otwórz plik

Transkrypt

otwórz plik
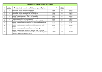
4. CENTRUM ZDROWIA PSYCHICZNEGO
lp.
kod
procedury
1
2
3
4
5
6
7
8
-
9
-
10
-
11
-
12
-
Rodzaj usługi - badania psychiatryczne / psychologiczne
Komercyjne badanie psychiatryczne I wizyta
Komercyjne badanie psychiatryczne kolejna wizyta
Komercyjne badanie psychologiczne pierwsza wizyta
Komercyjne badanie psychologiczne kolejna wizyta
Badanie testem inteligencji - Testy IQ, organika, itp.
Udział w komercyjnej grupie terapeutycznej- za sesję
Treningi umiejętności - za dzień szkolenia
Badanie psychiatryczne osób ubiegajacych się o licencję detektywa
Badanie psychiatryczne osób ubiegajacych się o licencję pracownika
ochrony
Badanie psychiatryczne w ramach oceny zdolności dysponowania
bronią
Badanie psychiatryczne Inspekcja Transportu Drogowego
Badanie psychiatryczne na potrzeby medycyny pracy w zakresie
orzekania o czasowej niezdolnosci do służby z powodu choroby (Zał.nr
1 do Wyt. CKL MSW z dn. 30.07.2014)
Cena netto w zł
Stawka
VAT w %
Cena brutto w zł
120,00
100,00
100,00
80,00
146,34
70,00
300,00
100,00
zw
23
120,00
100,00
100,00
80,00
180,00
70,00
300,00
123,00
90,00
23
110,70
90,00
23
110,70
40,00
23
49,20
120,00
23
147,60
zw
zw
zw
23
zw
zw