Tabela nr 1 - Urząd Miasta Starogard Gdański

Transkrypt

Tabela nr 1 - Urząd Miasta Starogard Gdański
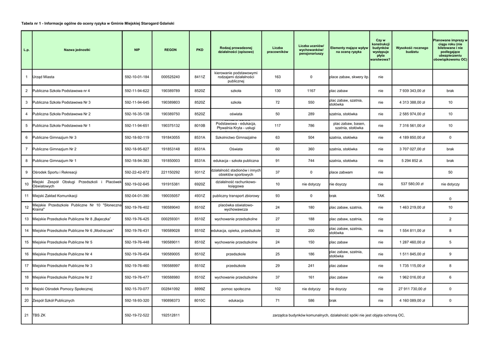
Tabela nr 1 - Informacje ogólne do oceny ryzyka w Gminie Miejskiej Starogard Gdański
L.p.
Nazwa jednostki
NIP
REGON
PKD
Rodzaj prowadzonej
działalności (opisowo)
Czy w
konstrukcji
budynków
występuje
płyta
warstwowa?
Liczba
pracowników
Liczba uczniów/
wychowanków/
pensjonariuszy
Elementy mające wpływ
na ocenę ryzyka
place zabaw, skwery itp..
nie
Wysokość rocznego
budżetu
Planowane imprezy w
ciągu roku (nie
biletowane i nie
podlegające
ubezpieczeniu
obowiązkowemu OC)
1
Urząd Miasta
592-10-01-184
000525240
8411Z
kierowanie podstawowymi
rodzajami działalności
publicznej
163
0
2
Publiczna Szkoła Podstawowa nr 4
592-11-94-622
190389789
8520Z
szkoła
130
1167
plac zabaw
nie
7 939 343,00 zł
brak
3
Publiczna Szkoła Podstawowa Nr 3
592-11-94-645
190389803
8520Z
szkoła
72
550
plac zabaw, szatnia,
stołówka
nie
4 313 388,00 zł
10
4
Publiczna Szkoła Podstawowa Nr 2
592-16-35-138
190389750
8520Z
50
289
szatnia, stołówka
nie
2 585 974,00 zł
10
5
Publiczna Szkoła Podstawowa Nr 1
592-11-94-651
190375132
8010B
117
786
nie
7 316 561,00 zł
10
6
Publiczne Gimnazjum Nr 3
592-18-92-119
191843055
8531A
oświata
Publiczna Szkoła
Podstawowa - edukacja,
Pływalnia Kryta - usługi
sportowo-rekreacyjne
Szkolnictwo Gimnazjalne
63
504
szatnia, stołówka
nie
4 189 850,00 zł
0
7
Publiczne Gimnazjum Nr 2
592-18-95-827
191853148
8531A
Oświata
60
360
szatnia, stołówka
nie
3 707 027,00 zł
brak
8
Publiczne Gimnazjum Nr 1
592-18-94-383
191850003
8531A
edukacja - szkoła publiczna
91
744
szatnia, stołówka
nie
5 294 852 zł.
brak
9
Ośrodek Sportu i Rekreacji
592-22-42-872
221150292
9311Z
działalność stadionów i innych
obiektów sportowych
37
0
place zabwam
nie
10
Miejski Zespół Obsługi Przedszkoli i Placówek
592-19-02-645
Oświatowych
191915381
6920Z
działalność rachunkowoksięgowa
10
nie dotyczy
nie doyczy
nie
11
Miejski Zakład Komunikacji
190035057
4931Z
publiczny transport zbiorowy
93
0
12
Miejskie Przedszkole Publiczne Nr 10 "Słoneczna
592-19-76-402
Kraina"
190589040
8510Z
placówka oświatowowychowawcza
24
180
plac zabaw, szatnia,
nie
13
Miejskie Przedszkole Publiczne Nr 8 „Bajeczka”
592-19-76-425
000259301
8510Z
wychowanie przedszkolne
27
188
plac zabaw, szatnia,
nie
14
Miejskie Przedszkole Publiczne Nr 6 „Modraczek”
592-19-76-431
190589028
8510Z
edukacja, opieka, przedszkole
32
200
plac zabaw, szatnia,
stołówka
nie
1 554 811,00 zł
8
15
Miejskie Przedszkole Publiczne Nr 5
592-19-76-448
190589011
8510Z
wychowanie przedszkolne
24
150
plac zabaw
nie
1 287 460,00 zł
5
16
Miejskie Przedszkole Publiczne Nr 4
592-19-76-454
190589005
8510Z
przedszkole
25
186
plac zabaw, szatnia,
stołówka
nie
1 511 845,00 zł
9
17
Miejskie Przedszkole Publiczne Nr 3
592-19-76-460
190588997
8510Z
przedszkole
29
241
plac zabaw
nie
1 735 115,00 zł
8
18
Miejskie Przedszkole Publiczne Nr 2
592-19-76-477
190588980
8510Z
wychowanie przedszkolne
37
161
plac zabaw
nie
1 962 016,00 zł
6
19
Miejski Ośrodek Pomocy Społecznej
592-15-70-077
002841092
8899Z
pomoc społeczna
102
nie dotyczy
nie doyczy
nie
27 911 730,00 zł
0
20
Zespół Szkół Publicznych
592-18-93-320
190898373
8010C
edukacja
71
586
brak
nie
4 160 089,00 zł
0
21
TBS ZK
592-19-72-522
192512811
592-04-01-390
plac zabaw, basen,
szatnia, stołówka
brak
50
537 580,00 zł
TAK
nie dotyczy
0
1 463 219,00 zł
10
2
zarządca budynków komunalnych, działalność spóki nie jest objęta ochroną OC,
Tabela nr 2 - Wykaz budynków i budowli w Gminie Miejskiej Starogard Gdański
przeznaczenie budynku/
budowli
lp. nazwa budynku/ budowli
czy jest to
budynkek
czy budynek
zabytkowy,
jest
podlegający
użytkowany?
nadzorowi
(TAK/NIE)
konserwator
a zabytków?
rok budowy
suma ubezpieczenia
(wartość)
rodzaj
wartości
zabezpieczenia
(księgowa
(znane zabiezpieczenia p-poż i przeciw kradzieżowe)
brutto - KB /
(2)
odtworzenio
wa - O)
Rodzaj materiałów budowlanych, z jakich wykonano budynek
lokalizacja (adres)
mury
stropy
dach (konstrukcja i pokrycie)
1 Urząd Miasta
1 Urząd Miasta
administracyjno- biurowe
Tak
Tak
ok. 1900
2 867 414,23 zł
KB
kraty w oknach, system alarmowy, dozór całodobowy,
gaśnice
KB
kraty w oknach, dozór całodobowy, gaśnice
ul. Rynek 1
cegła palona
ul. Gdańska 6
cegła pełna
dwuspadowy, o konstrukcji
betonowe i drewniane derwanianej, kryty dachówką
ceramiczną
dwuspadowy, o konstrukcji
betonowe i drewniane derwanianej, kryty dachówką
ceramiczną
dwuspadowy o konstrukcji
betonowe i drewniane
drewnianej, kryty dachówką
2 Rynek Staromiejski
administracyjno- biurowe
Tak
Tak
ok. 1900
921 512,34 zł
3 Garaż kryty dachówką
funkcja transportu i łączności Tak
Tak
ok. 1900
6 695,67 zł
KB
kraty w oknach, dozór całodobowy
ul. Gdańska 6
cegła pełna
4 Garaż 5-boksowy
funkcja transportu i łączności Tak
Nie
1966
11 885,74 zł
KB
dozór całodobowy
ul. Gdańska 6
pustak
betonowe
papa termozgrzewalna (na części
dachu)
Tak
Nie
XII 2001
10 000,00 zł
KB
cegła dziurawka
DZ-3
płaski z płyt korytkowych , kryty
papą
5 Brama wjazdowa – automat
Budynek szkoły do zbycia w drodze
przetargu
Nie
Nie
169 184,00 zł
KB
ochrona firmy „HERA”
ul. Kościuszki 65
7
Budynek Internatu do zbycia w
drodze przetargu
Nie
Nie
267 530,00 zł
KB
ochrona firmy „HERA”
ul. Kościuszki 65
8
Budynek stołówki z Internatem do
zbycia w drodze przetargu
Nie
Nie
83 560,00 zł
KB
ochrona firmy „HERA”
ul. Kościuszki 65
9
Budynek gosp. przy internacie do
zbycia w drodze przetargu
Nie
Nie
25 790,00 zł
KB
ochrona firmy „HERA”
ul. Kościuszki 65
10
Budynek dydaktyczny warsztaty do
zbycia w drodze przetargu
Nie
Nie
24 070,00 zł
KB
ochrona firmy „HERA”
ul. Kościuszki 65
11
Budynek gospodarczy z garażem do
zbycia w drodze przetargu
Nie
Nie
34 730,00 zł
KB
ochrona firmy „HERA”
ul. Kościuszki 65
12
Budynek kotłowni do zbycia w drodze
przetargu
Nie
Nie
23 039,00 zł
KB
ochrona firmy „HERA”
ul. Kościuszki 65
69 079,00 zł
KB
Korczaka
72 422,21 zł
KB
Korczaka
komunikacja dla budynków
Korczaka 21 i 22
Nie
Teren rekreacyjny wokół budynków
14
Korczaka 21 i22
piaskownice szt 2 i ławki stałe
szt 6
Nie
RAZEM
bardzo
dobre
dobre
dobre
bardzo
dobre
dobre
dobre
bardzo
dobre
dobre
dobre
bardzo
dobre
dobre
dobre
bardzo
dobre
dobre
dobre
bardzo
dobre
dobre
dobre
dobre
dobre
dobre
bardzo
dobre
dobre
dobre
ul. Gdańska 6
6
13 Ulice i place
opis stanu technicznego budynku wg poniższych
sieć
elementów budynku
wodnoinstalacj
kanaliza stolarka
konstuk
a
intalacja cyjna okienna instalacj
cja i
wentylac
elekrycz oraz
i
a
pokrycie
yjna i
na
cenralne drzwiow gazowa
dachu
komino
go
a
wa
ogrzewa
nia
4 586 912,19 zł
2 Publiczna Szkoła Podstawowa nr 4
1 Budynek główny
szkoła
tak
nie
1958
1 514 763,17 zł
KB
monitoring,alarm,gaśnice 12 szt, hydranty 12 szt.
al.. Jana Pawła II 4 83-200 Starogard Gd.
2 Budynek PSP 4
szkoła
tak
nie
1993
1 428 146,66 zł
KB
monitoring,alarm,gaśnice 3 szt,,hydranty szt.3
ul. Sienkiewicza 19 83-200 Starogard Gd.
plac zabaw
tak
nie
2010
235 476,11 zł
KB
monitoring
al.. Jana Pawła II 4 83-200 Starogard Gd.
3 Plac zabaw "Radosna szkoła"
RAZEM
3
3 178 385,94 zł
Publiczna Szkoła Podstawowa Nr
3
1 Publiczna Szkoła Podstawowa Nr 3
szkoła
tak
nie
1965
3 757 068,00 zł
KB
system alarmowy podłaczony pod firmę ochroniarskąALFA
Starogard Gdański ul. Wybickiego 17
GUARD SECURITY, hydranty wewnętrzne, gaśnice -17szt.
2 Boisko sportowe
boisko
nie dotyczy
nie dotyczy
2004
120 692,00 zł
KB
Starogard Gdański ul. Wybickiego 17
3 Ogrodzenie terenu
ogrodzenie
nie dotyczy
nie dotyczy
2004
31 390,00 zł
KB
Starogard Gdański ul. Wybickiego 17
4 Place utwardzone
place
nie dotyczy
nie dotyczy
2004
266 578,00 zł
KB
Starogard Gdański ul. Wybickiego 17
sieć kanalizacyjna
nie dotyczy
nie dotyczy
2004
104 269,00 zł
KB
Starogard Gdański ul. Wybickiego 17
5 Zew.sieć kanal.sanitarnej
RAZEM
dobre
dobra
dobra
dobra
dobra
dobra
4 279 997,00 zł
4 Publiczna Szkoła Podstawowa Nr 2
1 BUDYNEK
2 PLACE UTWARDZONE
3 SIEĆ KANALIZACJI DESZCZOWEJ
4
CHODNIKI, PRZEJŚCIA I SCHODY
ZEWNETRZNE
GAŚNICE: pianowa szt. 1, śniegowa szt. 2, proszkowa szt.
