SIWZ-serwer - Elektrownia Chorzów SA

Transkrypt

SIWZ-serwer - Elektrownia Chorzów SA
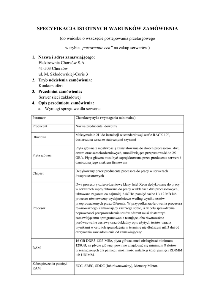
SPECYFIKACJA ISTOTNYCH WARUNKÓW ZAMÓWIENIA
(do wniosku o wszczęcie postępowania przetargowego
w trybie „porównanie cen” na zakup serwerów )
1. Nazwa i adres zamawiającego:
Elektrownia Chorzów S.A.
41-503 Chorzów
ul. M. Skłodowskiej-Curie 3
2. Tryb udzielenia zamówienia:
Konkurs ofert
3. Przedmiot zamówienia:
Serwer sieci zakładowej
4. Opis przedmiotu zamówienia:
a. Wymogi sprzętowe dla serwera:
Parametr
Charakterystyka (wymagania minimalne)
Producent
Nazwa producenta: dowolny
Obudowa
Maksymalnie 2U do instalacji w standardowej szafie RACK 19”,
dostarczona wraz ze statycznymi szynami
Płyta główna
Płyta główna z moŜliwością zainstalowania do dwóch procesorów, dwu,
cztero oraz sześciordzeniowych, umoŜliwiająca przepustowość do 25
GB/s. Płyta główna musi być zaprojektowana przez producenta serwera i
oznaczona jego znakiem firmowym
Chipset
Dedykowany przez producenta procesora do pracy w serwerach
dwuprocesorowych
Procesor
Dwa procesory czterordzeniowe klasy Intel Xeon dedykowane do pracy
w serwerach zaprojektowane do pracy w układach dwuprocesorowych,
taktowane zegarem co najmniej 2.4GHz, pamięć cache L3 12 MB lub
procesor równowaŜny wydajnościowo według wyniku testów
przeprowadzonych przez Oferenta. W przypadku zaoferowania procesora
równowaŜnego Zamawiający zastrzega sobie, iŜ w celu sprawdzenia
poprawności przeprowadzenia testów oferent musi dostarczyć
zamawiającemu oprogramowanie testujące, oba równowaŜne
porównywalne zestawy oraz dokładny opis uŜytych testów wraz z
wynikami w celu ich sprawdzenia w terminie nie dłuŜszym niŜ 3 dni od
otrzymania zawiadomienia od zamawiającego.
RAM
16 GB DDR3 1333 MHz, płyta główna musi obsługiwać minimum
128GB, na płycie głównej powinno znajdować się minimum 8 slotów
przeznaczonych dla pamięci, moŜliwość instalacji kości pamięci RDIMM
lub UDIMM.
Zabezpieczenia pamięci
RAM
ECC, SBEC, SDDC (lub równowaŜny), Memory Mirror.
Gniazda PCI
Minimum 3 złącza PCI-E drugiej generacji
Interfejsy sieciowe
Minimum 2 porty typu 10/100/1000 Ethernet wbudowane na płycie
głównej.
Napęd optyczny
Wewnętrzny napęd DVD-ROM
Dyski twarde
MoŜliwość instalacji min. 8 dysków SATA, SAS oraz SSD.
Zainstalowane 4 dyski 500GB typu HotPlug SATA skonfigurowane jako
RAID 10.
Kontroler RAID
Dedykowany kontroler RAID. Pamięć podręczna minimum 256MB, z
podtrzymaniem bateryjnym, moŜliwe konfiguracje 0, 1, 10, 5, 50, 6, 60.
Porty
6 x USB 2.0 z czego 2 na przednim panelu obudowy, 2 na tylnym panelu
obudowy i dwa wewnętrzne, 2 x RJ-45, VGA, 1 port szeregowy
Video
Zintegrowana karta graficzna, umoŜliwiająca rozdzielczość min.
1280x1024.
Elementy redundantne
HotPlug
Min. dyski twarde, zasilacze
Zasilacze
Wysokowydajne, redundantne zasilacze o mocy maksymalnie 750W.
Bezpieczeństwo
Zintegrowany z płytą główną moduł TPM, moŜliwość zainstalowania
wewnętrznej karty pamięci SD oraz klucza USB.
