..
/ podpis
Pieczątka i podpis
osoby weryfikującej :
krwiodawcy /
Pieczątka i podpis
lekarza sprawdzającego: