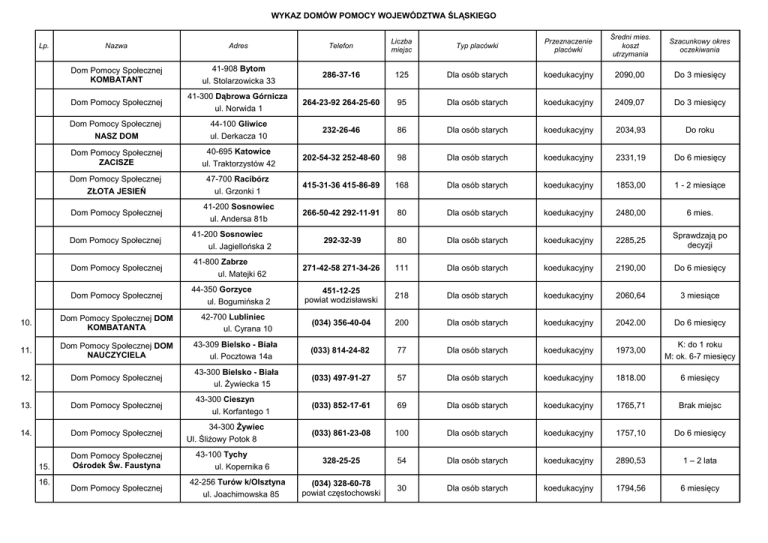
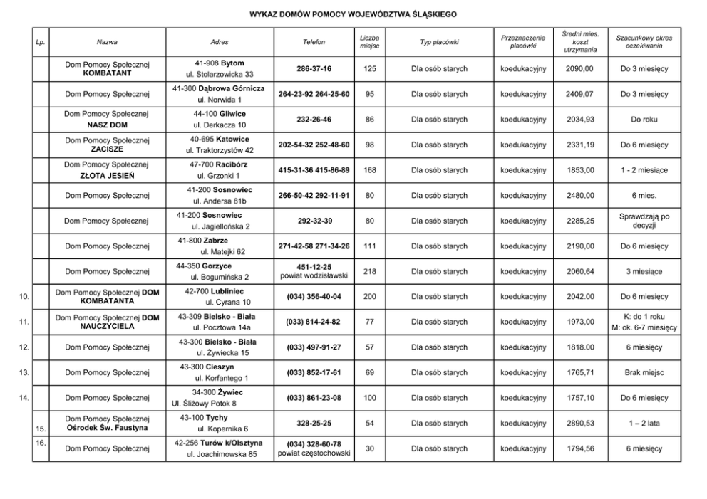
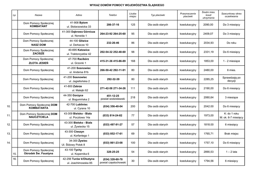
wykaz domów pomocy województwa śląskiego

Transkrypt

wykaz domów pomocy województwa śląskiego
WYKAZ DOMÓW POMOCY WOJEWÓDZTWA ŚLĄSKIEGO
Lp.
Nazwa
Adres
Telefon
Liczba
miejsc
Typ placówki
Przeznaczenie
placówki
Średni mies.
koszt
utrzymania
Szacunkowy okres
oczekiwania
Dom Pomocy Społecznej
KOMBATANT
41-908 Bytom
ul. Stolarzowicka 33
286-37-16
125
Dla osób starych
koedukacyjny
2090,00
Do 3 miesięcy
Dom Pomocy Społecznej
41-300 Dąbrowa Górnicza
ul. Norwida 1
264-23-92 264-25-60
95
Dla osób starych
koedukacyjny
2409,07
Do 3 miesięcy
Dom Pomocy Społecznej
NASZ DOM
44-100 Gliwice
ul. Derkacza 10
232-26-46
86
Dla osób starych
koedukacyjny
2034,93
Do roku
Dom Pomocy Społecznej
ZACISZE
40-695 Katowice
ul. Traktorzystów 42
202-54-32 252-48-60
98
Dla osób starych
koedukacyjny
2331,19
Do 6 miesięcy
Dom Pomocy Społecznej
ZŁOTA JESIEŃ
47-700 Racibórz
ul. Grzonki 1
415-31-36 415-86-89
168
Dla osób starych
koedukacyjny
1853,00
1 - 2 miesiące
Dom Pomocy Społecznej
41-200 Sosnowiec
ul. Andersa 81b
266-50-42 292-11-91
80
Dla osób starych
koedukacyjny
2480,00
6 mies.