Zintegrowany z płytą główną moduł zawierający sterowniki do systemów
operacyjnych i oprogramowanie zgodne ze standardem UEFI
umoŜliwiające:
Zarządzanie
uaktualnienie przechowywanych sterowników i firmware’u urządzeń
konfigurację kontrolera RAID
instalację systemu operacyjnego bez konieczności korzystania z
dodatkowej płyty ze sterownikami
Zintegrowana z płytą główną lub zainstalowana w dedykowanym slocie
karta zarządzająca umoŜliwiająca:
zdalne monitorowanie i informowanie o statusie serwera (m.in. prędkości
obrotowej wentylatorów, konfiguracji serwera, )
szyfrowane połączenie (SSLv3) oraz autentykację i autoryzację
uŜytkownika
Karta Zarządzania
wsparcie dla IPv6
wsparcie dla WSMAN (Web Service for Managament); SNMP; IPMI2.0,
VLAN tagging, Telnet, SSH
moŜliwość zdalnego monitorowania w czasie rzeczywistym poboru
prądu przez serwer
moŜliwość zdalnego ustawienia limitu poboru prądu przez konkretny
serwer
integracja z Active Directory
moŜliwość obsługi przez dwóch administratorów jednocześnie
wsparcie dla dynamic DNS
moŜliwość podłączenia lokalnego poprzez złącze RS-232
Diagnostyka
Panel LCD umieszczony na froncie obudowy, umoŜliwiający
wyświetlenie informacji o adresie IP, stanie procesora, pamięci, dysków,
aktualnym poborze mocy oraz wysokości temperatury
Serwer musi być wyprodukowany zgodnie z normą ISO-9001 oraz ISO14001.
Deklaracja CE.
Certyfikaty
Oferowany serwer musi znajdować się na liście Windows Server Catalog
i posiadać status „Designed for Windows” dla minimum MS Windows
Server 2003 w wersji x86 i x64.
Wymagane jest dostarczenie odpowiednich certyfikatów.
Minimum pięć lat gwarancji podstawowej.
Warunki gwarancji
Firma serwisująca musi posiadać ISO 9001:2000 na świadczenie usług
serwisowych oraz posiadać autoryzacje producenta serwera – dokumenty
potwierdzające załączyć do oferty.
Oświadczenie producenta serwera, Ŝe w przypadku nie wywiązywania
się z obowiązków gwarancyjnych oferenta lub firmy serwisującej,
przejmie na siebie wszelkie zobowiązania związane z serwisem.
Zamawiający wymaga dokumentacji w języku polskim lub angielskim.
Dokumentacja
uŜytkownika
MoŜliwość telefonicznego sprawdzenia konfiguracji sprzętowej serwera
oraz warunków gwarancji po podaniu numeru seryjnego bezpośrednio u
producenta lub jego przedstawiciela.
b. Oprogramowanie systemowe:
Oprogramowanie
systemowe dla serwera
Windows Server 2008 R2, Standard Edition 64Bit, 20 CALS
c. Termin dostawy – maksymalnie do 21 dni kalendarzowych od daty zawarcia
umowy,
d. Cena do 26.000,00 zł nettoza sztukę,
5. Termin wykonania zamówienia
Grudzień 2011-Styczeń 2012 r.
6. Podmioty uprawnione do złoŜenia ofert:
Osoby fizyczne prowadzące działalność gospodarczą lub osoby prawne, posiadające
uprawnienia producenta serwerów do ich dystrybucji
7. Wykaz dokumentów i oświadczeń, jakie dostawcy mają dostarczyć w celu
potwierdzenia spełnienia warunków udziału w postępowaniu.
a. dane oferenta,
b. zaświadczenie o prowadzeniu działalności gospodarczej – osoby fizyczne, wydane
nie wcześniej niŜ 3 m-ce przed złoŜeniem oferty,
c. aktualny odpis z KRS, nie wcześniej wydany niŜ 3 miesiące przed złoŜeniem
oferty, osoby prawne,
d. zaświadczenie o niezaleganiu ze składkami z ZUS,
e. zaświadczenie o niezaleganiu z opłatami w Urzędzie Skarbowym,
f. zaświadczenie o posiadaniu uprawnienia producenta maszyn do ich dystrybucji,
g. dane techniczne oferowanej maszyny,
h. Oświadczenie, potwierdzające akceptację projektu umowy sprzedaŜy,
przedstawionego jako załącznik nr 1 do SIWZ przez Zamawiającego.
