Wykaz zawodników kadry narodowej mężczyzn 2009

Transkrypt

Wykaz zawodników kadry narodowej mężczyzn 2009
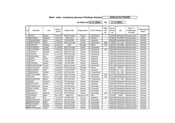
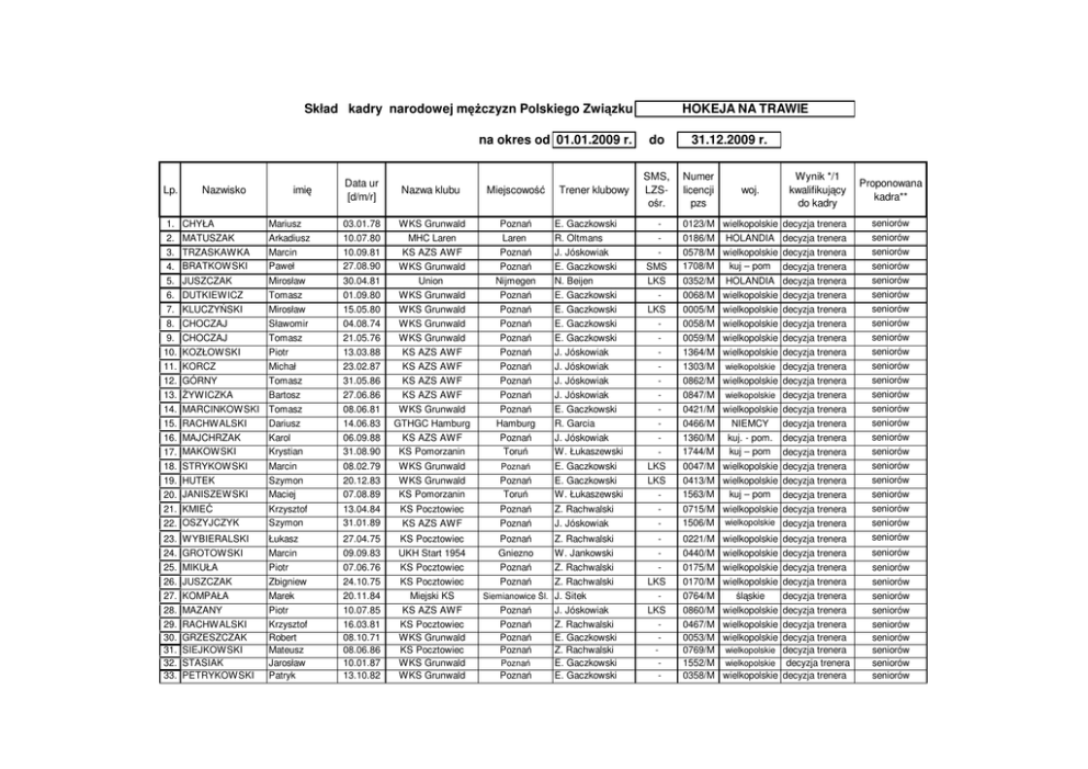
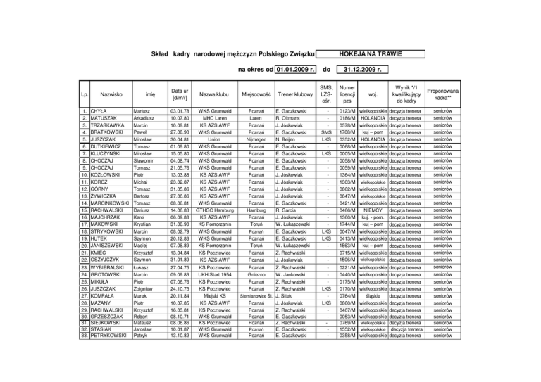
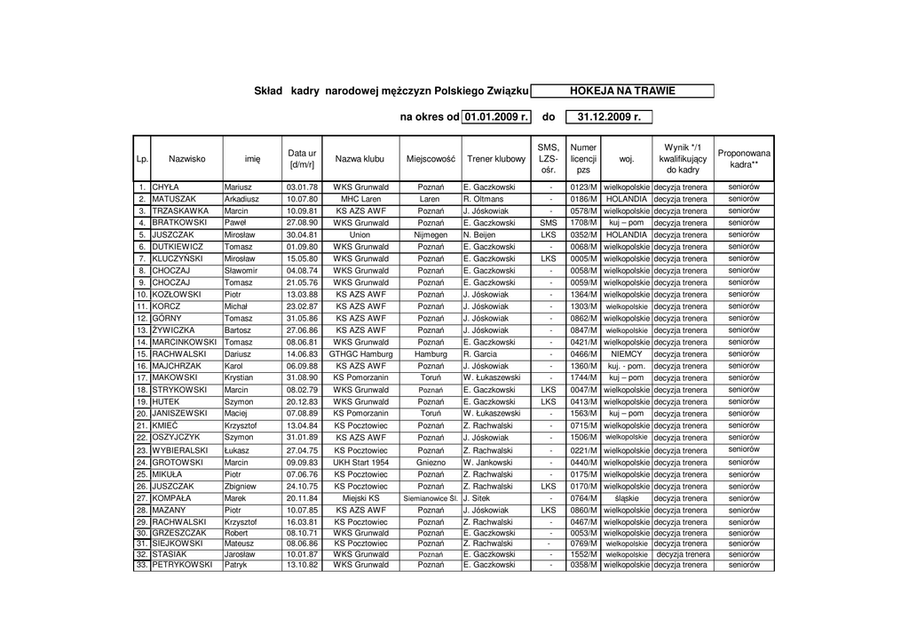
Skład kadry narodowej mężczyzn Polskiego Związku
na okres od 01.01.2009 r.