UL. SOBIESKIEGO 6A
12 HYDRANTY szt. 7, MONITORING WIZYJNY, SYSTEM
83-200 STAROGARD GDAŃSKI
ALARMOWY
UL. SOBIESKIEGO 6A
83-200 STAROGARD GDAŃSKI
TAK
TAK
1896
4 005 573,44 zł
KB
BOISKO
TAK
NIE
DOTYCZY
2006
23 000,00 zł
KB
SIEĆ KANALIZACJI
DESZCZOWEJ
TAK
NIE
DOTYCZY
2008
42 340,54 zł
KB
-
CHODNIKI, PRZEJŚCIA I
SCHODY ZEWNETRZNE
TAK
NIE
DOTYCZY
2008
96 208,92 zł
KB
-
SZKOŁA
RAZEM
cegła czerwona
drewniane, murowane
blacha, więźba drewniana
dobry
dobry
dobry
dobry
dobry
dobry
-
-
-
-
-
-
-
-
-
UL. SOBIESKIEGO 6A
83-200 STAROGARD GDAŃSKI
-
-
-
-
-
-
-
-
-
UL. SOBIESKIEGO 6A
83-200 STAROGARD GDAŃSKI
-
-
-
-
-
-
-
-
-
4 167 122,90 zł
5 Publiczna Szkoła Podstawowa Nr 1
1 Budynek Szkoły
szkoła
tak
nie
1991
5 689 572,90 zł
KB
monitoring, alarm, kraty, portier, hydranty, gaśnice zgodnie z planem p.poż
Starogard Gd., ul. Zblewska 18
pustak,cegła
płyta żelbetonowa
płyta żelbet., papa
dobry
dobry
dobry
dobry
dobry
dobry
2 Sala sportowa z zapleczem
szkoła
tak
nie
2001
2 744 148,70 zł
KB
monitorin, kraty, portier
Starogard Gd., ul. Zblewska 18
pustak,cegła
płyta żelbetonowa
płyta żelbet., papa
dobry
dobry
dobry
dobry
dobry
dobry
3 Zespół boisk sportowych
szkoła
tak
nie
2001
718 610,62 zł
KB
monitoring
Starogard Gd., ul. Zblewska 18
dobry
dobry
dobry
dobry
dobry
dobry
4 Droga kołowa
szkoła
tak
nie
1991
105 368,50 zł
KB
Starogard Gd., ul. Zblewska 18
dobry
dobry
dobry
dobry
dobry
dobry
5 Ulice i place
szkoła
tak
nie
1991
54 140,60 zł
KB
Starogard Gd., ul. Zblewska 18
dobry
dobry
dobry
dobry
dobry
dobry
Strona 2 z 29
6 Plac betonowy - droga
szkoła
tak
nie
1992
5 406,80 zł
KB
Starogard Gd., ul. Zblewska 18
dobry
dobry
dobry
dobry
dobry
dobry
7 Sieć wodociągowa
szkoła
tak
nie
1992
47 554,40 zł
KB
Starogard Gd., ul. Zblewska 18
dobry
dobry
dobry
dobry
dobry
dobry
8 Sieć kanalizacji deszczowej
szkoła
tak
nie
1992
143 912,90 zł
KB
Starogard Gd., ul. Zblewska 18
dobry
dobry
dobry
dobry
dobry
dobry
9 Sieć kanalizacji sanitarnej
szkoła
tak
nie
1992
108 335,20 zł
KB
Starogard Gd., ul. Zblewska 18
dobry
dobry
dobry
dobry
dobry
dobry
10 Oświetlenie Szkoły
szkoła
tak
nie
1992
6 693,00 zł
KB
Starogard Gd., ul. Zblewska 18
dobry
dobry
dobry
dobry
dobry
dobry
11 Ogrodzenie Szkoły
szkoła
tak
nie
1992
121 482,40 zł
KB
Starogard Gd., ul. Zblewska 18
dobry
dobry
dobry
dobry
dobry
dobry
12 Budynek Basenu
szkoła
tak
nie
2001
4 106 980,13 zł
KB
monitoring, kraty, portier
Starogard Gd., ul. Zblewska 18
dobry
dobry
dobry
dobry
dobry
dobry
13 Boisko piłkarskie
szkoła
tak
nie
2011
1 368 258,19 zł
KB
monitoring
Starogard Gd., ul. Zblewska 18
dobry
dobry
dobry
dobry
dobry
dobry
14 Oświetlenie boiska
szkoła
tak
nie
2011
219 004,75 zł
KB
Starogard Gd., ul. Zblewska 18
dobry
dobry
dobry
dobry
dobry
dobry
15 Ogrodzenie boiska
szkoła
tak
nie
2011
76 039,18 zł
KB
Starogard Gd., ul. Zblewska 18
dobry
dobry
dobry
dobry
dobry
dobry
pustak,cegła
płyta żelbetonowa
płyta żelbet., papa
15 515 508,27 zł
RAZEM
6 Publiczne Gimnazjum Nr 3
1 SZKOŁA
szkoła
tak
nie
2 SALA GIMNASTYCZNA
sala
tak
nie
DROGI I PLACE UTWARDZONE
3
PRZY BUDYNKU SZKOŁY
drogi
tak
nie
1913 r. (zak.remont
kapitalny
1989 r.roku)
31.12.2003
( zwiększenie
środka trwałego na
31.03.2009r.
-remont sali gimn.)
31.12.2003 rok
RAZEM
7
4 839 791,22 zł
KB
Monitoring przeciwpożarowy i przeciwwłamaniowy, kamery 83-200 Starogard Gdański ul. 2 Pułku
wewnętrzne
Szwoleżerów Rokitniańskich 4
216 430,16 zł
KB
Monitoring przeciwwłamaniowy
83-200 Starogard Gdański ul. 2 Pułku
Szwoleżerów Rokitniańskich 4
398 985,22 zł
KB
Kamery zewnętrzne - na budynku szkoły
83-200 Starogard Gdański ul. 2 Pułku
Szwoleżerów Rokitniańskich 4
KB
p.poż-hydranty wewnętrzne25 - 13 szt, podręczny sprzęt
gaśniczy-23szt, przeciwpożarowe wyłączniki prądu,
sygnalizacja alarmu pożarowego(SAP), urządzenia
antypaniczne na wszystkich drzwiach ewakuacyjnych,
oświetlenie awaryjno-ewakuacyjne, przeciw kradzieżowesygnalizacja alarmu włamaniowego i monitoring video
podłączony pod firmęo chroniarską, drzwi okna
przeciwwłamaniowe
ul.Traugutta 2 Starogard Gdański
O
PRZECIWPOŻAROWE:gaśnice ABC - 14 sztuk, hydranty
6 sztuk, PRZECIWKRADZIEŻOWE: monitoring,kraty w
ściany zewnętrzne
oknach na parterze:księgowość, gab. kierownika
Aleja Jana Pawła II 10, 83-200 Starogard Gd. gazobeton, wewnętrzne
admin.,sekretariat, gab. dyrektora, biblioteka, czytelnia.
cegła ceramiczna
Dozór pracowniczy nocny 22.00-6.00
5 455 206,60 zł
Publiczne Gimnazjum Nr 2
1 Budyne szkoły
edukacja młodzieży
tak
Nie
kapitalny remont
10.2004 - 11.2006
4 636 199,04 zł
4 636 199,04 zł
RAZEM
pustak biały cementowo
wapienny
żelbetowe
żelbetowe jednospadowe,żelbetowe bardzo
dwuspadowe pokryte papą
dobry
8 Publiczne Gimnazjum Nr 1
1 Publiczne Gimnazjum nr 1
edukacja-szkoła publiczna
tak
nie
1971
8 093 000,00 zł
płyty betonowe,
kanałowe
dach płaski z płyt żelbetowych,
ocieplony, pokryty papą
termozgrzewalną
dobre
8 093 000,00 zł
RAZEM
bardzo
dobry
bardzo
dobry
bardzo
dobry
bardzo
dobry
okna - 90
% stan b.
dobry wymienio
ne na
do
do
PCV w dobra
remontu remontu
2008 r pozostaje
do
wymiany
25 sztuk
bardzo
dobry
dostatecz
na
9 Ośrodek Sportu i Rekreacji
1 Pawilon administracyjno-hotelowy
hotel / administracja
2 Garaże i warsztaty
3 Hala sportowa im. A. Grubby
TAK
nie
1972
286 523,00 zł
KB
TAK
nie
2011
534 849,02 zł
KB
dozór całodobowy oraz system ostrzegania p.poż;parter kraty w oknach i podwójne zamki w drzwiach
ul. Olimpijczyków Starogardzkich 1
nie
2002
7 544 370,79 zł
KB
ochrona mienia w formie doraźnej - patrol co godzinę
ul. Olimpijczyków Starogardzkich 1
1982
78 416,41 zł
KB
stały system dozoru instalacji alarmowej p.poż oraz
ochrona mienia w formie doraźnej - patrol co godzinę
ul. Olimpijczyków Starogardzkich 1
70 915,73 zł
KB
ochrona mienia w formie doraźnej - patrol co godzinę
ul.Harcerska
pustak / cegła
żelbetowe
ul.Hallera 19a
pustak
uprawianie sportu
ul. Olimpijczyków Starogardzkich 1
dobra
dobra
dobra
dobra
dobra
dobra
dobra
dobra
dobra
dobra
dobra
dobra
stalowy / blacha
dobra
dobra
dobra
dobra
dobra
dobra
żelbetowe
żelbetowy / papa
dobra
dobra
dobra
dobra
dobra
dobra
pustak
żelbetowe
żelbetowy / papa
dobra
dobra
dobra
dobra
dobra
dobra
pustak / cegła
żelbetowe
żelbetowy / papa
dobra
dobra
dobra
dobra
dobra
dobra
ul. Olimpijczyków Starogardzkich 1
pustak
dżwigary
drewno klejone
płyta Pw 8/B/UZ
dobra
dobra
dobra
dobra
dobra
dobra
ochrona mienia w formie doraźnej - patrol co godzinę
ul. Olimpijczyków Starogardzkich 1
pustak
żelbetowe
żelbetowy / papa
dobra
dobra
dobra
dobra
dobra
dobra
ochrona mienia w formie doraźnej - patrol co godzinę
ul. Olimpijczyków Starogardzkich 1
sanitariaty
TAK
nie
szatnie/łażnie
TAK
nie
TAK
nie
1985
952 207,00 zł
KB
uprawianie sportu
TAK
nie
1985
5 736 255,00 zł
KB
czujniki p.poż
ul.Hallera 19a
administracja/ hotel
TAK
nie
1985
1 089 457,00 zł
KB
czujniki p.poż
ul.Hallera 19a
kasa
TAK
nie
2011
41 512,50 zł
KB
czujniki p.poż
10 trybuny areny sportowej
TAK
nie
2011
2 017 583,32 zł
KB
11 pawilon techniczny areny sportowej
TAK
nie
2011
2 533 426,11 zł
KB
TAK
nie
2011
4 339 512,54 zł
KB
13 ciągi pieszo-jezdne
TAK
nie
2003
1 300 199,14 zł
KB
14 przyłącza zewn. Wod-kan
TAK
nie
2003
656 253,29 zł
KB
ochrona mienia w formie doraźnej - patrol co godzinę
ul. Olimpijczyków Starogardzkich 1
15 zadaszenia dla zawodników
TAK
nie
2003
10 614,00 zł
KB
ochrona mienia w formie doraźnej - patrol co godzinę
ul. Olimpijczyków Starogardzkich 1
16 zadaszenia dla zawodników
TAK
nie
2007
15 372,00 zł
KB
ochrona mienia w formie doraźnej - patrol co godzinę
ul.Harcerska
17 Ściana wspinaczkowa
TAK
nie
2008
781 612,49 zł
KB
18 parking przy hali sportowej
TAK
nie
2008
224 124,11 zł
KB
ochrona mienia w formie doraźnej - patrol co godzinę
ul. Olimpijczyków Starogardzkich 1
TAK
nie
2008
2 055 620,85 zł
KB
ochrona mienia w formie doraźnej - patrol co godzinę
ul. Olimpijczyków Starogardzkich 1
TAK
nie
27 825,00 zł
KB
ochrona mienia w formie doraźnej - patrol co godzinę
ul.Harcerska
4 Budynek WC
5 Budynek wielofunkcyjny
6 budynek restauracyjno-sportowy
7 hala sportowa
8 budynek hotelowy
9 budynek kas
12 arena sportowa
19
boisko treningowe ze sztuczną
nawierzchnią
20 Ogrodzenie betonowe
uprawianie sportu
uprawianie sportu
stały system dozoru instalacji alarmowej p.poż oraz
ochrona mienia w formie doraźnej - patrol co godzinę;
instalacja alarmowa p.kradzieżowa
stały system dozoru instalacji alarmowej p.poż oraz
ochrona mienia w formie doraźnej - patrol co godzinę;
monitoring wizyjny (kamery)
ul. Olimpijczyków Starogardzkich 1
ul. Olimpijczyków Starogardzkich 1
ul. Olimpijczyków Starogardzkich 1
Strona 3 z 29
pustak / cegła
żelbetowe
żelbetowy / papa
21 Płyta boiska
uprawianie sportu
TAK
nie
237 359,18 zł
KB
22 korty
uprawianie sportu
TAK
nie
2010
333 564,00 zł
KB
TAK
nie
2010
698 854,02 zł
KB
ochrona mienia w formie doraźnej - patrol co godzinę
ul. Olimpijczyków Starogardzkich 1
23 oświetlenie stadionu im.A.Grubby
ul.Harcerska
ul. Olimpijczyków Starogardzkich 1
24 Boisko wielofunkcyjne
uprawianie sportu
TAK
nie
2010
956 209,37 zł
KB
ochrona mienia w formie doraźnej - patrol co godzinę
ul. Olimpijczyków Starogardzkich 1
25 obiekt skatingowy
uprawianie sportu
TAK
nie
2010
139 563,69 zł
KB
ochrona mienia w formie doraźnej - patrol co godzinę
ul. Olimpijczyków Starogardzkich 1
TAK
nie
2011
25 967,58 zł
KB
ochrona mienia w formie doraźnej - patrol co godzinę
ul.Gryfa / Kleszczyńskiego
TAK
nie
2011
23 949,98 zł
KB
TAK
nie
2011
72 571,62 zł
KB
26 ogrodzenie ogródka
27 urządzenia zabawowe
rekreacja
28 przyłącze cieplne
RAZEM
ul.Gryfa / Kleszczyńskiego
ochrona mienia w formie doraźnej - patrol co godzinę
ul. Olimpijczyków Starogardzkich 1
32 784 688,74 zł
10 Miejski Zespół Obsługi Przedszkoli i Placówek Oświatowych
1
Budynek Starostwa Powiatowego Ognisko Pracy Pozaszkolnej
_
_
_
_
RAZEM
_
_
_
ul. Sikorskiego 26 83-200 Starogard Gdański
0,00 zł
11 Miejski Zakład Komunikacji
Hala obsługowo-naprawcza z
1 zapleczem socjalnoadministracyjnym
tak
2009
5 098 933,21 zł
KB
2 Budynek garażowy
tak
2009
207 980,00 zł
KB
3 Oświetlenie terenu
nie dotyczy
2009
39 178,13 zł
KB
4 Sieć wodociągowa
nie dotyczy
2009
93 377,58 zł
KB
5 Sieć kanalizacji sanitarnej
nie dotyczy
2009
150 028,54 zł
KB
6 Sieć kanalizacji deszczowej
nie dotyczy
2009
37 489,94 zł
KB
7 Sieć kanalizacji technologicznej
nie dotyczy
2009
96 516,52 zł
KB
8 Droga dojazdowa
nie dotyczy
2009
125 395,57 zł
KB
RAZEM
płyta warstwowa
hydranty-4;
gaśnice proszkowe-19;gaśnice śniegoweStarogard Gdański,
2;alarm;monitoring i obecność pracownika przez całą dobę,
ul. Tczewska 20
7 dni w tygodniu.
