Porozumienie e-faktura

Transkrypt

Porozumienie e-faktura
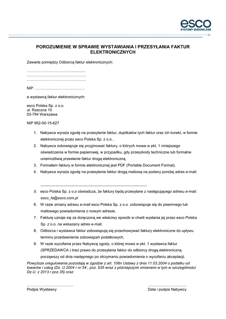
POROZUMIENIE W SPRAWIE WYSTAWIANIA I PRZESYŁANIA FAKTUR
ELEKTRONICZNYCH
Zawarte pomiędzy Odbiorcą faktur elektronicznych:
……………………………................
.……………………………………….
………………………………………..
NIP ………………………………….
a wystawcą faktur elektronicznych:
esco Polska Sp. z o.o.
ul. Rzeczna 10
03-794 Warszawa
NIP 952-00-15-627
1. Nabywca wyraża zgodę na przesyłanie faktur, duplikatów tych faktur oraz ich korekt, w formie
elektronicznej przez esco Polska Sp. z o.o..
2. Nabywca zobowiązuje się przyjmować faktury, o których mowa w pkt. 1 niniejszego
oświadczenia w formie papierowej, w przypadku, gdy przeszkody techniczne lub formalne
uniemożliwią przesłanie faktur drogą elektroniczną.
3. Formatem faktury w formie elektronicznej jest PDF (Portable Document Format).
4. Nabywca wyraża zgodę na przesyłanie faktur drogą mailową na podany poniżej adres e-mail:
…………………………………………………………………………
5. esco Polska Sp. z o.o oświadcza, że faktury będą przesyłane z następującego adresu e-mail:
[email protected]
6. W razie zmiany adresu e-mail esco Polska Sp. z o.o. zobowiązuje się do pisemnego lub
mailowego powiadomienia o nowym adresie.
7. Fakturę uznaje się za doręczoną we właściwy sposób w chwili wysłania jej przez esco Polska
Sp. z o.o. na wskazany adres e-mail.
8. Odbiorca i wystawca faktur zobowiązują się przechowywać faktury elektroniczne do upływu
terminu przedawnienia zobowiązań podatkowych,
9. W razie wycofania przez Nabywcę zgody, o której mowa w pkt. 1 wystawca faktur
(SPRZEDAWCA ) traci prawo do przesyłania faktur do odbiorcy drogą elektroniczną
począwszy od dnia następnego po otrzymaniu powiadomienia o wycofaniu akceptacji.
Powyższe uregulowania pozostają w zgodzie z art. 106n Ustawy z dnia 11.03.2004 o podatku od
towarów i usług (Dz. U.2004 r nr 54 , poz. 535 wraz z późniejszymi zmianami w tym w szczególności
Dz.U. z 2013 r poz.35) oraz
……………………………….
Podpis Wystawcy
……..…………………..
Data i podpis Nabywcy