Lp.
1.
2.
3.
4.
5.
6.
7.
8.
9.
10.
11.
12.
13.
14.
15.
16.
17.
18.
19.
20.
21.
22.
23.
24.
25.
26.
27.
28.
29.
30.
31.
32.
33.
imię
Data ur
[d/m/r]
CHYŁA
MATUSZAK
TRZASKAWKA
BRATKOWSKI
Mariusz
Arkadiusz
Marcin
Paweł
03.01.78
10.07.80
10.09.81
27.08.90
JUSZCZAK
DUTKIEWICZ
KLUCZYŃSKI
CHOCZAJ
CHOCZAJ
KOZŁOWSKI
KORCZ
GÓRNY
ŻYWICZKA
MARCINKOWSKI
RACHWALSKI
MAJCHRZAK
MAKOWSKI
Mirosław
Tomasz
Mirosław
Sławomir
Tomasz
Piotr
Michał
Tomasz
Bartosz
Tomasz
Dariusz
Karol
Krystian
STRYKOWSKI
HUTEK
JANISZEWSKI
Nazwisko
Nazwa klubu
Miejscowość
Trener klubowy
30.04.81
01.09.80
15.05.80
04.08.74
21.05.76
13.03.88
23.02.87
31.05.86
27.06.86
08.06.81
14.06.83
06.09.88
31.08.90
WKS Grunwald
MHC Laren
KS AZS AWF
WKS Grunwald
Union
WKS Grunwald
WKS Grunwald
WKS Grunwald
WKS Grunwald
KS AZS AWF
KS AZS AWF
KS AZS AWF
KS AZS AWF
WKS Grunwald
GTHGC Hamburg
KS AZS AWF
KS Pomorzanin
Poznań
Laren
Poznań
Poznań
Nijmegen
Poznań
Poznań
Poznań
Poznań
Poznań
Poznań
Poznań
Poznań
Poznań
Hamburg
Poznań
Toruń
E. Gaczkowski
R. Oltmans
J. Jóskowiak
E. Gaczkowski
N. Beijen
E. Gaczkowski
E. Gaczkowski
E. Gaczkowski
E. Gaczkowski
J. Jóskowiak
J. Jóskowiak
J. Jóskowiak
J. Jóskowiak
E. Gaczkowski
R. Garcia
J. Jóskowiak
W. Łukaszewski
Marcin
Szymon
Maciej
08.02.79
20.12.83
07.08.89
WKS Grunwald
WKS Grunwald
KS Pomorzanin
Poznań
Poznań
Toruń
E. Gaczkowski
E. Gaczkowski
W. Łukaszewski
KMIEĆ
OSZYJCZYK
Krzysztof
Szymon
13.04.84
31.01.89
KS Pocztowiec
KS AZS AWF
Poznań
Poznań
Z. Rachwalski
J. Jóskowiak
WYBIERALSKI
GROTOWSKI
MIKUŁA
JUSZCZAK
KOMPAŁA
MAZANY
RACHWALSKI
GRZESZCZAK
SIEJKOWSKI
STASIAK
PETRYKOWSKI
Łukasz
Marcin
Piotr
Zbigniew
Marek
Piotr
Krzysztof
Robert
Mateusz
Jarosław
Patryk
27.04.75
09.09.83
07.06.76
24.10.75
20.11.84
10.07.85
16.03.81
08.10.71
08.06.86
10.01.87
13.10.82
KS Pocztowiec
UKH Start 1954
KS Pocztowiec
KS Pocztowiec
Miejski KS
KS AZS AWF
KS Pocztowiec
WKS Grunwald
KS Pocztowiec
WKS Grunwald
WKS Grunwald
Poznań
Gniezno
Poznań
Poznań
Z. Rachwalski
W. Jankowski
Z. Rachwalski
Z. Rachwalski
Siemianowice Śl. J. Sitek
J. Jóskowiak
Poznań
Z. Rachwalski
Poznań
Poznań
E. Gaczkowski
Poznań
Z. Rachwalski
Poznań
E. Gaczkowski
Poznań
E. Gaczkowski
HOKEJA NA TRAWIE
do
31.12.2009 r.