5 848 899,49 zł
12 Miejskie Przedszkole Publiczne Nr 10
1 Budynek przedszkola
cele statutowe przedszkola
TAK
NIE
2 Ogrodzenie
cele statutowe przedszkola
TAK
NIE
3 Plac zabaw
cele statutowe przedszkola
TAK
NIE
4 Linia energrtyczna oświetlajaca teren cele statutowe przedszkola
TAK
NIE
5 Śmietnik
TAK
NIE
cele statutowe przedszkola
1983/2011
termomodernizacja
budynku
plac zabaw
bardzo
dobry
bardzo
dobry
bardzo
dobry
bardzo
dobry
1983
14 312,90 zł
KB
nie dotyczy
_
_
_
_
_
38 802,41 zł
KB
nie dotyczy
os. 60- lecia Odzyskania Niepodległości Polski
8, 83- 200 Starogard Gdański
_
_
_
_
_
_
_
_
_
1983
1 799,90 zł
KB
nie dotyczy
os. 60- lecia Odzyskania Niepodległości Polski
8, 83- 200 Starogard Gdański
_
_
_
_
_
_
_
_
_
1995
1 230,11 zł
KB
nie dotyczy
os. 60- lecia Odzyskania Niepodległości Polski
8, 83- 200 Starogard Gdański
_
_
_
_
_
_
_
_
_
dobra
bardzo
dobry
moderniz
acja
dobra
bardzo
dobry
moderniz
acja
2 982 145,32 zł
wychowanie przedszkolne
TAK
NIE
1991
rekreacja dla dzieci
tak
nie
2009
RAZEM
Miejskie Przedszkole Publiczne Nr
6 „Modraczek”
Miejskie Przedszkole Publiczne Nr 6
1 "Modraczek" w Starogardzie
Gdanskim
bardzo
dobry
1983/2009
13 Miejskie Przedszkole Publiczne Nr 8 „Bajeczka”
Miejskie Przedszkole Publiczne Nr 8
"Bajeczka"
płyty prefabrykowane,
ściany zewnętrzne z
typowych bloczków
os. 60- lecia Odzyskania Niepodległości Polski
prefabrykowane
stropodach wentylowany, ocieplony bardzo
kanałowych, bloczków
8, 83- 200 Starogard Gdański
typowe płyty kanałowe płytami z wełny mineralnej
dobry
gazobetonowych o gr. 24
cm,grubość z
ociepleniem 38 cm.
os. 60- lecia Odzyskania Niepodległości Polski
_
_
_
_
8, 83- 200 Starogard Gdański
O
RAZEM
1
szyby antywłamaniowe w 4 pomieszczeniach, alarm
antywlamaniowy i elektoniczny system p.poż podłączony
do całodobowego dozoru agencji ochrony, hydranty kraty
na drzwiach do pomieszceń- pokój intendentki i magazyn
żywnościowy, gaśnice
2 926 000,00 zł
775 494,00 zł
KB
19 354,74 zł
KB
system sygnalizacji i włamania, podw,ójne drzwi wejściowe
wyposazone w podwójne zamki - hydranty /aktualne
warstwowe grubości 36
przeglądy/ nowe wężowce, gasnice, oznakowane wejścia os. Konstytucji 3 Maja 15, Starogard Gdański cm z prefabrykowanych
ewakuacyjne, pomiesczenia okratowane /magazyn,
elementów ściennych
archiwum, biuro intendenta/
os. Konstytucji 3 Maja 15, Starogard Gdański
z prefabrykowanych
żelbetonowych płyt
grubości 24 cm
stropodach wentylowany
bardzo bardzo
dobry
dobry
moderniz moderniz
acja
acja
DMS
drewniany dwuspadowy kryty
blachodachówką,na części
stropodach płaski
bardzo
dobry
dobry
dobry
bardzo
dobry
dobry
dobry
pokrycie dachu – papa
bardzo
dobry
dobry
dobry
bardzo
dobry
dobry
bardzo
dobry
bardzo
dobry
dobry
dobry
bardzo
dobry
bardzo
dobry
bardzo
dobry
794 848,74 zł
14
2 plac zabaw z wyposażeniem
dzialalność dydaktycznowychowawczo-opiekuńcza
tak
rekreacja
tak
nie
nie
1956,rozbudowa w
latach 70-tych
535 923,70 zł
2008,2012
47 269,51 zł
1
KB
zabezpieczenie przeciwpozarowe-11 gasnic
proszkowych,hydrant zewnetrzny i
wewnetrzny,zabezpieczenia przeciwkradziezowe-3 szyby
przeciwkradzieżowe,system alarmowy-sygnał
przekazywany do siedziby agencji ochrony,całodobowy
dozór agencji ochrony
cegła pełna
Al..Jana Pawla II 5,Starogard Gdański
583 193,21 zł
RAZEM
15
KB
Miejskie Przedszkole Publiczne Nr
5
Miejskie Przedszkole Publiczne Nr 5
im. Janusza Korczaka
2 plac zabaw
przedszkole
przedszkole
TAK
NIE
tak
1977
2009
RAZEM
365 292,92 zł
21 658,67 zł
KB
Aleja Jana Pawła II Nr 8, 83- 200 Starogard
Gdański
KB
ściany piwnic betonowe,
gazobeton, bloki.
ściany kondynagcji
24cm., strop
naziemnych płyta
wielkoblokowy
wielkoblokowa
365 292,92 zł
16 Miejskie Przedszkole Publiczne Nr 4
1 budynek przedszkola
gaśnice GP6- 5 szt., AF2 -1 szt., hydranty H25/15 – 2 szt., Aleja Jana Pawła II nr 8 83-200 Starogard
alarm
Gdański
działalnośc oświatowa
tak
nie
1974
3 416 000,00 zł
O
przeciwpożarowe: gaśnice ( proszkowe 5 szt.), hydranty
wewnętrzne - 2 szt., zewnętrzne hydranty - 2 szt. w tym
jeden sprawny. Przeciw kradzieży: kraty w drzwiach, roleta
ul. Reymonta 7 , 83-200 Starogard Gd,
antywłamaniowa na oknach kancelarii, w pomieszczeniu ,
w którym znajduje się sprzęt elektroniczny i komputerowy alarm (część doby - noc)
Strona 4 z 29
pustak biały cementowo
wapienny
murowane
płaski, pokryty papą betonowy
2 ogrodzenie
tak
2007
32 000,00 zł
KB
2007
20 312,28 zł
KB
nie
3 plac zabaw
ul. Reymonta 7 , 83-200 Starogard Gdański
3 468 312,28 zł
RAZEM
17 Miejskie Przedszkole Publiczne Nr 3
przedszkole
tak
nie
1964
2 259 209,00 zł
O
83-200 Starogard Gdański Aleja Wojska 8B cegła kratówka i pelna
2 Dżwig towarowy
w przedszkolu
tak
nie
1987
9 094,56 zł
KB
83-200 Starogard Gdański Aleja Wojska 8B
3 Sprzęt ogrodowy
ogrod przedszkolny
83-200 Starogard Gdański Aleja Wojska 8B
1 Miejskie Przedszkole Publiczne nr 3
tak
nie
2009
KB
4 Lokomotywa szt 1
tak
nie
2009
KB
5 zestaw zabawowy szt.1
tak
nie
2009
6 Zestaw Ania szt.1
tak
nie
2009
KB
7 Bujaki na sprężynie szt.4
tak
nie
2009
KB
83-200 Starogard Gdański Aleja Wojska 8B
tak
nie
2011
1 537,50 zł
KB
83-200 Starogard Gdański Aleja Wojska 8B
8 Belka balansująca szt.1
ogród przedszkolny
17 999,88 zł
KB
stropodach płaski pokryty papą
docieplony styropianem
dobre
dobre
dobre
dobre
dobre
dobre
83-200 Starogard Gdański Aleja Wojska 8B
alarm, powiadomienie do agencji ochrony HERA
,monitoring, kraty w kilku pomieszczeniach, gaśnice,
hydrant wewn.
83-200 Starogard Gdański Aleja Wojska 8B
83-200 Starogard Gdański Aleja Wojska 8B
9
Zesatw zręcznościowy czworoboczny
BARTEK
tak
nie
2011
3 099,60 zł
KB
83-200 Starogard Gdański Aleja Wojska 8B
10
Zestawzręcznościowy sześcioboczny
BARTEK
tak
nie
2011
3 936,00 zł
KB
83-200 Starogard Gdański Aleja Wojska 8B
RAZEM
Ackermana
2 294 876,54 zł
18 Miejskie Przedszkole Publiczne Nr 2
1 budynek jednopiętrowy
przedszkole
tak
nie
lata 70-te
2 plac zabaw
przedszkole
tak
nie
2010
2 748 000,00 zł
O
36 085,70 zł
KB
hydranty-4 szt. H-52, gaśnice: proszkowa 6 kg 27A 183 BC
83-200 Starogard Gdański Al.. Jana Pawła II
- 7 szt. i gaśnica do tłuszczu - GWG-2xAF-1 - 1 sztuka,
nr 7
alarm, okna p.włamaniowe w gabinetach terapii
83-200 Starogard Gdański Al.. Jana Pawła II
ogrodzenie zamykane
nr 7
ściany z cegły
ceramicznej pełnej gr. 1
1/2 C
belki i podciągi
wentylowany, płyty korytkowe,
żelbetowe; stropy typu
ułożone na ściankach ażurowych
D 2-3
BARDZO
BARDZO
DOBRY DOBRY
DOBRY DOBRY
DOBRY
DOBRY
2 784 085,70 zł
RAZEM
Miejski Ośrodek Pomocy
Społecznej
Miejski Ośrodek Pomocy Społecznej,
1 drogi i place, ogrodzenia, zespół
budynek administracyjny
latarni oświetleniowych
dom dzienny dla osób
Ośrodek Adapracyjny drogi i place,
niepełnosprawnych
2 ogrodzenie, zespół latarni
intelektualnie po ukończonym
ośwetleniowych
dom
dziennyszkolnym
dla osób
obowiązku
Środowiskowy Dom Samopomocy
niepełnosprawnych
3
place
intelektualnie po ukończonym
obowiązku
szkolnym
dom dzienny dla osób
Środowiskowy Dom Samopomocy
starszych i samotnych,
4
drogi i place, ogrodzenie
psychicznie chorych
19
TAK
NIE
1977
817 523,55 zł
KB
TAK
NIE
1999
1 024 301,49 zł
KB
TAK
NIE
1955
278 619,12 zł
KB
TAK
NIE
ok. 1920
98 969,57 zł
KB
RAZEM
2 219 413,73 zł
przeciwkradzieżowe: alarmy (całodobowy monitoring
przesyłanych sygnałów prowadzony przez agencje
ochrony); instalacja hydrantowa wewnętrzna z wężami
przeciwkradzieżowe:
alarmy (całodobowy
płasko składanymi, instalacja
odgromowa,monitoring
przesyłanych
sygnałów
prowadzony przez agencje
gaśniceproszkowe
szt. 10
ochrony); instalacja hydrantowa wewnętrzna z wężami
przeciwkradzieżowe:
alarmy (całodobowy
płasko składanymi, instalacja
odgromowa,monitoring
przesyłanych
sygnałów
prowadzony
przez agencje
gaśniceproszkowe
szt. 4,
rolety antywłamaniowe
ochrony); instalacja hydrantowa wewnętrzna z wężami
przeciwkradzieżowe:
alarmy (całodobowy
płasko składanymi, instalacja
odgromowa,monitoring
przesyłanych
sygnałów
prowadzony
przez agencje
gaśniceproszkowe
szt. 1,
rolety antywłamaniowe
ochrony); instalacja hydrantowa wewnętrzna z wężami
płasko składanymi, instalacja odgromowa,
gaśniceproszkowe szt. 4
Al. Jana Pawła II 6 Starogard Gdański
Al.. Jana Pawła II 6A Starogard Gdański
Al.. Jana Pawła II 5 Starogard Gdański
ul. Pelplińska 3 Starogard Gdański
20 Zespół Szkół Publicznych
1 Szkoła
edukacja
tak
NIE
1995
12 000 000,00 zł
O
2 Oddział "0"
edukacja
tak
NIE
1900
1 269 061,40 zł
KB
gaśnica śniegowa - 3 szt, gaśnica proszkowa - 10 szt.,
gaśnica CO2 - 1 szt., hydranty 14 szt., czujnik gazowy - 1
Starogard Gd., ul. Bp.K.Dominika 32
szt., dozór pracowniczy całodobowy, monitoring wizyjny na
zewnątrz,
gaśnica proszkowa - 3 szt., dozór pracowniczy całodobowy Starogard Gd., ul. Kalinowskiego 28
sport
tak
NIE
2008
1 261 772,57 zł
KB
dozór pracowniczy całodobowy
3 Zespół boisk sportowych ORLIK
Starogard Gd., ul. Kalinowskiego 28
14 530 833,97 zł
RAZEM
SUMA OGÓŁEM:
118 568 922,58 zł
Strona 5 z 29
DOBRY DOBRY DOBRY DOBRY DOBRY DOBRY
DOBRY DOBRY DOBRY DOBRY DOBRY DOBRY
DOBRY DOBRY DOBRY DOBRY DOBRY DOBRY
Tabela nr 1 - Wykaz budynków, lokali i budowli Gminy Miejskiej Starogard Gdański w użyczeniu TBS
lp.
nazwa budynku/ budowli
przeznaczenie
budynku/ budowli
czy budynek czy budynek jest
jest
przeznaczony do
użytkowany?
rozbiórki?