Dom Pomocy Społecznej
41-200 Sosnowiec
ul. Jagiellońska 2
292-32-39
80
Dla osób starych
koedukacyjny
2285,25
Sprawdzają po
decyzji
Dom Pomocy Społecznej
41-800 Zabrze
ul. Matejki 62
271-42-58 271-34-26
111
Dla osób starych
koedukacyjny
2190,00
Do 6 miesięcy
Dom Pomocy Społecznej
44-350 Gorzyce
ul. Bogumińska 2
451-12-25
powiat wodzisławski
218
Dla osób starych
koedukacyjny
2060,64
3 miesiące
10.
Dom Pomocy Społecznej DOM
KOMBATANTA
42-700 Lubliniec
ul. Cyrana 10
(034) 356-40-04
200
Dla osób starych
koedukacyjny
2042.00
Do 6 miesięcy
11.
Dom Pomocy Społecznej DOM
NAUCZYCIELA
43-309 Bielsko - Biała
ul. Pocztowa 14a
(033) 814-24-82
77
Dla osób starych
koedukacyjny
1973,00
K: do 1 roku
M: ok. 6-7 miesięcy
12.
Dom Pomocy Społecznej
43-300 Bielsko - Biała
ul. Żywiecka 15
(033) 497-91-27
57
Dla osób starych
koedukacyjny
1818.00
6 miesięcy
13.
Dom Pomocy Społecznej
43-300 Cieszyn
ul. Korfantego 1
(033) 852-17-61
69
Dla osób starych
koedukacyjny
1765,71
Brak miejsc
14.
Dom Pomocy Społecznej
(033) 861-23-08
100
Dla osób starych
koedukacyjny
1757,10
Do 6 miesięcy
328-25-25
54
Dla osób starych
koedukacyjny
2890,53
1 – 2 lata
(034) 328-60-78
powiat częstochowski
30
Dla osób starych
koedukacyjny
1794,56
6 miesięcy
15.
16.
Dom Pomocy Społecznej
Ośrodek Św. Faustyna
Dom Pomocy Społecznej
34-300 Żywiec
Ul. Śliżowy Potok 8
43-100 Tychy
ul. Kopernika 6
42-256 Turów k/Olsztyna
ul. Joachimowska 85
Lp.
17.
Nazwa
Adres
Telefon
Liczba
miejsc
Typ placówki
Przeznaczenie
placówki
Średni mies.