SMS,
LZSośr.
Numer
licencji
pzs
SMS
LKS
LKS
LKS
LKS
-
0123/M wielkopolskie decyzja trenera
0186/M HOLANDIA decyzja trenera
0578/M wielkopolskie decyzja trenera
1708/M
kuj – pom decyzja trenera
0352/M HOLANDIA decyzja trenera
0068/M wielkopolskie decyzja trenera
0005/M wielkopolskie decyzja trenera
0058/M wielkopolskie decyzja trenera
0059/M wielkopolskie decyzja trenera
1364/M wielkopolskie decyzja trenera
1303/M wielkopolskie decyzja trenera
0862/M wielkopolskie decyzja trenera
0847/M wielkopolskie decyzja trenera
0421/M wielkopolskie decyzja trenera
0466/M
NIEMCY decyzja trenera
1360/M kuj. - pom. decyzja trenera
1744/M
kuj – pom decyzja trenera
0047/M wielkopolskie decyzja trenera
0413/M wielkopolskie decyzja trenera
1563/M
kuj – pom decyzja trenera
0715/M wielkopolskie decyzja trenera
1506/M wielkopolskie decyzja trenera
LKS
LKS
-
0221/M
0440/M
0175/M
0170/M
0764/M
0860/M
0467/M
0053/M
0769/M
1552/M
0358/M
woj.
wielkopolskie
wielkopolskie
wielkopolskie
wielkopolskie
śląskie
wielkopolskie
wielkopolskie
wielkopolskie
Wynik */1
kwalifikujący
do kadry
decyzja trenera
decyzja trenera
decyzja trenera
decyzja trenera
decyzja trenera
decyzja trenera
decyzja trenera
decyzja trenera
wielkopolskie decyzja trenera
wielkopolskie decyzja trenera
wielkopolskie decyzja trenera
Proponowana
kadra**
seniorów
seniorów
seniorów
seniorów
seniorów
seniorów
seniorów
seniorów
seniorów
seniorów
seniorów
seniorów
seniorów
seniorów
seniorów
seniorów
seniorów
seniorów
seniorów
seniorów
seniorów
seniorów
seniorów
seniorów
seniorów
seniorów
seniorów
seniorów
seniorów
seniorów
seniorów
seniorów
seniorów
34.
35.
36.
37.
38.
39.
40.
41.
42.
43.
44.
45.
46.
47.
48.
49.
50.
51.
52.
53.
54.
55.
56.
57.
58.
59.
60.
61.
62.
63.
64.
65.
66.
67.
68.
69.
70.
71.