(TAK/NIE)
(TAK/NIE)
czy jest to budynkek
zabytkowy,
podlegający
rok budowy
nadzorowi
konserwatora
zabytków?
wartość początkowa (księgowa brutto) (1)
zabezpieczenia
(znane zabezpieczenia
p-poż i przeciw
kradzieżowe) (2)
Rodzaj materiałów budowlanych, z jakich wykonano budynek
lokalizacja (adres)
mury
stropy
dach (konstrukcja i pokrycie)
Chojnicka 54A
cegła pełna
drewniane
dach drewniany kryty papą
Chojnicka 69A
cegła pełna
drewniane
dach drewniany kryty papą
Chojnicka 71
cegła pełna
drewniane
dach drewniany kryty papą
Chojnicka 71A
Chopina 8
Chopina 10
drewniane
drewniane
drewniane
dach drewniany kryty papą
dach drewniany kryty papą
dach drewniany kryty papą
żelbetowe
żelbetowy kryty papą
żelbetowe
żelbetowy kryty papą
Kościuszki 98A
Kosciuszki 98B
cegła pełna
cegła pełna
cegła pełna
bloczki
gazobetonowe,
cegła pełna
bloczki
gazobetonowe,
cegła pełna
cegła pełna
cegła pełna
drewniane
drewniane
dach drewniany kryty papą
dach drewniany kryty papą
Kościuszki 129
cegła pełna
drewniane
dach drewniany kryty papą
Lubichowska 86
Magazynowa 4
Magazynowa 6
Magazynowa 6A
Magazynowa 6B
cegła pełna
cegła pełna
cegła pełna
cegła pełna
cegła pełna
dach drewniany kryty dachówką
dach drewniany kryty papą
dach drewniany kryty papą
dach drewniany kryty papą
dach drewniany kryty papą
Orzeszkowej 9
cegła pełna
drewniane
drewniane
drewniane
drewniane
drewniane
prefabrykowa
ne
Piłsudskiego 20
cegła pełna
drewniane
dach drewniany kryty
blachodachówką
Piłsudskiego 30
cegła pełna
drewniane
dach drewniany kryty papą
Plac Koszarowy 2
cegła pełna
drewniane
dach drewniany kryty papą
Pomorska 25
cegła pełna
drewniane
dach drewniany kryty papą
Pomorska 27
Pomorska 29
cegła pełna
cegła pełna
drewniane
drewniane
dach drewniany kryty papą
dach drewniany kryty papą
Przy Młynie 1
cegła pełna
Rynek 2A
cegła pełna
drewniane
Rynek 14
cegła pełna
drewniane
cegła pełna
drewniane
cegła pełna
cegła pełna
drewniane
drewniane
dach drewniany kryty
blachodachówką
dach drewniany kryty
blachodachówką
dach drewniany kryty
blachodachówką
dach drewniany kryty papą
dach drewniany kryty gutanitem
Tczewska 13
cegła pełna
żelbetowy
żelbetowy kryty papą
Tczewska 17
cegła pełna
drewniane
drewniany kryty blachodachówką
Tczewska 19
bloczki
gazobetonowe
drewniane
dach drewniany kryty papą
Tczewska 22
cegła pełna
drewniane
dach drewniany kryty papą
Tczewska 22B
cegła pełna
drewniane
dach drewniany kryty papą
Skarszewska 7F-7G
cegła pełna
drewniane
drewniany kryty papą
58 278,05 zł brak
wyłącznik
99 251,50 zł
przeciwpożarowy
Owidzka 4
cegła pełna
drewniane
dach drewniany kryty papą
Owidzka 14
cegła pełna
drewniane
dach drewniany kryty papą
66 027,41 zł brak
Parkowa 1A
33 700,98 zł brak
Owidzka 14A
cegła pełna
drewniane
dach drewniany kryty papą
Paderewskiego 7
cegła pełna
drewniane
dach drewniany kryty papą
żelbetowe
żelbetowy kryty papą
drewniane
drewniane
Zarządca: TBS Ziemi Kociewskiej; Ubezpieczający: TBS ZK SP. Z O.O., Ubezpieczony: Urząd Miasta Starogard Gdański
1
Budynek mieszkalny
cel mieszkalny
tak
NIE
nie
1920
2
Budynek mieszkalny
cel mieszkalny
tak
NIE
nie
1929
3
Budynek mieszkalny
cel mieszkalny
tak
NIE
tak
1890
4
5
6
Budynek mieszkalny
Budynek mieszkalny
Budynek mieszkalny
cel mieszkalny
cel mieszkalny
cel mieszkalny
tak
tak
tak
NIE
NIE
NIE
nie
nie
tak
1890
1920
1920
8
Budynek mieszkalny
cel mieszkalny
tak
NIE
nie
1973
wyłącznik
przeciwpożarowy
23 765,91 zł brak
wyłącznik
249 092,46 zł
przeciwpożarowy
60 694,02 zł brak
26 104,74 zł brak
14 624,99 zł brak
52 189,81 zł
97 614,80 zł brak
wyłącznik
174 484,68 zł
przeciwpożarowy
9
Budynek mieszkalny
cel mieszkalny
tak
NIE
nie
1973
11
12
Budynek mieszkalny
Budynek mieszkalny
cel mieszkalny
cel mieszkalny
tak
tak
NIE
NIE
nie
nie
1910
1910
13
Budynek mieszkalny
cel mieszkalny
tak
NIE
nie
1900
14
15
16
17
18
Budynek mieszkalny
Budynek mieszkalny
Budynek mieszkalny
Budynek mieszkalny
Budynek mieszkalny
cel mieszkalny
cel mieszkalny
cel mieszkalny
cel mieszkalny
cel mieszkalny
tak
tak
tak
tak
tak
NIE
NIE
NIE
NIE
NIE
nie
nie
nie
nie
nie
1900
1920
1920
1920
1920
19
Budynek mieszkalny
cel mieszkalny
tak
NIE
nie
1963
20
Budynek mieszkalny
cel mieszkalny
tak
NIE
nie
1929
21
Budynek mieszkalny
cel mieszkalny
tak
NIE
nie
1920
22
Budynek mieszkalny
cel mieszkalny
tak
NIE
nie
1900
23
Budynek mieszkalny
cel mieszkalny
tak
NIE
nie
1936
24
25
Budynek mieszkalny
Budynek mieszkalny
cel mieszkalny
cel mieszkalny
tak
tak
NIE
NIE
nie
nie
1936
1936
26
Budynek mieszkalny
cel mieszkalny
tak
NIE
tak
1915
27
Budynek mieszkalny
cel mieszkalny
tak
NIE
tak
1880
28
Budynek mieszkalny
cel mieszkalny
tak
NIE
tak
1800
29
Budynek mieszkalny
cel mieszkalny
tak
NIE
nie
1860
41 058,78 zł brak
30
31
Budynek mieszkalny
Budynek mieszkalny
cel mieszkalny
cel mieszkalny
tak
tak
NIE
NIE
nie
nie
1893
1920
32
Budynek mieszkalny
cel mieszkalny
tak
NIE
nie
1887
33
Budynek mieszkalny
cel mieszkalny
tak
NIE
nie
1949
70 500,00 zł brak
10 234,18 zł brak
wyłącznik
53 097,00 zł
przeciwpożarowy
wyłącznik
36 915,85 zł
przeciwpożarowy
34
Budynek mieszkalny
cel mieszkalny
tak
NIE
nie
1946
35
Budynek mieszkalny
cel mieszkalny
tak
NIE
tak
1900
36
Budynek mieszkalny
tak
NIE
tak
1900
37
Budynek gospodarczy
tak
NIE
nie
1910
38
Budynek mieszkalny
cel mieszkalny
Składowanie opału i
sprzętów
cel mieszkalny
tak
NIE
nie
1860
39
Budynek mieszkalny
cel mieszkalny
tak
NIE
nie
1910
40
Budynek mieszkalny
cel mieszkalny
nie
nie
zły
40
Budynek mieszkalny
cel mieszkalny
tak
NIE
nie
1910
41
Budynek mieszkalny
cel mieszkalny
tak
NIE
tak
1850
44
Budynek mieszkalny
cel mieszkalny
tak
NIE
nie
1975
45
46
Budynek mieszkalny
Budynek mieszkalny
cel mieszkalny
cel mieszkalny
tak
tak
NIE
NIE
nie
nie
1890
1890
47
Budynek mieszkalny
cel mieszkalny
tak
NIE
nie
1913
48
Budynek mieszkalny
cel mieszkalny
tak
NIE
nie
1923
49
Budynek mieszkalny
cel mieszkalny
tak
NIE
nie
1880/1970
50
Budynek mieszkalny
cel mieszkalny
tak
NIE
nie
1983/2007
51
Budynek mieszkalny
cel mieszkalny
tak
NIE
tak
1890
52
Budynek mieszkalny
cel mieszkalny
tak
NIE
nie
1880
53
Budynek mieszkalny
cel mieszkalny
tak
NIE
tak
1941/2004
54
Budynek mieszkalny
cel mieszkalny
tak
NIE
tak
1941
55
Budynek mieszkalny
cel mieszkalny
tak
NIE
tak
1941
56
Budynek mieszkalny
cel mieszkalny
tak
NIE
tak
1941
57
Budynek mieszkalny
cel mieszkalny
tak
NIE
tak
1941
58
Budynek mieszkalny
cel mieszkalny
tak
NIE
nie
1857
59
Budynek mieszkalny
cel mieszkalny
tak
NIE
tak
1800
60
Budynek mieszkalny
cel mieszkalny
tak
NIE
tak
1925
61
Budynek mieszkalny
cel mieszkalny
tak
NIE
nie
1960
62
Budynek mieszkalny
cel mieszkalny
tak
NIE
tak
1890
63
Budynek mieszkalny
cel mieszkalny
tak
NIE
tak
1890
64
Budynek mieszkalny
cel mieszkalny
tak
NIE
nie
1949
65
Budynek mieszkalny
cel mieszkalny
tak
NIE
tak
1860
66
67
Budynek mieszkalny
Budynek mieszkalny
cel mieszkalny
cel mieszkalny
tak
tak
NIE
NIE
nie
nie
1815
1820
68
Budynek mieszkalny
cel mieszkalny
tak
TAK
nie
1880
69
Budynek mieszkalny
cel mieszkalny
tak
NIE
nie
1930
70
71
Budynek mieszkalny
Budynek mieszkalny
cel mieszkalny
cel mieszkalny
tak
tak
NIE
NIE
nie
nie
1920
1929
72
Budynek mieszkalny
cel mieszkalny
tak
NIE
tak
1892
73
Budynek mieszkalny
cel mieszkalny
tak
NIE
tak
1892
74
Budynek mieszkalny
cel mieszkalny
tak
NIE
nie
75
Budynek mieszkalny
cel mieszkalny
tak
NIE
76
Budynek mieszkalny
cel mieszkalny
tak
77
Budynek mieszkalny
cel mieszkalny
tak
78
Budynek mieszkalny
cel mieszkalny
79
Budynek mieszkalny
cel mieszkalny
80
Budynek gospodarczy
81
Budynek gospodarczy
82
Budynek gospodarczy
83
Budynek gospodarczy
84
Budynek gospodarczy
85
Budynki gospodarcze
86
Budynek gospodarczy
87
Budynek gospodarczy
88
Budynek gospodarczy
Składowanie opału i
sprzętów
Składowanie opału i
sprzętów
Składowanie opału i
sprzętów
Składowanie opału i
sprzętów
Składowanie opału i
sprzętów
Składowanie opału i
sprzętów
Składowanie opału i
sprzętów
Składowanie opału i
sprzętów
Składowanie opału i
sprzętów
1 949,00 zł
21 770,71 zł brak
7 775,17 zł brak
wyłącznik
121 067,89 zł
przeciwpożarowy
41 012,04 zł brak
46 268,28 zł brak
36 202,29 zł brak
46 211,27 zł brak
50 963,49 zł brak
wyłącznik
101 995,10 zł
przeciwpożarowy
wyłącznik
148 787,86 zł
przeciwpożarowy
wyłącznik
93 948,52 zł
przeciwpożarowy
36 945,65 zł brak
wyłącznik
62 109,77 zł
przeciwpożarowy
33 936,00 zł brak
33 936,00 zł brak
wyłącznik
43 700,00 zł
przeciwpożarowy
34 745,93 zł brak
192 752,98 zł
wyłącznik
przeciwpożarowy
99 448,46 zł brak
wyłącznik
przeciwpożarowy
37 039,13 zł brak
161 701,13 zł
2 831,00 zł brak
wyłącznik
przeciwpożarowy
wyłącznik
306 490,34 zł
przeciwpożarowy
32 318,26 zł brak
21 203,82 zł brak
wyłącznik
132 023,26 zł
przeciwpożarowy
42 171,53 zł brak
wyłącznik
226 219,56 zł
przeciwpożarowy
138 986,03 zł
Nowowiejska 9
Nowowiejska 7
II Pułku Szwoleżerów
Rokitiańskich 2
Św. Elżbiety 1/1A
Świętojańska 15
prefabrykowany kryty papą
Pelplińska 16
Pelplińska 16A
bloczki
gazobetonowe
cegła pełna
cegła pełna
Jagiełły 14
cegła pełna
drewniane
Jagiełły 16
cegła pełna
drewniane
dach drewniany kryty papą
dach drewniany kryty papą
drewniany kryty papą i
blachodachówką
drewniany kryty papą
Kanałowa 15/15A