koszt
utrzymania
Szacunkowy okres
oczekiwania
Dom Pomocy Społecznej
44-185 Wiśnicze
ul. Wiejska 42a
233-62-06
powiat gliwicki
72
Dla osób starych
koedukacyjny
2000.51
Do kilku m-cy
18
Dom Pomocy Społecznej
41-700 Ruda Śląska
ul. Wolności 30
243-65-94
75
Dla osób starych
koedukacyjny
2016,10
3 lata
19
Dom Pomocy Społecznej
BETANIA
43-400 Cieszyn
ul. katowicka 1
(033) 851-02-44
30
Dla osób starych, osób
przewlekle somatycznie
chorych
koedukacyjny
1782,51
Brak miejsc
20
Dom Pomocy Społecznej
41-500 Chorzów
ul. Powstańców 45
346-24-60
78
Dla osób starych
kobiety
1930,00
K: 1,5 roku
21
Dom Pomocy Społecznej
44-103 Gliwice
ul. Odrowążów 124
332-06-32
50
Dla osób starych
Koedukacyjny
1882,00
Brak miejsc
22
Dom Pomocy Społecznej SOAR
43-300 Bielsko - Biała
ul. Modrzewskiego 25
(033) 812-61-64
25
Dla osób starych
koedukacyjny
1979,00
2 lata
23
Dom Pomocy Społecznej
Ewangelickiego Domu Opieki
OSTOJA
41-908 Bytom
ul. Matki Ewy 1
286-34-00
280-60-86
56
Dla osób starych
koedukacyjny
1897,00
Do 6 miesięcy
24
Dom Pomocy Społecznej
EMAUS
43-445 Dzięgielów
ul. Dzięgielów 257
(033) 852-97-82
powiat cieszyński
57
Dla osób starych
koedukacyjny
1928,33
Do 3 miesięcy
25
Dom Pomocy Społecznej
41-500 Chorzów
ul. Wandy 64
241-15-13
57
Dla osób starych
koedukacyjny
2096,00
4 lata
26
Dom Pomocy Społecznej
44-100 Gliwice
ul. Pszczyńska 100
232-33-50
47
Dla osób przewlekle
somatycznie chorych
koedukacyjny
2099,14
K : 3 lata
M : 30 os. Na liście
27
Dom Pomocy Społecznej
43-600 Jaworzno
ul. Obrońców Poczty
Gdańskiej 65
616-24-91
616-36-01
125
Dla osób przewlekle
somatycznie chorych
koedukacyjny
2396,29
Wolne miejsca
28
Dom Pomocy Społecznej
40-158 Katowice
ul. Adamskiego 22
2513-919
100
Dla osób przewlekle
somatycznie chorych
koedukacyjny
2575,04
6 miesięcy
29
Dom Pomocy Społecznej
41-704 Ruda Śląska
ul. Puszkina 7
248-13-55
150
Dla osób przewlekle
somatycznie chorych
koedukacyjny
2400,14
Do roku
30
Dom Pomocy Społecznej
41-800 Zabrze
ul. Brysza 3
271-38-61
70
Dla osób przewlekle
somatycznie chorych
koedukacyjny
2395,00
Brak miejsc
31
Dom Pomocy Społecznej
41-800 Zabrze
ul. Jaskółcza 11
271-48-54
81
Dla osób przewlekle
somatycznie chorych
koedukacyjny
2330,00
Brak wolnych
miejsc
32
Dom Pomocy Społecznej
41-800 Zabrze
ul. Cisowa 6
271-38-17
57
Dla osób przewlekle
somatycznie chorych
koedukacyjny
2312,00
6 miesięcy
33
Dom Pomocy Społecznej
43-346 Bielsko - Biała....
(033) 812-35-99
126
Dla osób przewlekle
koedukacyjny
2440,46
Brak miejsc
.
Lp.
Nazwa
Adres
Telefon
Liczba
miejsc
ul. Olimpijska 11
34
Dom Pomocy Społecznej
HOSPICJUM
35
Dom Pomocy Społecznej
FENIKS
36
43-300 Bielsko - Biała.....
ul. Armii Krajowej 181
Typ placówki
Przeznaczenie
placówki
Średni mies.