MACIOŁ
RATAJ
MAKOWSKI
KUNKLEWSKI
POLTASZEWSKI
KOMAREK
CZŁAPA
WIECZOREK
MIŚ
KUBIAK
SKOWROŃSKI
RACINIEWSKI
BEDNARSKI
DAWID
GOZDOWSKI
SIEJKOWSKI
STAŃ
SZWARCER
ZADKA
ZIMNICKI
BUDZICKI
BROŻEK
POLTASZEWSKI
ORZEŁ
KUBANEK
KAZIK
KARGE
NOWAKOWSKI
CHRZANOWSKI
ROMAŃCZYK
DOMACHOWSKI
DEMBNY
BANIEWICZ
FERENC
PACANOWSKI
PAWELA
KAŹMIERCZAK
ROCHALSKI
Stefan
Waldemar
Michał
Michał
Mateusz
Mateusz
Michał
Mirosław
Łukasz
Bartosz
Mateusz
Michał
Tomasz
Bartosz
Karol
Bartosz
Adam
Krystian
Wojciech
Dawid
Szymon
Arkadiusz
Michał
Łukasz
Dawid
Oskar
Kacper
Michał
Dawid
Dawid
Łukasz
07.07.86
KS Pocztowiec
30.03.86
KS AZS AWF
07.08.83
KS Pomorzanin
24.02.86
KS Pomorzanin
WKS Grunwald
07.02.89
07.03.88 Miejski Klub Sportowy
28.11.88
KS Warta
27.06.88
KS AZS AWF
KS Stella
16.04.88
27.08.88
KS Polonia
19.08.88
UKH Start 1954
18.05.88
KS Pomorzanin
08.09.89
KS Pomorzanin
09.05.89
KS Pomorzanin
10.05.89
KS Pocztowiec
19.02.89
KS Pocztowiec
21.06.89
KS Polonia
26.04.89 Miejski Klub Sportowy
17.07.89
KS Pomorzanin
18.01.89
KS AZS AWF
12.09.89 Ludowy Klub Sportowy
11.09.89
UKH Start 1954
18.01.90
UKH Start 1954
03.02.90
UKS Mustangi
08.12.90
UKS Mustangi
19.02.90
LKS Gąsawa
15.10.89
LKS Gąsawa
24.06.90
KS Pomorzanin
24.05.90
UKS Mustangi
08.09.89 Miejski Klub Sportowy
11.06.90
KS Pomorzanin
Krystian
Piotr
Maciej
Artur
Hubert
Szymon
Tomasz
20.04.89 Ludowy Klub Sportowy
12.02.90
UKH Start 1954
28.09.90
KS Pocztowiec
05.07.90 Ludowy Klub Sportowy
01.09.90
KS Warta
19.01.90
KS Stella
03.03.90
KS Pocztowiec
Z. Rachwalski
J. Jóskowiak
W. Łukaszewski
W. Łukaszewski
E. Gaczkowski
Siemianowice Śl. P.Siegel
Poznań
D. Markiewicz
Poznań
J. Jóskowiak
Gniezno
R. Grotowski
Poznań
Poznań
Toruń
Toruń
Poznań
Środa Wielkopolska
Gniezno
Toruń
Toruń
Toruń
J. Koczorowski
W. Jankowski
W. Łukaszewski
W. Łukaszewski
W. Łukaszewski
Poznań
Poznań
Skierniewice
Z. Rachwalski
Z. Rachwalski
M. Sikora
Siemianowice Śl. P. Siegiel
Toruń
W. Łukaszewski
Poznań
Gąsawa
Gniezno
Gniezno
Michałkowice
Michałkowice
Gąsawa
Gąsawa
Toruń
Michałkowice
J. Jóskowiak
M. Mazur
W. Jankowski
W. Jankowski
T. Kawa
T. Kawa
M. Mazur
M. Mazur
W. Łukaszewski
T. Kawa
Siemianowice Śl. P. Siegel
W. Łukaszewski
Toruń
Rogowo
Gniezno
Poznań
Rogowo
Poznań
Gniezno
Poznań
B. Kozłowski
W. Jankowski
Z. Juszczak
B. Kozłowski
H. Stawujak
R. Grotowski
Z. Juszczak
SMS
SMS
SMS
SMS
SMS
SMS
1068/M wielkopolskie decyzja trenera
1317/M wielkopolskie decyzja trenera
0493/M kuj. - pom. decyzja trenera
0848/M kuj. - pom. decyzja trenera
1517/M wielkopolskie decyzja trenera
1114/M
śląskie
,,
1349/M wielkopolskie
,,
1376/M wielkopolskie
,,
1642/M wielkopolskie
,,
1311/M wielkopolskie
,,
1031/M wielkopolskie
,,
1864/M kuj. - pom.