cegła pełna
drewniane
drewniany kryty blachodachówką
Kopernika 11A
bloczki
gazobetonowe
żelbetowe
żelbetowy kryty papą
Kościuszki 40
cegła pełna
drewniane
dach drewniany kryty papą
Kościuszki 48
cegła pełna +
drewniane
bloczki betonowe
drewniany kryty gutanitem
Grunwaldzka 1
cegła pełna
płyta Kleina
drewniany kryty blachodachówką
Grunwaldzka 4
cegła pełna
drewniane
drewniany kryty blachodachówką
Grunwaldzka 5
cegła pełna
drewniane
drewniany kryty blachodachówką
Grunwaldzka 7
cegła pełna
drewniane
drewniany kryty blachodachówką
Grunwaldzka 8
cegła pełna
drewniane
drewniany kryty blachodachówką
Hallera 38
cegła pełna
drewniane
drewniany kryty papą
Rynek 22
cegła pełna
drewniane
drewniany kryty dachówką
Sikorskiego 23
cegła pełna
drewniane
drewniany kryty papą
Skarszewska 5A
cegła pełna
DZ-3
żelbetowy kryty papą
Skarszewska 24
cegła pełna
drewniane
drewniany kryty papą
Skarszewska 24A
cegła pełna
drewniane
drewniany kryty papą
Sobieskiego 18
cegła pełna
drewniane
drewniany kryty papą
Al. Woj. Polskiego 11
cegła pełna
drewniane
dach drewniany kryty papą
Chojnicka 34
Chojnicka 34A
cegła pełna
cegła pełna
drewniane
drewniane
drewniany kryty papą
drewniany kryty papą
Chojnicka 43
cegła pełna
drewniane
drewniany kryty dachówką
Chojnicka 52
cegła pełna
drewniane
drewniany kryty papą
Chojnicka 52A
Chojnicka 54
cegła pełna
cegła pełna
drewniane
drewniane
drewniany kryty papą
drewniany kryty gutanitem i papą
Kościuszki 52
cegła pełna
drewniane
drewniany kryty gutanitem
21 519,64 zł brak
Kościuszki 52B
cegła + bloczki
betonowe
drewniane
drewniany kryty papą
1900
16 899,38 zł brak
Kościuszki 64
cegła pełna
drewniane
nie
1850
23 108,62 zł brak
Kościuszki 64A
cegła pełna
drewniane
NIE
nie
1900
Kościuszki 98
cegła pełna
drewniane
drewniany kryty papą i
blachodachówką
drewniany kryty papą i
blachodachówką
drewniany kryty papą
NIE
nie
1941
Wybickiego 5
cegła pełna
drewniane
drewniany kryty blachodachówką
tak
NIE
nie
1941
Wybickiego 7
cegła pełna
drewniane
drewniany kryty blachodachówką
tak
NIE
nie
1941
Wybickiego 8
cegła pełna
betonowe
drewniany kryty dachówką
tak
NIE
nie
1860
6 104,22 zł brak
Al. Woj. Polskiego 11
cegła pełna
drewniane
drewniany kryty papą
tak
NIE
nie
1920
2 157,12 zł brak
Chojnicka 54
drewniane
drewniany kryty papą
tak
NIE
nie
1929
3 069,06 zł brak
Chojnicka 69A
drewniane
drewniany kryty papą
tak
NIE
nie
1870
9 179,67 zł brak
Kanałowa 15
cegła pełna
drewniane
drewniany kryty papą
tak
NIE
nie
1870
9 851,72 zł brak
Kanałowa 15A
cegła pełna
drewniane
drewniany kryty papą
tak
NIE
nie
1870
4 488,20 zł brak
Kanałowa 15A
cegła pełna
drewniane
drewniany kryty papą
tak
NIE
nie
1913
2 114,09 zł brak
Jagiełły 14
cegła pełna
drewniane
drewniany kryty papą
tak
NIE
nie
1923
1 885,20 zł brak
Jagiełły 16
cegła pełna
drewniane
drewniany kryty papą
tak
NIE
nie
1900
7 297,22 zł brak
Lubichowska 86
cegła pełna
drewniane
drewniany kryty dachówką
2 167 469,37 zł brak
wyłącznik
przeciwpożarowy
wyłącznik
34 383,47 zł
przeciwpożarowy
wyłącznik
665 702,74 zł
przeciwpożarowy
wyłącznik
127 481,18 zł
przeciwpożarowy
wyłącznik
155 056,29 zł
przeciwpożarowy
wyłącznik
147 176,02 zł
przeciwpożarowy
wyłącznik
127 752,35 zł
przeciwpożarowy
33 869,17 zł brak
wyłącznik
63 787,93 zł
przeciwpożarowy
wyłącznik
197 472,81 zł
przeciwpożarowy
86 756,12 zł brak
wyłącznik
371 777,05 zł
przeciwpożarowy
wyłącznik
357 028,45 zł
przeciwpożarowy
49 717,56 zł brak
wyłącznik
128 965,61 zł
przeciwpożarowy
53 921,81 zł brak
10 956,81 zł brak
wyłącznik
36 663,15 zł
przeciwpożarowy
wyłącznik
72 062,50 zł
przeciwpożarowy
15 818,60 zł brak
57 452,64 zł brak
wyłącznik
52 698,14 zł
przeciwpożarowy
52 266,73 zł
89 958,12 zł brak
wyłącznik
przeciwpożarowy
wyłącznik
155 547,21 zł
przeciwpożarowy
wyłącznik
121 104,01 zł
przeciwpożarowy
155 547,21 zł
Parkowa 8
89
Budynek gospodarczy
90
Budynek gospodarczy
91
Budynek gospodarczy
92
Budynek gospodarczy
93
Budynek gospodarczy
94
Budynek gospodarczy
95
Budynek gospodarczy
96
Budynek gospodarczy
97
Budynek mieszkalny
98
Budynek mieszkalny
100
101
102
103
104
105
106
107
108
109
110
111
112
113
114
115
116
117
118
119
120
121
122
123
124
125
126
127
128
lokale gminne w budynku
wspólnoty mieszkaniowej - 2
lokale gminne w budynku
wspólnoty mieszkaniowej - 2
Lokale gminne w budynku
wspólnoty mieszkaniowej - 7
Lokale gminne w budynku
wspólnoty mieszkaniowej - 5
Lokale gminne w budynku
wspólnoty mieszkaniowej - 4
Lokale gminne w budynku
wspólnoty mieszkaniowej - 1
Lokale gminne w budynku
wspólnoty mieszkaniowej - 4
Lokale gminne w budynku
wspólnoty lokali użytkowych 2
lokale gminne w budynku
wspólnoty mieszkaniowej - 10
Lokale gminne w budynku
wspólnoty mieszkaniowej - 3
Lokale gminne w budynku
wspólnoty mieszkaniowej - 3
Lokale gminne w budynku
wspólnoty mieszkaniowej - 9
Lokale gminne w budynku
wspólnoty mieszkaniowej - 6
Lokale gminne w budynku
wspólnoty mieszkaniowej - 2
Lokale gminne w budynku
wspólnoty mieszkaniowej - 2
Lokale gminne w budynku
wspólnoty mieszkaniowej - 9
Lokale gminne w budynku
wspólnoty mieszkaniowej - 1
Lokale gminne w budynku
wspólnoty mieszkaniowej - 2
Lokale gminne w budynku
wspólnoty mieszkaniowej - 3
Lokale gminne w budynku
wspólnoty mieszkaniowej - 4
Lokale gminne w budynku
wspólnoty mieszkaniowej - 4
Lokale gminne w budynku
wspólnoty mieszkaniowej - 3
Lokale gminne w budynku
wspólnoty mieszkaniowej - 2
Lokale gminne w budynku
wspólnoty mieszkaniowej - 1
Lokale gminne w budynku
wspólnoty mieszkaniowej - 7
Lokale gminne w budynku
wspólnoty mieszkaniowej - 4
Lokale gminne w budynku
wspólnoty mieszkaniowej - 7
Lokale gminne w budynku
wspólnoty mieszkaniowej - 6
lokale gminne w budynku
wspólnoty mieszkaniowej - 1
Składowanie opału i
sprzętów
Składowanie opału i
sprzętów
Składowanie opału i
sprzętów
Składowanie opału i
sprzętów
Składowanie opału i
sprzętów
Składowanie opału i
sprzętów
Składowanie opału i
sprzętów
Składowanie opału i
sprzętów
tak
NIE
nie
1920
8 645,89 zł brak
Magazynowa 4
cegła pełna
drewniane
drewniany kryty papą
tak
NIE
nie
1920
8 645,89 zł brak
Magazynowa 6
cegła pełna
drewniane
drewniany kryty papą
tak
NIE
nie
1910
4 923,11 zł brak
Owidzka 14
cegła pełna
drewniane
drewniany kryty papą
tak
NIE
nie
1890
6 117,95 zł brak
Pelplińska 16
cegła pełna
drewniane
drewniany kryty papą
tak
NIE
nie
1949
26 699,41 zł brak
Tczewska 17
cegła pełna
drewniane
drewniany kryty papą
tak
NIE
nie
1890
5 682,30 zł brak
Skarszewska 24
cegła pełna
drewniane
drewniany kryty papą
tak
NIE
nie
1960
10 279,37 zł brak
Skarszewska 5A
cegła pełna
drewniane
drewniany kryty papą
tak
NIE
nie
1890
12 470,51 zł brak
Skarszewska 24A
cegła pełna
drewniane
drewniany kryty papą
cel mieszkalny
tak
NIE
tak
1909
Skarszewska 7G
cegła pełna
drewniane
drewniany kryty dachówką
cel mieszkalny
tak
NIE
tak
1898/1976
Skarszewska 7F
cegła pełna
drewniane
drewniany kryty papą
2 mieszk.
tak
NIE
tak
1898
wyłącznik
przeciwpożarowy
wyłącznik
134 817,90 zł
przeciwpożarowy
178 791,10 zł
34 058,84 zł brak
Al. Woj. Polskiego 8
Al. Wojska Polskiego 12
2 mieszk.
tak
NIE
nie
1898
44 655,85 zł brak
5 mieszk./ 2
użytkowe
tak
NIE
nie
1965
100 722,52 zł brak
Al. Woj. Polskiego 27
5 mieszk.
tak
NIE
nie
1964
53 622,04 zł brak
Al. Woj. Polskiego 29
3 mieszk. / 1
użytkowy
tak
NIE
tak
1934
113 558,38 zł brak
Al. Woj. Polskiego 30
1 mieszk.
tak
NIE
nie
1965
32 509,83 zł brak
Al. Woj. Polskiego 32
2 mieszk. / 2
użytkowe
tak
NIE
nie
1970
91 828,90 zł brak
Al. Woj. Polskiego 34
2 użytkowe
tak
NIE
nie
1970
51 427,90 zł brak
Al. Woj. Polskiego 34A
10 mieszk.
tak
NIE
nie
1970
127 871,75 zł brak
3 mieszk.
tak
NIE
nie
1920
49 430,38 zł brak
3 mieszk.
tak
NIE
tak
1850 i 1895
103 800,09 zł brak
Chojnicka 8 - Kozia 5
9 mieszk.
tak
NIE
tak
1819
112 716,47 zł brak
Chojnicka 17A
6 mieszk.
tak
NIE
nie
1886
112 132,47 zł brak
Chojnicka 19
2 mieszk.
tak
NIE
nie
1860
31 423,52 zł brak
Chojnicka 26
2 mieszk
tak
NIE
nie
1963
19 938,76 zł gaśnice
Droga Owidzka 5
9 mieszk.
tak
NIE
tak
1880
73 367,91 zł brak
Gdańska 4
1 mieszk
tak
NIE
nie
1931
13 332,22 zł brak
Gdańska 5
2 mieszk
tak
NIE
nie
1932
93 734,62 zł brak
Gdańska 9
3 mieszk
tak
NIE
nie
1957
37 748,55 zł brak
Gimnazjalna 12
4 mieszk
tak
NIE
nie
1956
58 409,20 zł brak
Gimnazjalna 13
4 mieszk
tak
NIE
nie
1960
48 309,44 zł brak
Gimnazjalna 18
3 mieszk
tak
NIE
tak
1951
53 137,33 zł brak
Grunwaldzka 2
2 mieszk
tak
NIE
tak
1941
23 487,61 zł brak
Grunwaldzka 6
1 mieszk
tak
NIE
tak
1941
27 453,57 zł brak
Grunwaldzka 10
7 mieszk
tak
NIE
nie
1958
172 913,99 zł brak
Grunwaldzka 33
4 mieszk
tak
NIE
nie
1958
70 705,95 zł brak
Grunwaldzka 37
7 mieszk
tak
NIE
nie
1956
143 982,91 zł brak
Grunwaldzka 39
3 mieszk / 3
użytkowe
tak
NIE
tak
1901
94 775,12 zł brak
Hallera 32
1 mieszk.
tak
NIE
nie
1986
20 641,51 zł brak
Iwaszkiewicza 3
Al. Woj. Polskiego 36
Basztowa 1
129
Lokale gminne w budynku
wspólnoty mieszkaniowej - 11
11 mieszk
tak
NIE
nie
1946
104 590,13 zł brak
Jagiełły 10
130
Lokale gminne w budynku
wspólnoty mieszkaniowej - 2
2 mieszk
tak
NIE
nie
1929
23 908,42 zł brak
Jagiełły 12
131
lokale gminne w budynku
wspólnotuy mieszkaniowej - 2
2 mieszk.