koszt
utrzymania
Szacunkowy okres
oczekiwania
somatycznie chorych
(033) 81471-45
48
Dla osób przewlekle
somatycznie chorych
koedukacyjny
3360,25
Ok. 1 miesiąca
43-300 Skoczów
ul. Sportowa 13
(033) 853-36-40
powiat cieszyński
141
Dla osób przewlekle
somatycznie chorych
koedukacyjny
1951,95
3 miesiące
Dom Pomocy Społecznej
42-200 Częstochowa
ul. Wieluńska 1
(034) 324-29-14
110
Dla osób przewlekle
somatycznie chorych
Koedukacyjny
1880,00
K : 1 rok
M : 1,5 roku
37
Dom Pomocy Społecznej
PRZYJAŹŃ
42-600 Tarnowskie Góry
ul. Włoska 24
285-58-98
126
Dla osób przewlekle
somatycznie chorych
koedukacyjny
1948,57
1 roku
38
Dom Pomocy Społecznej
SAMARYTANIN
43-316 Bielsko - Biała
ul. Bednarska 10
(033) 814-21-92
80
Dla osób przewlekle
somatycznie chorych, dla
osób starych
koedukacyjny
1955,00
ok. roku
39
Dom Pomocy Społecznej
BURSZTYN
43-525 Kończyce Małe
ul. Staropolska 14
469-35-71
powiat cieszyński
37
Dla dorosłych
niepełnosprawnych
intelektualnie
kobiety
1941,41
1 – 2 lata
40
Dom Pomocy Społecznej
ZAMECZEK
44-143 Kuźnia Nieborowska
ul. Knurowska 13
235-16-30
powiat gliwicki
51
Dla dorosłych
niepełnosprawnych
intelektualnie
mężczyźni
2159,00
3 – 4 lat
41
Dom Pomocy Społecznej
WĘDROWIEC
41-908 Bytom
ul. Frenzla 204
280-60-35
powiat bytomski
40
Dla dorosłych
niepełnosprawnych
intelektualnie
kobiety
2090,00
9 – 10 lat
42
Dom Pomocy Społecznej
43-424 Drogomyśl
ul. Modrzewiowa 1
033 857-21-25
40
Dla dorosłych
niepełnosprawnych
intelektualnie
mężczyźni
1768,03
1 rok
43
Dom Pomocy Społecznej
Pogórze 201
43-430 Skoczów
(033) 853-35-52
powiat cieszyński
180
Dla dorosłych
niepełnosprawnych
intelektualnie
kobiety
1768,03
1 rok
44
Dom Pomocy Społecznej
41-103 Siemianowice
ul. Maciejkowicka 8
228-12-08
44
Dla dorosłych
niepełnosprawnych
intelektualnie
kobiety
1929,78
Ok. 3-4 lata
45
Dom Pomocy Społecznej
41-600 Świętochłowice
ul. Kubiny 11
245-27- 35
80
Dla dorosłych
niepełnosprawnych
intelektualnie
mężczyźni
1850,00
7 lat
46
Dom Pomocy Społecznej
42-674 Zbrosławice
ul. Wolności 34
233-70-42
powiat tarnogórski
70
Dla dorosłych
niepełnosprawnych
intelektualnie
mężczyźni
2059,00
10 lat
47
Dom Pomocy Społecznej
42-200 Częstochowa
ul. Wesoła 14
(034) 361-88-94
80
kobiety
1968,00
1 rok
Dla dorosłych
niepełnosprawnych
Lp.
Nazwa
Adres
Telefon
Liczba
miejsc
Typ placówki
Przeznaczenie
placówki
Średni mies.
koszt
utrzymania
Szacunkowy okres
oczekiwania
intelektualnie
(034) 324-08-82
79
Dla dorosłych
niepełnosprawnych
intelektualnie
mężczyźni
1803,00
1 rok
(034)314-50-18
powiat częstochowski
104
Dla dorosłych
niepełnosprawnych
intelektualnie
kobiety
1893,50
1 rok
241-00-00
89
Dla dzieci i młodzieży
niepełnosprawnej
intelektualnie
koedukacyjny
2007,00
Wolne miejsce
42-676 Miedary
ul. Zamkowa 7
233-71-28
powiat tarnogórski
120
Dla niepełnosprawnych
intelektualnie
mężczyźni
1950,00
Wstrzymane