,,
1546/M
kuj – pom
,,
1570/M
kuj – pom
,,
0170/M wielkopolskie
,,
0170/M wielkopolskie
,,
1442/M
łódzkie
,,
1584/M
śląskie
,,
1566/M
kuj – pom
,,
1311/M wielkopolskie
,,
1600/M
kuj – pom
,,
1318/M wielkopolskie
,,
1675/M wielkopolskie
,,
1763/M
śląskie
,,
1771/M
śląskie
,,
1692/M
kuj – pom
,,
1575/M
kuj – pom
,,
1723/M
kuj – pom
,,
1765/M
śląskie
,,
1581/M
śląskie
,,
1720/M
kuj – pom
,,
1596/M
kuj - pom
,,
1330/M wielkopolskie
,,
1572/M wielkopolskie
,,
2011/M
kuj – pom
,,
,,
1604/M wielkopolskie
,,
1642/M wielkopolskie
,,
1656/M wielkopolskie
seniorów
seniorów
seniorów
seniorów
młodzieżowa
młodzieżowa
młodzieżowa
młodzieżowa
młodzieżowa
młodzieżowa
młodzieżowa
młodzieżowa
młodzieżowa
młodzieżowa
młodzieżowa
młodzieżowa
młodzieżowa
młodzieżowa
młodzieżowa
młodzieżowa
młodzieżowa
młodzieżowa
młodzieżowa
młodzieżowa
młodzieżowa
młodzieżowa
młodzieżowa
młodzieżowa
młodzieżowa
młodzieżowa
młodzieżowa
młodzieżowa
młodzieżowa
młodzieżowa
młodzieżowa
młodzieżowa
młodzieżowa
młodzieżowa
72. SEMONOWICZ
73. SZYMAŃSKI
74. BUKOWSKI
75. NAWROCKI
76. JUSZCZYK
77. BISKUPSKI
78. WACHOWIAK
79. WARACZEWSKI
80. RACINIEWSKI
81. MRZYGŁÓD
82. NOWAK
83. LIPCZYŃSKI
84. BISKUP
85. WACHOWIAK
86. CHWALISZ
87. KOSMACZEWSKI
88. DZIUDA
89. BAŁOS
90. KATULSKI
91. DROZDOWSKI
92. BUŁKA
93. DZIAŁA
94. KISIELEWSKI
95. IWASZKO
96. KRÓLCZYK
97. STOTKO
98. ŁUCZKA
99. KRÓL
100. PACANOWSKI
101. RACZYKOWSKI
102. CHUMEŃCZUK
103. KORBEL
104. JUST
105. STRĘK
106. CHALAMSKI
107. KRUPIŃSKI
108. KONIECZNY
109. MACIEJEWSKI
110. KROKOSZ
111. PACANOWSKI
112. MIKULSKI
113. JUNG
114. BANASZAK
115. BARTKOWSKI
116. TOMCZAK
Jakub
Aleksy
Łukasz
Damian
Łukasz
Adrian
Tomasz
Piotr
Maciej
Łukasz
Michał
Kamil
Mateusz
Michał
Patryk
Łukasz
Romuald
Wojciech
Piotr
Adam
Patryk
Artur
Mateusz
Tomasz
Paweł
Mateusz
Łukasz
Damian
Szymon
Michał
Jacek
Daniel
Daniel
Artur
Daniel
Adrian
Artur
Dawid
Adrian
Maciej
Hubert
Szymon
Tomasz
Adam
Mateusz
14.04.90
16.06.90
27.12.90
27.06.90
25.12.90
24.10.90
08.09.89
05.06.89
18.03.91
01.03.91
26.09.91
01.10.91
06.06.92
16.09.91
09.03.92
07.05.91
14.06.92
22.04.91
25.03.92
01.07.91
09.01.91
28.10.91
26.09.91
02.01.92
17.03.91
14.12.91
21.10.92
07.08.92
26.08.91
12.06.92
20.05.92
23.06.92
27.01.92
19.12.92
15.03.92
11.06.92
05.03.92
25.02.92
19.01.92
21.09.92
30.08.92
10.03.92
03.12.92
17.05.92
10.07.92
KS Warta
UKH Start 1954
OTKKF Swarek
KS Warta
UKS Mustangi
KS Pocztowiec
KS Warta
KS Polonia
UKS Bałagany
UKS Bałagany
Poznań
Gniezno
Swarzędz
Poznań
Michałkowice
Poznań
Poznań
D. Markiewicz
W. Jankowski
M. Jankowiak
H. Stawujak
T. Kawa
Z. Juszczak
D. Markiewicz
Środa Wielkopolska J. Koczorowski
Łubianka
A. Makowski
Łubianka
A. Makowski
Ludowy Klub Sportowy
Gąsawa
M. Jeździkowski
KS Polonia
Skierniewice
M. Sikora
KS Lipno
Stęszew
A. Wybieralski
KS Warta
Poznań
H. Stawujak