tak
NIE
nie
1903
32 501,71 zł brak
Jagiełły 32
2 mieszk
tak
NIE
nie
1979
55 805,54 zł brak
Kolejowa 32
2 mieszk
tak
NIE
nie
1962
22 307,86 zł brak
Konopnickiej 1
6 mieszk
tak
NIE
nie
1965
50 416,16 zł brak
Konopnickiej 5
7 mieszk
tak
NIE
nie
1965
63 432,57 zł brak
Konopnickiej 7
8 mieszk
tak
NIE
nie
1965
58 977,01 zł brak
Konopnickiej 9
3 mieszk
tak
NIE
nie
1961
22 761,54 zł brak
Kopernika 15
2 mieszk
tak
NIE
nie
1952
24 107,78 zł brak
Kopernika 32A
3 mieszk
tak
NIE
nie
1952
59 372,00 zł brak
Kopernika 32B
5 mieszk
tak
NIE
nie
1954
51 405,77 zł brak
Kopernika 32C
2 mieszk
tak
NIE
nie
1954
31 911,17 zł brak
Kopernika 32D
6 mieszk.
tak
NIE
nie
1954
127 108,83 zł brak
Kopernika 32E
8 mieszk.
tak
NIE
nie
1961
69 590,14 zł brak
Kopernika 32F
8 mieszk.
tak
NIE
nie
1961
89 741,93 zł brak
Kopernika 34
3 mieszk.
tak
NIE
nie
1960
84 833,37 zł brak
Kościuszki 7-11
6 mieszk
tak
NIE
nie
1958
95 666,72 zł brak
Kościuszki 12-14
6 mieszk/ 2 użytkowe
tak
NIE
tak
1890/1900
122 407,48 zł brak
Kościuszki 32 i 32A
6 mieszk
tak
NIE
nie
1959
118 713,95 zł brak
Kościuszki 33
1 mieszk/ 1 użytkowy
tak
NIE
tak
1860
53 891,49 zł brak
Kościuszki 35
132
133
134
135
136
137
138
139
140
141
142
143
144
145
146
147
148
149
Lokale gminne w budynku
wspólnoty mieszkaniowej - 2
Lokale gminne w budynku
wspólnoty mieszkaniowej - 2
Lokale gminne w budynku
wspólnoty mieszkaniowej - 6
Lokale gminne w budynku
wspólnoty mieszkaniowej - 7
Lokale gminne w budynku
wspólnoty mieszkaniowej - 8
Lokale gminne w budynku
wspólnoty mieszkaniowej - 3
Lokale gminne w budynku
wspólnoty mieszkaniowej - 2
Lokale gminne w budynku
wspólnoty mieszkaniowej - 3
Lokale gminne w budynku
wspólnoty mieszkaniowej - 5
Lokale gminne w budynku
wspólnoty mieszkaniowej - 2
lokale gminne w budynku
wspólnoty mieszkaniowej - 6
lokale gminne w budynku
wspólnoty mieszkaniowej - 8
lokale gminne w budynku
wspólnoty mieszkaniowej - 8
lokale gminne w budynku
wspólnoty mieszkaniowej - 3
Lokale gminne w budynku
wspólnoty mieszkaniowej - 6
Lokale gminne w budynku
wspólnoty mieszkaniowej - 8
Lokale gminne w budynku
wspólnoty mieszkaniowej - 6
Lokale gminne w budynku
wspólnoty mieszkaniowej - 2
150
lokale gminne w budynku
wspólnoty mieszkaniowej - 18
18 mieszk.
tak
NIE
nie
1800
123 399,24 zł brak
Kościuszki 57, 59, 59A
151
Lokale gminne w budynku
wspólnoty mieszkaniowej - 11
11 mieszk
tak
NIE
nie
1974
157 857,26 zł brak
Krasickiego 2
152
Lokale gminne w budynku
wspólnoty mieszkaniowej - 16
16 mieszk
tak
NIE
nie
1974
186 926,08 zł brak
Krasickiego 4
7 mieszk
tak
NIE
tak
1900
87 522,16 zł brak
Lubichowska 19
4 mieszk
tak
NIE
nie
1900
53 951,33 zł brak
Lubichowska 40
2 mieszk/ 1 użytkowy
tak
NIE
nie
1962
76 728,35 zł brak
Mickiewicza 1
2 mieszk
tak
NIE
nie
1931
50 479,15 zł brak
Mickiewicza 7
7 mieszk
tak
NIE
nie
1964
64 493,62 zł brak
Orzeszkowej 1
4 mieszk.
tak
NIE
nie
1964
34 768,15 zł brak
Orzeszkowej 3
7 mieszk
tak
NIE
nie
1964
52 245,10 zł brak
Orzeszkowej 5
5 mieszk
tak
NIE
nie
1963
51 791,28 zł brak
Orzeszkowej 7
8 mieszk
tak
NIE
nie
1963
83 142,61 zł brak
Orzeszkowej 11
2 mieszk
tak
NIE
nie
1962
28 320,35 zł brak
Osiedlowa 1
3 mieszk
tak
NIE
nie
1963
20 332,60 zł brak
Osiedlowa 3
153
154
155
156
157
158
159
160
161
162
163
Lokale gminne w budynku
wspólnoty mieszkaniowej - 7
Lokale gminne w budynku
wspólnoty mieszkaniowej - 4
Lokale gminne w budynku
wspólnoty mieszkaniowej - 3
Lokale gminne w budynku
wspólnoty mieszkaniowej - 2
Lokale gminne w budynku
wspólnoty mieszkaniowej - 7
lokale gminne w budynku
wspólnoty mieszkaniowej - 4
Lokale gminne w budynku
wspólnoty mieszkaniowej - 7
Lokale gminne w budynku
wspólnoty mieszkaniowej - 5
Lokale gminne w budynku
wspólnoty mieszkaniowej - 8
Lokale gminne w budynku
wspólnoty mieszkaniowej - 2
Lokale gminne w budynku
wspólnoty mieszkaniowej - 3
164
165
166
167
168
169
170
171
42
172
173
174
175
176
177
178
179
180
Lokale gminne w budynku
wspólnoty mieszkaniowej - 10
Lokale gminne w budynku
wspólnoty mieszkaniowej - 6
Lokale gminne w budynku
wspólnoty mieszkaniowej - 5
lokale gminne w budynku
wspólnoty mieszkaniowj - 5
Lokale gminne w budynku
wspólnoty mieszkaniowej - 11
Lokale gminne w budynku
wspólnoty mieszkaniowej - 6
lokale gminne w budynku
wspólnoty mieszkaniowej - 8
Lokale gminne w budynku
wspólnoty mieszkaniowej - 11
10 mieszk
tak
NIE
nie
1963
97 467,16 zł brak
Osiedlowa 7
6 mieszk
tak
NIE
nie
1963
65 424,58 zł brak
Osiedlowa 9
5 mieszk
tak
NIE
nie
1963
50 171,95 zł brak
Osiedlowa 11
5 mieszk.
tak
NIE
nie
1962
62 816,34 zł brak
Os. Ks. Szumana 3
11 mieszk
tak
NIE
nie
1925
115 219,82 zł brak
6 mieszk
tak
NIE
nie
1860
44 693,56 zł brak
Owidzka 6
8 mieszk.
tak
NIE
nie
1910
61 699,11 zł brak
Owidzka 18
11 mieszk
tak
NIE
nie
1865
96 659,95 zł brak
Owidzka 38
tak
NIE
tak
1800
162 365,03 zł brak
Paderewskiego 10
tak
NIE
nie
1800
118 295,53 zł brak
Paderewskiego 13
15mieszk./1
użytkowy
tak
NIE
nie
1988
489 805,30 zł brak
Piłsudskiego 7
8 mieszk.
tak
NIE
nie
1959
145 088,79 zł brak
Piłsudskiego 10
2 mieszk.
tak
NIE
nie
1922
14 998,23 zł brak
Piłsudskiego 12
6 mieszk
tak
NIE
nie
1929
65 380,94 zł brak
Piłsudskiego 14
3 mieszk
tak
NIE
nie
1929
26 159,85 zł brak
Piłsudskiego 16
16 mieszk.
tak
NIE
nie
1929
126 413,46 zł brak
Piłsudskiego 18
2 mieszk
tak
NIE
nie
1929
22 561,49 zł brak
Piłsudskiego 22
6 mieszk
tak
NIE
nie
1929
72 467,73 zł brak
Piłsudskiego 22A
Lokale gminne w budynku
4 loka.mieszk/2 lok.
wspólnoty lokali użytkowych –
użytkowe
6
Lokale gminne w budynku
3 mieszk/ 3 użytkowe
wspólnoty mieszkaniowej - 6
lokale gminne w budynku
wspólnoty mieszkaniowej - 16
lokale gminne w budynku
wspólnoty mieszkaniowej - 8
lokale gminne w budynku
wspólnoty mieszkaniowej - 2
Lokale gminne w budynku
wspólnoty mieszkaniowej - 6
Lokale gminne w budynku
wspólnoty mieszkaniowej - 3
lokale gminne w budynku
wspólnoty mieszkaniowej - 16
Lokale gminne w budynku
wspólnoty mieszkaniowej - 2
Lokale gminne w budynku
wspólnoty mieszkaniowej - 6
Owidzka 4A
181
Lokale gminne w budynku
wspólnoty mieszkaniowej - 23
23 mieszk
tak
NIE
tak
1870
252 457,59 zł brak
182
Lokale gminne w budynku
wspólnoty mieszkaniowej - 2
2 użytkowe
tak
NIE
tak
1880
37 637,50 zł brak
183
Lokale gminne w budynku
wspólnoty mieszkaniowej - 16
14 mieszk/2 lokale
użytkowe
tak
NIE
tak
1890
184 776,29 zł brak
Sambora 9
7 mieszk
tak
NIE
tak
1860
141 663,97 zł brak
Sikorskiego 8
2 mieszk
tak
NIE
nie
1959
58 054,50 zł brak
Sikorskiego 17
8 mieszk
tak
NIE
tak
1959
118 404,76 zł brak
Sikorskiego 21
6 mieszk
tak
NIE
nie
1965
98 518,11 zł brak
Skarszewska 2A
4 mieszk
tak
NIE
nie
1965
46 953,12 zł brak
Skarszewska 2B
4 mieszk
tak
NIE
nie
1965
51 265,70 zł brak
Skarszewska 2C
7 mieszk
tak
NIE
nie
1979
275 612,32 zł brak
5 mieszk
tak
NIE
nie
1955/1956
199 156,10 zł
brak
Skośna 7-9
5 mieszk
tak
NIE
nie
1966
63 989,37 zł
brak
Ściegiennego 1
4 mieszk
tak
NIE
nie
1967
30 239,72 zł
brak
Ściegiennego 3
11 mieszk
tak
NIE
nie
1968
127 643,39 zł
brak
Ściegiennego 3A
5 mieszk.
tak
NIE
nie
1966
62 886,27 zł
brak
Ściegiennego 5
3 mieszk/ 1 użytkowy
tak
NIE
tak
1900
56 181,17 zł
brak
Sobieskiego 11
184
185
186
187
188
189
190
191
192
193
194
195
196
Lokale gminne w budynku
wspólnoty mieszkaniowej - 7
Lokale gminne w budynku
wspólnoty mieszkaniowej - 2
Lokale gminne w budynku
wspólnoty mieszkaniowej - 8
Lokale gminne w budynku
wspólnoty mieszkaniowej - 6
Lokale gminne w budynku
wspólnoty mieszkaniowej - 4
Lokale gminne w budynku
wspólnoty mieszkaniowej - 4
Lokale gminne w budynku
wspólnoty mieszkaniowej - 7
Lokale gminne w budynku
wspólnoty mieszkaniowej - 5
Lokale gminne w budynku
wspólnoty mieszkaniowej - 5
Lokale gminne w budynku
wspólnoty mieszkaniowej - 4
Lokale gminne w budynku
wspólnoty mieszkaniowej - 11
lokale gminne w budynku
wspólnoty mieszkaniowej - 5
Lokale gminne w budynku
wspólnoty mieszkaniowej - 4
Rycerska 3, 3A
Rynek 2
Skośna 5
197
lokale gminne w budynku
wspólnoty mieszkaniowej - 11
11 mieszk.
tak
NIE
nie
1905
102 999,66 zł
brak
Szwoleżerów 12
198
Lokale gminne w budynku
wspólnoty mieszkaniowej - 2
2 mieszk
tak
NIE
nie
1900
42 283,51 zł
brak
Tczewska 7
199
lokale gminne w budynku
wspólnoty mieszkaniowej - 12
12 mieszk.
tak
NIE
nie
1975
126 748,73 zł
brak
Traugutta 36
8 mieszk.
tak
NIE
nie
1974
84 297,45 zł
brak
Traugutta 38
2 mieszk
tak
NIE
nie
1941
27 289,11 zł
brak
Wybickiego 1
5 mieszk
tak
NIE
nie
1941
97 156,84 zł
brak
Wybickiego 6
1 mieszk
tak
NIE
tak
1890
14 620,50 zł
brak
Kanałowa 19A
1 mieszk
tak
NIE
nie
1971
43 068,82 zł
brak
Skarszewska 11
2 mieszk
tak
NIE
nie
1959/1964
57 516,78 zł
brak
Skarszewska 12-14
2 mieszk
tak
NIE
nie
1920
78 438,22 zł
brak
Kryzana 2-8
1 mieszk
tak
NIE
tak
1920
82 126,59 zł
brak
Kryzana 12
1 mieszk
tak
NIE
tak
1925
59 573,86 zł
brak
Sucharskiego 4
3 mieszk.