przyjęcia
Dom Pomocy Społecznej
43-180 Orzesze
ul. Traugutta 45
221-53-62
powiat mikołowski
102
Dla dzieci i młodzieży
niepełnosprawnej
intelektualnie
mężczyźni
2175,24
7 os. oczekują
53
Dom Pomocy Społecznej
OSTOJA
44-153 Sośnicowice
ul. Kozielska 1
238-75-43
powiat gliwicki
158
Dla dzieci i młodzieży
niepełnosprawnej
intelektualnie
kobiety
1980,90
3 - 6m-cy
brak miejsc
wolnych
54
Dom Pomocy Społecznej
ZAMECZEK
42-700 Lubliniec
ul. 74 Górn. Pułku Piechoty 2
(034) 353-77-26
95
Dla dzieci i młodzieży
niepełnosprawnej
intelektualnie
koedukacyjny
2495,00
1 – 2 lat
55
Dom Pomocy Społecznej
47-450 Krzyżanowice
ul. Kolejowa 4
419-40-20
powiat raciborski
60
Dla dzieci i młodzieży
niepełnosprawnej
intelektualnie
kobiety
1890,80
3 – 4 lata
56
Dom Pomocy Społecznej
42-620 Nakło Śląskie
ul. Głowna 8
284-32-34
powiat tarnogórski
60
Dla dzieci i młodzieży
niepełnosprawnej
intelektualnie
mężczyźni
1869,18
Stan pełny
57
Dom Pomocy Społecznej
43-253 Pielgrzymowice
ul. Golasowicka 15
472-30-07
powiat pszczyński
90
Dla dzieci i młodzieży
niepełnosprawnej
intelektualnie
kobiety
1860,50
1 -3 lat
58
Dom Pomocy Społecznej
44-145 Pilchowice
ul. Damrota 7
235-65-26
powiat gliwicki
60
Dla dzieci i młodzieży
niepełnosprawnej
mężczyźni
1957,92
1- 3 lat
59
Dom Pomocy Społecznej
41-707 Ruda Śląska
ul. Piłsudskiego 43
242-82-88
55
Dla dzieci i młodzieży
niepełnosprawnej
mężczyźni
1893,45
Wstrzymane
przyjęcia, ew.
interwencję
60
Dom Pomocy Społecznej
41-300 Wodzisław Śląski
ul. Wolności 35
455-10-30
53
Dla dzieci i młodzieży
niepełnosprawnej
kobiety
1967,25
Brak miejsc
48
Dom Pomocy Społecznej
42-200 Częstochowa
ul. Św. Jadwigi 84/86
49
Dom Pomocy Społecznej
42-297 Poraj
ul. Jasna 6
50
Dom Pomocy Społecznej
REPUBLIKA
41-500 Chorzów
ul. Michałkowicka 4
51
Dom Pomocy Społecznej
52
Lp.
Nazwa
Adres
Telefon
Liczba
miejsc
Typ placówki
Przeznaczenie
placówki
Średni mies.
koszt
utrzymania
Szacunkowy okres
oczekiwania
61
Dom Pomocy Społecznej
43-300 Bielsko – Biała
Ul. Żywiecka 20
(033) 816-39-93
69
Dla dzieci i młodzieży
niepełnosprawnych
kobiety
1794,00
Brak miejsc
62
Dom Pomocy Społecznej
43-430 Skoczów
ul. Mickiewicza 36
(033) 853-37-74
powiat cieszyński
40
Dla dzieci i młodzieży
intelektualnie
mężczyźni
1797,19
1 rok
63
Dom Pomocy Społecznej
43-246 Strumień
ul. 1 Maja 12
(033) 857-02-50
powiat cieszyński
90
Dla dzieci i młodzieży
intelektualnie
mężczyźni
1918,98
6 miesięcy
64
Ośrodek dla Niepełnosprawnych
Mikołów Borowa Wieś
ul. Gliwicka 366
226-13-91
140
Dla dzieci i młodzieży
intelektualnie
koedukacyjny
2679,00
5 – 6 lat
65
Dom Pomocy Społecznej
42-506 Będzin Grodziec
ul. Mickiewicza 2
267-35-38
117
Osób przewlekle psychicznie
chorych
koedukacyjny
1990,00
5-6 lat
66
Dom Pomocy Społecznej
430-00-06
138
Osób przewlekle psychicznie
chorych
koedukacyjny
1780,16
Brak miejsc
67
Dom Pomocy Społecznej