KS Pocztowiec
Poznań
Z. Juszczak
UKS Pobiedziska
Pobiedziska
J. Łączkowski
KS Pocztowiec
Poznań
Z. Juszczak
Toruń
M. Jarlak
KS Pomorzanin
Ludowy Klub Sportowy
Gąsawa
M. Jeździkowski
UKS Bałagany
Łubianka
A. Makowski
ULKS Plejada
Nysa
J. Tokarz
ULKS Plejada
Nysa
J. Tokarz
WKS Grunwald
Poznań
E. Gaczkowski
ULKS Plejada
Nysa
J. Tokarz
WKS Grunwald
Poznań
E. Gaczkowski
KS Pocztowiec
Poznań
Z. Juszczak
Ludowy Klub Sportowy
Rogowo
B. Kozłowski
KKS Kolejarz
Gliwice
Z. Żabiałowicz
Ludowy Klub Sportowy
Rogowo
B. Kozłowski
UKS Mustangi
Michałkowice T. Kawa
Ludowy Klub Sportowy
Gąsawa
S. Mazany
UKS Mustangi
Michałkowice T. Kawa
UKS Mustangi
Michałkowice T. Kawa
Ludowy Klub Sportowy
Gąsawa
S. Mazany
WKS Grunwald
Poznań
E. Gaczkowski
Ludowy Klub Sportowy
Gąsawa
S. Mazany
Ludowy Klub Sportowy
Gąsawa
S. Mazany
Ludowy Klub Sportowy
Gąsawa
S. Mazany
Ludowy Klub Sportowy
Rogowo
R. Nowak
Ludowy Klub Sportowy
Rogowo
R. Nowak
Ludowy Klub Sportowy
Rogowo
R. Nowak
KS Polonia
Środa Wielkopolska D. Małecki, D. Jung
KS Polonia
Środa Wielkopolska D. Małecki, D. Jung
KS Polonia
Środa Wielkopolska D. Małecki, D. Jung
UKH Start 1954
Gniezno
W. Jankowski
SMS
SMS
SMS
SMS
SMS
SMS
SMS
SMS
SMS
SMS
SMS
SMS
SMS
SMS
SMS
SMS
SMS
SMS
SMS
SMS
SMS
SMS
SMS
-
1685/M
1337/M
1814/M
1686/M
1770/M
1825/M
1503/M
1617/M
1864/M
1860/M
1925/M
1837/M
2488/M
1841/M
2160/M
1788/M
2166/M
1855/M
1926/M
1856/M
2265/M
1952/M
2071/M
1718/M
1983/M
2013/M
2321/M
1962/M
2109/M
1766/M
1924/M
2078/M
1895/M
1920/M
2087/M
1931/M
1930/M
2189/M
2115/M
2112/M
2114/M
2027/M
2028/M
2033/M
1836/M
wielkopolskie
wielkopolskie
wielkopolskie
wielkopolskie
śląskie
wielkopolskie
wielkopolskie
wielkopolskie
kuj-pom
kuj-pom
kuj-pom
łódzkie
wielkopolskie
wielkopolskie
wielkopolskie
wielkopolskie
wielkopolskie
kuj-pom
kuj-pom
kuj-pom
opolskie
opolskie
wielkopolskie
opolskie
wielkopolskie
wielkopolskie
kuj-pom
śląskie
kuj-pom
śląkie
kuj-pom
śląkie
śląkie
kuj-pom
wielkopolskie
kuj-pom
kuj-pom
kuj-pom
kuj-pom
kuj-pom
kuj-pom
wielkopolskie
wielkopolskie
wielkopolskie
wielkopolskie
,,
,,
,,
,,
,,
,,
,,
,,
,,
,,
,,
,,
,,
,,
,,
,,
,,
,,
,,
,,
,,
,,
,,
,,
,,
,,
,,
,,
,,
,,
,,
,,
,,
,,
,,
,,
,,
,,
,,
,,
,,
,,
,,
,,
,,
młodzieżowa
młodzieżowa
młodzieżowa
młodzieżowa
młodzieżowa
młodzieżowa
młodzieżowa
młodzieżowa
juniorów
juniorów
juniorów
juniorów
juniorów
juniorów
juniorów
juniorów
juniorów
juniorów
juniorów
juniorów
juniorów
juniorów
juniorów
juniorów
juniorów
juniorów
juniorów
juniorów
juniorów
juniorów
juniorów
juniorów
juniorów
juniorów
juniorów
juniorów
juniorów
juniorów
juniorów
juniorów
juniorów
juniorów
juniorów
juniorów
juniorów
117. WEJEROWSKI
Maciej
118. ZIMNICKI
Adam
119. KRYWALSKI
Paweł
120. BOSZMAN
Rafał
121. NADOBNIK
Wojciech
122. WOJCIECHOWSKI Jarosław
123. SZYMAŃSKI
Damian
124. RAJCA
Kamil
125. MAJOR
Kamil