tak
NIE
nie
1860
80 041,02 zł
wyłącznik
przeciwpożarowy
Chojnicka 28
Przesył ścieków
tak
NIE
nie
brak danych ok. 1965
7 782,09 zł
brak
Al. Woj. Polskiego 32
tak
NIE
nie
1979
46 651,50 zł
brak
Skośna 5
tak
NIE
nie
brak danych około 1979
4 349,86 zł
brak
Kolejowa 32
200
201
202
203
204
205
206
207
208
209
210
211
212
lokale gminne w budynku
wspólnoty mieszkaniowej - 8
Lokale gminne w budynku
wspólnoty mieszkaniowej - 2
Lokale gminne w budynku
wspólnoty mieszkaniowej - 5
Lokale gminne w budynku
wspólnoty mieszkaniowej - 1
Lokale gminne w budynku
wspólnoty mieszkaniowej - 1
Lokale gminne w budynku
wspólnoty mieszkaniowej - 2
Lokale gminne w budynku
wspólnoty mieszkaniowej - 2
Lokale gminne w budynku
wspólnoty mieszkaniowej - 1
Lokale gminne w budynku
wspólnoty mieszkaniowej - 1
lokale gminne w budynku
wspólnoty mieszkaniowej - 3
Zbiornik przepływowy
Zbiornik przepływowy typ WPrzepływ ścieków
100m3, średnica 6,5 m
Ogrodzenie - fundament
betonowy, słupki murowane z Ogrodzenie budynku
cegły, siatka oprawiona w
Kolejowa 32
ramch metalowych
213
rury o długości 66mb i 40 mb
dostawa wody
tak
NIE
nie
1952
451,35 zł
brak
Skarszewska 24 i 24A
214
Ogrodzenie z siatki drucianej
w ramkach, słupki betonowe
dł. 150,15mb
wokół budynków
mieszkalnych
tak
NIE
nie
1952
5 048,94 zł
brak
Skarszewska 24 i 24A
215
Parkan żelazny
tak
NIE
nie
216
Wezeł cieplny
Przyłącze wodociągowe (10
dostawa wody
mb)
Sieć cieplna
dostawa ciepła
Przyłącze wodociągowe
dostawa wody
Most dla pieszych - długość
dojście do budynku
23, 7 mb; konstrukcja stalowa
Przy Młynie 1
i żelbetonowa
Węzeł cieplny
dostawa ciepła
Kocioł c.o.
Wytwarzanie ciepła
Ogrodzenie (z siatki, w
Ogrodzenie budynku
ramach stalowych, dł- 121,8
Grunwaldzka 1
m2)
tak
NIE
tak
217
218
219
220
221
222
223
224
Place i chodnik (podjazd z
kostki betonowej 86,74 m2,
utwardzenie pod śmietnik 9m2; plac na miejsca
parkingowe - 535 m2)
225
Nawierzchnia przy budynku
(plac i droga; trawnik,
obudowa śmietnika)
226
Ogrodzenie z siatki - 43,30 mb
227
Oświetlenie terenu (11 kpl)
228
229
Kanalizacja deszczowa (214
mb; studnie rewizyjne - 15
sztuk)
Przyłącze wody (pod korytem
rzeki)
Ogrodzenie budynku
Kolejowa 32
dostawa ciepła
1 164,10 zł
brak
Tczewska 7
nie
brak danych ok. 1979
2001
23 118,14 zł
brak
Tczewska 13
NIE
nie
2007
7 838,30 zł
brak
Tczewska 13
tak
tak
NIE
NIE
nie
nie
2001
2008
25 369,25 zł
67 872,75 zł
brak
brak
Tczewska 13
Przy Młynie 1
tak
NIE
nie
brak danych
2 300,00 zł
brak
Przy Młynie 1
tak
nie
NIE
NIE
nie
nie
2001
2001
12 644,07 zł
7 499,35 zł
brak
brak
Przy Młynie 1
Grunwaldzka 1
tak
NIE
nie
2006
7 360,32 zł
brak
Grunwaldzka 1
Komunikacyjna
tak
NIE
nie
2006
13 850,84 zł
brak
Grunwaldzka 1
Komunikacyjna
tak
NIE
nie
2008
252 943,17 zł
brak
Kopernika 11A
Ogrodzenie budynku
Kopernika 11A
tak
NIE
nie
2008
10 223,89 zł
brak
Kopernika 11A
Oświetlenie terenu
tak
NIE
nie
2008
28 048,98 zł
brak
Kopernika 11A
Odprowadzanie
scieków
tak
NIE
nie
2008
47 630,34 zł
brak
Kopernika 11A
Przesył wody
tak
NIE
nie
2008
11 844,13 zł
brak
Kopernika 11A
Wykaz budynków stanowiących własnośc osób trzecich a będących w posiadaniu Gminy Miejskiej Starogard Gdański przekazane w zarządzanie i administrowanie TBS
czy jest to budynkek
czy budynek czy budynek jest
zabytkowy,
przeznaczenie
jest
przeznaczony do
podlegający
lp.
nazwa budynku/ budowli
rok budowy
wartość początkowa (księgowa brutto) (1)
budynku/ budowli użytkowany?
rozbiórki?
nadzorowi
(TAK/NIE)
(TAK/NIE)
konserwatora
zabytków?
zabezpieczenia
(znane
zabiezpieczenia p-poż
i przeciw
kradzieżowe)
(2)
lokalizacja (adres)
Rodzaj materiałów budowlanych, z jakich wykonano budynek
lp.
nazwa budynku/ budowli
TBS Ziemi Kociewskiej
1
Budynek mieszkalny
2
Budynek mieszkalny
3
Budynek mieszkalny
4
Budynek mieszkalny
5
Budynek mieszkalny
6
Budynek mieszkalny
8
Budynek mieszkalny
9
Budynek mieszkalny
10
Budynek mieszkalny
11
Budynek mieszkalny
12
Budynek mieszkalny
13
Budynek mieszkalny
czy budynek czy budynek jest
przeznaczenie
jest
przeznaczony do
budynku/ budowli użytkowany?
rozbiórki?
(TAK/NIE)
(TAK/NIE)
cel mieszkalny
cel mieszkalny
cel mieszkalny
cel mieszkalny
cel mieszkalny
cel mieszkalny
cel mieszkalny
cel mieszkalny
cel mieszkalny
cel mieszkalny
cel mieszkalny
cel mieszkalny
tak
tak
tak
tak
tak
tak
tak
tak
tak
tak
tak
tak
nie
nie
nie
nie
nie
nie
nie
nie
nie
nie
nie
nie
czy jest to budynkek
zabytkowy,
podlegający
nadzorowi
konserwatora
zabytków?
nie
nie
nie
tak
nie
nie
nie
nie
nie
nie
nie
tak
rok budowy
1860
1900
1890
1800
1890
1890
1920
1928
1900
1910
1945
1928
Razem
wartość początkowa (księgowa brutto) (1)
brak uregulowanego stanu prawnego
brak uregulowanego stanu prawnego
brak uregulowanego stanu prawnego
brak uregulowanego stanu prawnego
brak uregulowanego stanu prawnego
brak uregulowanego stanu prawnego
brak uregulowanego stanu prawnego
brak uregulowanego stanu prawnego
brak uregulowanego stanu prawnego
brak uregulowanego stanu prawnego
brak uregulowanego stanu prawnego
brak uregulowanego stanu prawnego
19 185 724,89 zł
zabezpieczenia
(znane
zabiezpieczenia p-poż
i przeciw
kradzieżowe)
(2)
brak
brak
brak
brak
brak
brak
brak
brak
brak
brak
brak
brak
lokalizacja (adres)
Tczewska 6
Sikorskiego 4
Gimnazjalna 15
Gimnazjalna 7
Kościuszki 94
Kosciuszki 94A
Chojnicka 58
Piłsudskiego 8
Pomorska 41
Kościuszki 16
Kanałowa 4
Piłsudskiego 6
mury
stropy
cegła pełna
cegła pełna
cegła pełna
cegła pełna
cegła pełna
cegła pełna
cegła pełna
cegła pełna
cegła pełna
cegła pełna
cegła pełna
cegła pełna
drewniane
drewniane
drewniane
drewniane
drewniane
drewniane
drewniane
drewniane
drewniane
drewniane
drewniane
drewniane
dach (konstrukcja i pokrycie)
drewniany kryty gutanitem
drewniany kryty papą
drewniany kryty papą
drewniany kryty papą
drewniany kryty papą
drewniany kryty papą
drewniany kryty gutanitem i papą
drewniany kryty papą
drewniany kryty papą
drewniany kryty blachodachówką
drewniany kryty papą
drewniany kryty papą
Tabela nr 3 - Wykaz sprzętu elektronicznego w Gminie Miejskiej Starogard Gdański
Wykaz sprzętu elektronicznego stacjonarnego
Lp.
Nazwa
1
1
2
3
4
Urząd Miasta
Komputery, skanery, monitory, drukarki
Rejestrator czasu pracy
Adresarka
System dyskusyjny
5
System nagłaśniający
6
7
Rok produkcji
2008-2012
2008-2009
2013
2011
4 parkometry - ul. Rynek str. płn. ,ul. Rynek str. płd., ul. Rynek str. wsch.,
ul. Rynek str. zach.
6 parkometrów - ul. Sambora, ul. Paderewskiego, ul. Plac 16 Dywizji, ul.
Spichrzowa, ul. Rynek, magazyn depozytowy ul. Tczewska 22.
5 500,00
2010
33 120,00 zł
2012
99 360,00 zł
366 686,60 zł
Publiczna Szkoła Podstawowa nr 4
zestaw komputerowy
zestaw komputerowy
zestaw komputerowy
zestaw komputerowy 2 szt.
zestaw komputerowy
zestaw komputerowy 2 szt.
zestaw komputerowy 20 szt.
kserokopiarka
kserokopiarka
zestaw komputerowy 2 szt.
zestaw komputerowy
zestaw komputerowy 3 szt.
komputer 10 szt.
komputer 3 szt.
zestaw kmputerowy
telewizor
telewizor
telewizor
zestaw komputerowy 4 szt.
2008
2008
2009
2009
2009
2009
2010
2010
2010
2010
2010
2010
2011
2011
2011
2009
2011
2011
2012
RAZEM
3
1
2
3
4
5
6
7
8
9
10
11
12
13
14
15
16
17
182 553,46 zł
5 725,50 zł
18 447,54 zł
21 980,10
2009
RAZEM
2
1
2
3
4
5
6
7
8
9
10
11
12
13
14
15
16
18
19
20
Wartość księgowa
brutto
1 940,00 zł
1 749,00 zł
2 512,69 zł
3 457,08 zł
1 878,89 zł
3 181,60 zł
13 940,00 zł
3 050,00 zł
1 000,00 zł
3 090,00 zł
1 790,00 zł
5 340,00 zł
7 500,00 zł
2 700,00 zł
1 800,00 zł
4 458,00 zł
1 699,00 zł
1 599,00 zł
3 962,20 zł
66 647,46 zł
Publiczna Szkoła Podstawowa Nr 3
Monitor NEC 17"LCD -2szt
Komputer
Monitor NEC -3szt
Komputer -2szt
ICOM Procjon 231 Pentium DC
Monitor NEC 73V17"LCD-2szt
Monitor
Drukarka HP color Laser CP1515N
Komputer ICOM Procjon 241
Komputer
ICOM Procjon 241 IC 2 Duo
Monitor LCD 21,5" Samsung
Zestaw komputerowy Dell z Win.-6szt
Drukarka HP Laser Jet -2szt
Komputer+monitor
Stacjonarny zest. komputerowy -10szt
Monitor Samsung 18.5 S19 BOOB Led
2008
2008
2008
2009
2009
2009
2010
2009
2009
2010
2010
2010
2010
2010
2010
2011
2012
Strona 10 z 29
1 118,00 zł
1 349,00 zł
1 647,00 zł
2 798,00 zł
1 399,00 zł
998,00 zł
499,00 zł
999,00 zł
1 399,00 zł
740,00 zł
1 399,00 zł
599,00 zł
7 494,00 zł
2 198,00 zł
1 270,00 zł
5 890,00 zł
390,00 zł
5
1
2
3
4
5
6
7
8
9
10
11
RAZEM
Publiczna Szkoła Podstawowa Nr 2
Komputer
Komputer
Komputer serwer Actina Aserwer
Komputer uczniowski Actina Sierra - szt. 9
Komputer uczniowski z DVD
Monitor LCD '17
Monitor LCD '17
Monitor LCD'17 ASUS VW 193 - szt. 11
Drukarka Laser Jet HP p2055d
UPS 600VA Cover
Przełącznik sieciowy + krosownica
Skaner A4 HP Company ScanJet 3800
Drukarka laserowa Hpp 2015 n
Pulpit Lektora Mentor 24 + PC Menager
Tablica interaktywna Smart Board
Komputer serwer
Mikrofony Samson Stage SR5 - szt. 3
Pianino Cyfrowe SP-250
Skaner kodów kreskowych
Komputer Balta Select - szt. 5
Monitor LCD 21,5'' Benq - 5 szt.