233-12-24
powiat tarnogórski
68
Osób przewlekle psychicznie
chorych
koedukacyjny
1999,00
M :5 lat
K : 1 rok
68
Dom Pomocy Społecznej
222-21-01
50
Osób przewlekle psychicznie
chorych
koedukacyjny
2182,84
Brak miejsc
69
Dom Pomocy Społecznej
42-650 Piekary Śląskie
ul. Trautmana 4
287-92-63
160
Osób przewlekle psychicznie
chorych
koedukacyjny
1870,00
Brak miejsc
70
Dom Pomocy Społecznej
42-400 Zawiercie
ul. Rzemieślnicza 9
672-22-56
193
Osób przewlekle psychicznie
chorych
koedukacyjny
1913,00
2 lata
71
Dom Pomocy Społecznej
(034)327-03-76
powiat częstochowski
152
Osób przewlekle psychicznie
chorych
koedukacyjny
1815,37
Do roku
72
Dom Pomocy Społecznej
42-700 Lubliniec
ul. Kochcicka 14
(034)356-32-66
245
Osób przewlekle psychicznie
chorych
mężczyźni
1635,00
ok. 5 lat
73
Dom Pomocy Społecznej
42-286 Koszęcin
ul. Dąbrówki 1
(034)357-62-11
powiat lubliniecki
33
Osób przewlekle psychicznie
chorych
kobiety
1635,00
Ok. 5 lat
74
Dom Pomocy Społecznej
42-200 Częstochowa
ul. Kontkiewicza 2
(034) 364-38-15
96
Osób przewlekle psychicznie
chorych
koedukacyjny
1862,00
K :2 lata
M :4 lata
75
Dom Pomocy Społecznej
42-235 LELÓW
ul. Szczekocińska 19
(034) 355-82-96
powiat częstochowski
86
Osób przewlekle psychicznie
chorych
koedukacyjny
1759,50
3- 4 lata
76
Dom Pomocy Społecznej
43-200 Pszczyna
ul. Warowna 59
210-45-81
80
Osób przewlekle psychicznie
chorych
koedukacyjny
1864,60
Brak miejsc
44-295 Lyski
ul. Rybnicka 7
44-131 Łubie
ul. Pyskowicka 34
41-404 Mysłowice
ul. Reja 54
42-290 Blachownia
ul. Sienkiewicza 6
Telefon
Liczba
miejsc
Typ placówki
Przeznaczenie
placówki
Średni mies.
koszt
utrzymania
Szacunkowy okres
oczekiwania
242-86-01
55
Osób przewlekle psychicznie
chorych
kobiety
1843,39
5 lat
41-100 Siemianowice Śl.
ul. Św. Barbary 5
228-21-03
90
Osób przewlekle psychicznie
chorych
koedukacyjny
1984,99
K: 1 rok
M: 14 lat
Dom Pomocy Społecznej
42-600 Tarnowskie Góry
ul. Gliwicka 22
285-37-85
65
Osób przewlekle psychicznie
chorych
kobiety
1905,00
1 rok
80
Dom Pomocy Społecznej
43-400 Cieszyn
Plac Londzina 1
(033) 852-02-68
116
Osób przewlekle psychicznie
chorych
mężczyźni
1988,88
2 lata
81
Dom Pomocy Społecznej
281-41-23
155
Osób przewlekle psychicznie
chorych
koedukacyjny
1856,00
K : 6 lat
M : 11 – 12 lat
82
Dom Pomocy Społecznej
41-500 Chorzów
ul. Siemianowicka 101
241-18-53
156
Osób niepełnosprawnych
fizycznie
koedukacyjny
2110,00
1 rok
83
Dom Pomocy Społecznej
43-365 Wilkowice
ul. Kościelna 5
(033) 817-14-91
powiat bielski
39
Osób niepełnosprawnych
fizycznie
koedukacyjny
1999,00
3-6 m-cy
84
Dom Pomocy Społecznej
Ruda Śląska
ul. Kłodnicka 103
Halemba
243-34-84
-
koedukacyjny
2020,96
-
Lp.
Nazwa
77
Dom Pomocy Społecznej
78
Dom Pomocy Społecznej
79
Adres
41-707 Ruda Śląska
ul. Oddz. Młodzież
Powstańczej
41-902 Bytom
ul. Dworcowa 7
Dzieci i młodzież
niepełnosprawna