8. Ceny:
a. cena netto (W ROZBICIU NA SOFTWARE I HARDWARE)
b. cena brutto (z VAT)
9. Wymagania dotyczące złoŜenia wadium:
ZłoŜenie wadium nie jest wymagane.
10. Opis udziału w postępowaniu:
a. Udział w postępowaniu mogą wziąć podmioty wymienione w pkt. 6 SIWZ
spełniające podane w nim kryteria,
b. WaŜne są oferty zawierające wymagane w pkt. 7 i 8 SIWZ dokumenty i
oświadczenia oraz opis sposobu obliczania ceny,
c. WaŜne są oferty zawierające wymagania ujęte w pkt. 4 SIWZ,
d. ZłoŜenie w terminie oferty w zamkniętej kopercie,
11. Opis sposobu przygotowania ofert:
a. Oferty naleŜy składać w zamkniętych kopertach,
b. Na kopercie naleŜy umieścić napis następującej treści, „ Serwer”,
c. Koperta winna być opieczętowana,
d. Oferta winna zawierać spis treści i załączone zgodnie ze spisem treści dokumenty
ponumerowane oraz zgodnie z wymaganiami SIWZ,
12. Miejsce oraz termin składania ofert:
a. Oferty naleŜy składać w zamkniętych kopertach w terminie do dnia 28.12.2011 r.
do godziny 14,00 w siedzibie zamawiającego osobiście lub listem poleconym,
b. Oferty dostarczone listem poleconym lub kurierem - liczy się data i godzina
wpływu do siedziby zamawiającego tj. w dniu 28.12.2011 do godz. 14,00
13. Opis sposobu dokonania oceny udziału w postępowaniu pod kątem spełnienia
warunków SIWZ :
1.) W części jawnej komisja przetargowa dokonuje:
a. Sprawdzenia kopert,
b. Otwarcia kopert,
c. Przejrzenia ofert,
d. Podanie ceny netto oferty, bez podania innych składników oferty,
2.) W części niejawnej komisja przetargowa dokonuje
a.
Sprawdzenia pod kątem formalnym spełnienia wymogów SIWZ-- załączonych
b.
Dopuszcza ofertę do dokumentów, dalszego postępowania,
c.
Odrzuca ofertę z podaniem przyczyny,
d.
Oblicza punktację na podstawie oferty,
e.
Sporządza protokół z otwarcia ofert,
3.) W części jawnej mogą brać udział umocowani przedstawiciele oferentów,
14. Opis kryterium, którymi zamawiający kieruje się przy wyborze oferty wraz z
podaniem tych kryteriów oraz sposobu oceny oferty:
1.) Zamawiający kieruje się przy wyborze oferty następującymi kryteriami:
a. Spełnienie warunków wymaganych przez zamawiającego odnośnie serwerów - 0-2
punktów
− 0-punktów, gdy są spełnione wszystkie warunki techniczne wymienione w
punkcie 4 SIWZ,
− 1 lub 2 punkty w zaleŜności od dodatkowego wyposaŜenia
b. Cena końcowa– 0-16 punktów
− 0-punktów dla maksymalnej ceny,
− 16-punktów dla minimalnej ceny
c. Gwarancje – 0-2 punktów
− 0-punktów dla 12 m-cy,
− 1 lub 2 punkty powyŜej 12 m-cy)
d. Termin dostawy -0-2 punktów
− 0-punktów dla 21 dni,
− 1 lub 2 punkty poniŜej 21 dni)
2.) Wybrana zostaje oferta z najwyŜszą ilością punktów,
15. Termin związania z ofertą:
W dniach 21.12.2011r.-28.12.2011r.
16. Informacje o sposobie kontaktowania się z zamawiającym:
a. Sopot Marek- Dyrektor Techniczny
− Tel. 697 092 200,
− e-mail [email protected]
b. Strzałka Marek- kierownik oddziału teleinformatycznego
− Tel. 697 091 200,
− e-mail [email protected]
17. Pouczenie o prawie zamawiającego:
a. Odstąpienia od konkursu ofert bez podania przyczyny,
b. UniewaŜnienia konkursu ofert bez podania przyczyny
c. Transakcja zostanie zrealizowana po uzyskaniu zgody odpowiedniego organu
zamawiającego.
18. Informacja, gdzie moŜna uzyskać SIWZ;
a. Zakładowa komisja przetargowa,
b. Na stronie internetowej zamawiającego www.elektrownia.chorzow.pl w dziale
Ogłoszenia->Przetargi
Opracował: Marek Strzałka
Zatwierdził…………………………….