126. CZERWIŃSKI
Łukasz
127. CHALAMSKI
Adrian
128. SZOTEK
Bartosz
129. MAŁASZUK
Łukasz
130. KARAMUZ
Patryk
131. KWIATKOWSKI
Karol
132. RYBAK
Michał
133. WOJCIECHOWSKI Patryk
134. NOJGEBAUER
Rafał
135. POCENTEK
Maciej
136. STACHECKI
Piotr
137. PAECH
Maciej
138. HANUSZKIEWICZ Jakub
139. ORZEŁ
Mariusz
140. PAZUR
Dariusz
141. MATYSIK
Michał
142. BLOT
Martin
143. HULBÓJ
Mateusz
144. ZGÓRZAK
Michał
145. OSIŃSKI
Szymon
146. KOT
Kamil
147. STYPA
Szymon
148. OCHMAN
Mateusz
149. JAGODZIŃSKI
Adam
150. HUTEK
Mikołaj
151. WRZESIŃSKI
Kamil
152. BRZYKCY
Łukasz
153. BERING
Jakub
154. RUTKOWSKI
Arkadiusz
155. SOBCZAK
Filip
156. GRABAREK
Bartosz
157. KAMECKI
Maciej
158. WALENTOWICZ Paweł
159. KUCZKOWSKI
Mateusz
160. SULEJA
Hubert
161. PAECH
Maciej
162. KACZMAREK
Dawid
06.03.92
03.09.92
03.09.92
18.11.92
16.01.92
13.09.93
16.06.92
19.07.92
04.04.92
29.03.92
01.05.93
10.03.93
25.06.92
14.05.93
26.07.93
07.01.93
06.10.92
09.01.93
07.05.93
28.12.93
03.11.93
04.06.93
09.01.93
22.07.93
13.02.94
23.02.94
20.09.93
19.04.94
22.05.94
15.07.93
27.01.94
09.09.94
28.10.93
21.06.94
08.06.94
14.04.93
30.01.94
11.03.94
12.08.94
16.03.94
11.06.94
23.06.94
14.03.93
15.01.93
03.11.93
03.01.94
163. LEWARTOWSKI
164. OLSZEWSKI
01.11.93
16.08.93
Marcin
Szymon
UKH Start 1954
UKHT Ósemka
KS Pomorzanin
KS Pomorzanin
WKS Grunwald
KS Budowlani
UKH Start 1954
ULKS Plejada
KKS Kolejarz
KS Pocztowiec
WKS Grunwald
Gniezno
W. Jankowski
Tarnowskie Góry S. Karmelita
M. Jarlak
M. Jarlak
E. Gaczkowski
R. Twerdyk
W. Jankowski
J. Tokarz
Z. Żabiałowicz
Z. Juszczak
E. Gaczkowski
Miejski Klub Sportowy Siemianowice Śl. G. Janota
UKS Mustangi
Michałkowice T. Kawa
KS Pomorzanin
Toruń
Z. Kulpa
Ludowy Klub Sportowy
Gąsawa
S. Mazany
Ludowy Klub Sportowy
Gąsawa
S. Mazany
KS Polonia
Środa Wielkopolska D. Małecki, D. Jung
Ludowy Klub Sportowy
Rogowo
R. Nowak
KS Warta
Poznań
H. Stawujak
KS Warta
Poznań
H. Stawujak
KS Warta
Poznań
H. Stawujak
KS Warta
Poznań
H. Stawujak
UKS Mustangi
Michałkowice T. Kawa
UKS Mustangi
Michałkowice T. Kawa
UKS Mustangi
Michałkowice Ł. Wojcieszak
UKS Mustangi
Michałkowice Ł. Wojcieszak
Miejski Klub Sportowy Siemianowice Śl. G. Janota
KS Polonia
Skierniewice M. Sikora
KS Polonia
Skierniewice M. Sikora
KS Polonia
Skierniewice M. Sikora
UKHT Ósemka
Tarnowskie Góry S. Karmelita
UKHT Ósemka
Tarnowskie Góry S. Karmelita
Ludowy Klub Sportowy
Gąsawa
S. Mazany
Ludowy Klub Sportowy
Gąsawa
S. Mazany
Ludowy Klub Sportowy
Gąsawa
S. Mazany
Ludowy Klub Sportowy
Gąsawa
S. Mazany
KS Pomorzanin
Toruń
Z. Kulpa
KS Pomorzanin
Toruń
Z. Kulpa
KS Pomorzanin
Toruń
Z. Kulpa
KS Pomorzanin
Toruń
Z. Kulpa
KS Pomorzanin
Toruń
Z. Kulpa
KS Pomorzanin
Toruń
Z. Kulpa
Ludowy Klub Sportowy
Rogowo
R. Nowak
KS Warta
Poznań
H. Stawujak
KS Warta
Poznań
H. Stawujak
KS Polonia
Środa Wielkopolska D. Małecki, D. Jung
KS Stella
KS Stella
Toruń
Toruń
Poznań
Łódź
Gniezno
Nysa
Gliwice
Poznań
Poznań
Gniezno
Gniezno
R. Grotowski
R. Grotowski
SMS
SMS
SMS
SMS
-
1338/M wielkopolskie
2024/M
śląśkie
2060/M
kuj-pom
2063/M
kuj-pom
2093/M wielkopolskie
2209/M
łódzkie
1336/M wielkopolskie
2348/M
opolskie
1965/M
śląskie
2001/M wielkopolskie
2098/M wielkopolskie
2137/M
śląskie
2217/M
śląskie
2260/M
kuj-pom
2193/M
kuj-pom
2192/M
kuj-pom
2032/M wielkopolskie
2317/M
kuj-pom
2382/M wielkopolskie
2374/M wielkopolskie
2377/M wielkopolskie
2381/M wielkopolskie
2314/M
śląskie
2312/M
śląskie
2462/M
śląskie
2457/M
śląskie
2104/M
śląskie
2499/M
łódzkie
2498/M
łódzkie
2310/M
łódzkie
2446/M
śląskie
2447/M
śląskie
2246/M
kuj-pom
2188/M
kuj-pom
2437/M
kuj-pom
kuj-pom
2198/M
2271/M
kuj-pom
2267/M
kuj-pom
2276/M
kuj-pom
2275/M
kuj-pom
2272/M
kuj-pom
2264/M
kuj-pom
2315/M
kuj-pom
2375/M wiellkopolskie
2377/M wiellkopolskie
2622/M wiellkopolskie
,,
,,
,,
,,
,,
,,
,,
,,
,,
,,
,,
,,
,,
,,
,,
,,
,,
,,
,,
,,
,,
,,
,,
,,
,,
,,
,,
,,
,,
,,
,,
,,
,,
,,
,,
,,
,,
,,
,,
,,
,,
,,
,,
,,
,,
,,
2080/M wiellkopolskie
2225/M wiellkopolskie
,,
,,
juniorów
juniorów
juniorów
juniorów
juniorów
juniorów
juniorów
juniorów
juniorów
juniorów
juniorów
juniorów
juniorów
juniorów
juniorów
juniorów
juniorów
juniorów
juniorów
juniorów
juniorów
juniorów
juniorów
juniorów
juniorów
juniorów
juniorów
juniorów
juniorów
juniorów
juniorów
juniorów
juniorów
juniorów
juniorów
juniorów
juniorów
juniorów
juniorów
juniorów
juniorów
juniorów
juniorów
juniorów
juniorów
juniorów
juniorów
juniorów
165. WIERZBICKI
Łukasz
166. STACHOWIAK
Daniel
167. OBST
Mateusz
168. CHWALISZ
Adam
169. PRZYBYLSKI
Maciej
170. KASPRZYK
Michał
171. FRĄCKOWIAK
Michał
172. KOSICKI
Szymon
173. KOZAN
Adrian
174. KASPERSKI
Marcin
175. GRZEŚKOWIAK Krystian
176. POPIOŁKOWSKI Mateusz
177. WERESZCZYŃSKI Andrzej
21.12.93
16.04.93
22.12.93
30.03.93
20.12.94
22.08.93
22.01.94
06.09.94
24.08.94
27.09.94
15.11.93
21.04.94
07.09.93
KS Stella
KS Pocztowiec
KS Pocztowiec
KS Pocztowiec
KS Pocztowiec
UKH Start 1954
UKH Start 1954
UKH Start 1954
KS AZS AWF
UKS Plejada
KS Polonia
KS Pomorzanin
KS Warta
Gniezno
Poznań
Poznań
Poznań
Poznań
Gniezno
Gniezno
Gniezno
Poznań
Nysa
R. Grotowski
A. Tomczak
A. Tomczak
A. Tomczak
A. Tomczak
W. Jankowski
W. Jankowski
W. Jankowski
A. Wybieralska
U. Ferenc
Środa Wielkopolska D. Małecki, D. Jung
Toruń
Poznań
Z. Kulpa
H. Stawujak
-
2472/M
2158/M
2172/M
2161/M
2429/M
2072/M
2503/M
2389/M
2364/M
2333/M
2035/M
2273/M
2376/M
wiellkopolskie
wiellkopolskie
wiellkopolskie
wiellkopolskie
wiellkopolskie
wiellkopolskie
wiellkopolskie
wiellkopolskie
wiellkopolskie
śląskie
wiellkopolskie
kuj-pom
wiellkopolskie
,,
,,
,,
,,
,,
,,
,,
,,
,,
,,
,,
,,
,,
juniorów
juniorów
juniorów
juniorów
juniorów
juniorów
juniorów
juniorów
juniorów
juniorów
juniorów
juniorów
juniorów