Kserokopiarka SHARP
Komputer ICOM
Monitor LG 18,5''
Komputer ADAX
Monitor LGE 1951S 18,5''
Wizualizer Elmo
Urządzenie wielofuncyjne HP Dek Jet
Fax Panasonic KX-FT986
Mała tablica interaktywna Eboam Uboard
RAZEM
Publiczna Szkoła Podstawowa Nr 1
komputer - serwer Actina Aserwer
komputer - uczniowska stacja robocza 9 szt
komputer z nagrywarką DVD
sieciowa dukarka laserowa Hp
monitor LCD ASUS - 11 szt
skaner
monitor Samsung - 5 szt
komputer NTT - 5 szt
komputer NTT
drukarka Canon
monitor Benq
12
monitor Benq
2009
443,98 zł
13
zestaw komputerowy - 2 szt
2009
2 686,00 zł
14
komputer Adax
2009
1 716,00 zł
15
16
17
18
19
20
21
22
drukarka Laser Jet
faks Brother
monitor Samsung
komputer Athlon
monitor LCD ASUS
komputer
monitor Samsung - 2 szt
monitor Acer
2009
2009
2009
2010
2010
2010
2010
2010
524,01 zł
850,34 zł
469,99 zł
1 430,00 zł
499,00 zł
1 440,00 zł
900,00 zł
370,00 zł
4
1
2
3
4
5
6
7
8
9
10
11
12
13
14
15
16
17
18
19
20
21
22
23
24
25
26
27
28
29
30
32 186,00 zł
Strona 11 z 29
2008
2008
2008
2008
2008
2008
2008
2008
2008
2008
2008
2008
2008
2009
2009
2009
2009
2009
2010
2010
2010
2010
2010
2011
2011
2011
2011
2012
2012
2012
1 699,00 zł
1 699,00 zł
2 402,86 zł
18 070,74 zł
2 097,88 zł
549,00 zł
549,00 zł
7 623,00 zł
1 049,00 zł
585,60 zł
863,26 zł
310,00 zł
680,00 zł
8 147,22 zł
6 660,00 zł
849,00 zł
1 470,00 zł
2 700,00 zł
539,01 zł
8 570,50 zł
2 501,00 zł
3 080,00 zł
1 920,00 zł
459,00 zł
1 850,00 zł
490,00 zł
2 000,00 zł
390,00 zł
425,00 zł
1 500,00 zł
81 729,07 zł
2008
2008
2008
2008
2008
2008
2008
2008
2008
2008
2009
2 205,00 zł
16 290,00 zł
1 900,00 zł
680,00 zł
7 623,00 zł
310,00 zł
2 965,00 zł
5 660,00 zł
1 280,00 zł
128,00 zł
453,84 zł
23
24
25
26
27
28
29
30
31
32
33
34
35
36
37
drukarka Hp
tablica interaktywna
tablica interaktywna - 2 szt
monitor LCD 18,5"
monitor LCD 18,5"
monitor LG
drukarka
komputer Adax
monitor LCD LG 18,5"
drukarka
komputer PC
monitor LG 18,5"
komputer Adax
komputer Adax
tablica interaktywna
2011
2010
2011
2011
2011
2011
2011
2012
2012
2012
2012
2012
2012
2012
2012
6
1.
2.
3.
4.
5.
6.
7.
8.
9.
10.
11.
12.
13.
14.
15.
16.
17.
18.
19.
20.
21.
22.
23.
24.
25.
26.
27.
28.
29.
30.
31.
32.
RAZEM
Publiczne Gimnazjum Nr 3
komputer 00183447
komputer 00197110
komputer 00202524
komputer 00197119
komputer 001932216
komputer 00193186
komputer 00197109
komputer 00202928
komputer 00194348
komputer 00202825
komputer z nagrywarką DVD nr 00206542
Skaner A 4 HP Company Scan Jet 3800 nr CN 789A 14 MZ
Drukarka sieciowa laserowa HP LaserJet nr CNBW843507
Wideoprojektor Beng Corporation LTd:MP 620 C
Monitor LCD ASUS VW 193-B nr 82LMTF 030041
Monitor LCD ASUS VW 193-B nr 82LMTF 030036
Monitor LCD ASUS VW 193-B nr 82LMTF 030028
Monitor LCD ASUS VW 193-B nr 82LMTF 030015
Monitor LCD ASUS VW 193-B nr 82LMTF 030006
Monitor LCD ASUS VW 193-B nr 82LMTF 030037
Monitor LCD ASUS VW 193-B nr 82LMTF 029996
Monitor LCD ASUS VW 193-B nr 82LMTF 029999
Monitor LCD ASUS VW 193-B nr 82LMTF 028793
Monitor LCD ASUS VW 193-B nr 82LMTF 030016
Monitor LCD ASUS VW 193-B nr 82LMTF 030038
Przełącznik sieciowy 24-portowy nr PICX 17C001994
Telewizor TOSHIBA LCD 32AV500PG
Komputer Optimus Prestige DB400 PE5200
Komputer Optimus Prestige DB400 PE5200
Drukarka HP LaserJet P2015n
Switch DLINK x8/100 programowalny
kserokopiarka Nashuatec DSm 662
355,00 zł
3 600,00 zł
8 199,98 zł
309,00 zł
349,00 zł
299,00 zł
200,00 zł
1 374,00 zł
290,00 zł
330,00 zł
1 290,00 zł
299,00 zł
1 794,57 zł
1 500,00 zł
3 900,00 zł
74 913,71 zł
2008
2008
2008
2008
2008
2008
2008
2008
2008
2008
2008
2008
2008
2008
2008
2008
2008
2008
2008
2008
2008
2008
2008
2008
2008
2008
2008
2008
2008
2008
2008
2010
2 205,00 zł
1 810,00 zł
1 810,00 zł
1 810,00 zł
1 810,00 zł
1 810,00 zł
1 810,00 zł
1 810,00 zł
1 810,00 zł
1 810,00 zł
1 900,00 zł
310,00 zł
680,00 zł
1 842,20 zł
693,00 zł
693,00 zł
693,00 zł
693,00 zł
693,00 zł
693,00 zł
693,00 zł
693,00 zł
693,00 zł
693,00 zł
693,00 zł
518,00 zł
1 424,00 zł
1 677,00 zł
1 677,00 zł
1 232,00 zł
976,00 zł
3 477,00 zł
33. UPS COMEX 800VA Cover
34. Komputer
2010
512,40 zł
2011
2 108,99 zł
35.
36.
37.
38.
39.
40.
2011
2011
2012
2012
2012
2012
6 000,00 zł
624,00 zł
725,70 zł
995,07 zł
2 109,45 zł
2 109,45 zł
Tablica Smart SB 480
Drukarka HP OFFICEJET PRO 8000 CB092A
Drukarka hp laser jet p2055
Drukarka hp laser jet M1536DNF
Komputer Dell V260ST
Komputer Dell V260ST
Strona 12 z 29
41.
42.
43.
45.
7
Komputer Dell V260ST
Komputer Dell V260ST
Monitor LED 21,5 Asus
Kserokopiarka Nashuatec DSm 6725
RAZEM
Publiczne Gimnazjum Nr 2
1
komputer Icom
2011
1 779,00 zł
2
3
4
5
6
7
8
9
10
11
12
13
14
15
16
17
18
19
20
urządzenie wielofunkcyjne Officejet Pro 8500A
drukarka Samsung CLP 320N ASAP
komputer serwer
drukarka CANON IP4850 USB
komputer - serwer Actina
komputer uczniowski Actina Sierra 9szt
komputer z nagrywarką DVD
skaner HP
drukarka laserowa HP LaserJet
wideoprojektor BENQ
monitor LCD 11szt
Urządzenie wielofunkcyjne - Samsung SCX
drukarka Brother DCP 195C
drukarka Brother DCP 195C
komputer ICOOM
telewizor Panasonic - plazma
kino domowe Panasonic
tablica multimedialna Smart SB480
projektor Hitachi EDX26
RAZEM
Publiczne Gimnazjum Nr 1
komputer stacja
czytnik kart
komputer stacja
monitor
komputer stacja
drukarka HP
projektor Optima
tablica interaktywna
ekran do tablicy interaktywnej
kserokopiarka Develop 163
komputer ICOM stacja 20 szt - uczniowskie
monitor LCD 17"- 10 szt
skaner Canon
komputer stacja
monitor
komputer stacja
monitor
komputer stacja
monitor
komputer stacja st.naucz.
monitor 19" LG panorama
zestaw MOBI pilot bezprzewod.
drukarka HP kolor Laser Jet
drukarka Canon MP 550
komputer stacja
komputer stacja
monitor LG
monitor LG
komputer stacja
2012
2011
2008
2012
2008
2008
2008
2008
2008
2008
2008
2008
2010
2010
2010
2009
2009
2011
2011
788,00 zł
620,00 zł
1 259,00 zł
299,14 zł
2 205,00 zł
16 290,00 zł
1 900,00 zł
310,00 zł
680,00 zł
1 842,20 zł
7 623,00 zł
900,00 zł
339,04 zł
339,04 zł
1 799,00 zł
2 999,00 zł
499,00 zł
6 000,00 zł
2 200,00 zł
50 670,42 zł
8
1
2
3
4
5
6
7
8
9
10
11
12
13
14
15
16
17
18
19
20
21
22
23
24
27
28
29
30
31
2012
2012
2012
2012
Strona 13 z 29
2008
2008
2008
2008
2008
2008
2008
2008
2008
2008
2008
2008
2008
2009
2009
2009
2009
2009
2009
2009
2009
2009
2009
2010
2011
2011
2011
2011
2011
2 109,45 zł
2 109,45 zł
538,84 zł
3 499,35 zł
65 273,35 zł
1 377,98 zł
437,98 zł
1 359,08 zł
671,00 zł
1 280,00 zł
329,00 zł
2 257,00 zł
7 000,00 zł
2 039,84 zł
3 050,00 zł
24 980,00 zł
6 490,00 zł
364,78 zł
1 718,00 zł
519,00 zł
2 181,00 zł
469,00 zł
1 771,00 zł
529,00 zł
2 158,00 zł
519,00 zł
2 659,60 zł
1 050,01 zł
328,99 zł
1 729,99 zł
1 729,99 zł
455,00 zł
455,00 zł
1 170,00 zł
32
33
34
35
36
37
38
39
40
44
komputer stacja
komputer stacja
komputer stacja
monitor LG
monitor LG
monitor LG
monitor LG
kopiarka BIZHUP
kopiarka BIZHUP
drukarka HP Laser Jet
2011
2011
2011
2011
2011
2011
2011
2011
2011
2012
1 170,00 zł
1 170,00 zł
1 170,00 zł
370,00 zł
370,00 zł
370,00 zł
370,00 zł
1 599,00 zł
1 599,00 zł
420,00 zł
79 687,24 zł
11
RAZEM
Ośrodek Sportu i Rekreacji
zestaw komputerowy ADAX DELTA HD2140
drukarka HP 1020
drukarka Xerox
komputer ADAX
komputer TRILINE PROFI
monitor 19"
RAZEM
Miejski Zespół Obsługi Przedszkoli i Placówek Oświatowych
Zestaw komputerowy
Monitor płaski
Monitor płaski
Komputer
Drukarka
Komputer
Komputer
Drukarka
Komputer
Monitor
Drukarka
RAZEM
Miejski Zakład Komunikacji
1
Zestaw komputerowy+monitor+drukarka
2009
2 929,50 zł
2
3
komputer
komputer
2009
2009
5 366,55 zł
1 397,00 zł
9
1
2
3
4
5
6
10
1
2
3
4
5
6
7
8
9
10
11
2011
2008
2008
2008
2009
2009
1 720,50
351,65
1 991,80
1 720,49
1 499,00
572,95
7 856,39 zł
2008
2008
2008
2009
2009
2010
2010
2011
2011
2012
2012
2 897,00 zł
549,00 zł
530,70 zł
1 698,00 zł
1 649,00 zł
1 785,00 zł
1 784,99 zł
399,00 zł
1 899,00 zł
619,99 zł
1 250,00 zł
15 061,68 zł
4
5
12
1
2
3
4
5
6
7
8
9
10
13
1
2
14
1
RAZEM
Miejskie Przedszkole Publiczne Nr 10
monitor ASUS
Urzadzenie wielofunkcyjne HP
Centrala telefoniczna z bramofonem
System sygnalizacji p.poż oraz automatycznego otwierania okien
Drukarka KYOCERA FS 3920
komputer ICOM
komputer ICOM
monitor PHILIPS
drukarka HP LJ
Serwer danych D- link DNS+dysk twardy WD
RAZEM
Miejskie Przedszkole Publiczne Nr 8 „Bajeczka”
urządzenie wielofunkcyjne BROTHER
komputer polesingowy HP
RAZEM
Miejskie Przedszkole Publiczne Nr 6 „Modraczek”
urządzenie wielofunkcyje HP DeskJet
Strona 14 z 29
9 693,05 zł
2008
2008
2010
2008
2011
2012
2012
2012
2013
2013
770,00 zł
1 600,00 zł
2 023,98 zł
34 718,76 zł
3 199,00 zł
2 180,00 zł
2 180,00 zł
660,01 zł
364,08 zł
925,93 zł
48 621,76 zł
2009
2012
1 365,00 zł
565,80 zł
1 930,80 zł
2008
399,00 zł
2
3
Zestaw komputerowy LG, LCD KOMPUTER, MONITOR
Centrala telefoniczna
RAZEM
Miejskie Przedszkole Publiczne Nr 5
zestaw komputerowy
drukarka Samsung
urządzenie wielofunkcyjne
drukarka HP
urządzenie wielofunkcyjne
zestaw komputerowy
RAZEM
Miejskie Przedszkole Publiczne Nr 4
Komputer DELL
Komputer DELL
RAZEM
Miejskie Przedszkole Publiczne Nr 3
Zestaw komputerowy
Kopiarka Sharp
RAZEM
Miejskie Przedszkole Publiczne Nr 2
komputery-sztuk 10-darowizna-przekazano w 2008 r.
zestaw komputerowy
2008
2009
3 492,99 zł
5 581,50 zł
9 473,49 zł
2008
2008
2009
2009
2009
2010
2 010,00 zł
228,99 zł
387,99 zł
494,87 zł
387,99 zł
1 730,00 zł
5 239,84 zł
2012
2012
2 384,00 zł
2 275,50 zł
4 659,50 zł
2009
2011
2 400,00 zł
4 490,00 zł
6 890,00 zł
2008
2008
33 080,00 zł
2 348,00 zł
4
5
6
7
urządzenie wielofunkcyjne
drukarka
kserokopiarka
drukarka
urządzenie wielofunkcyjne
2008
2008
2010
2011
2011
699,00 zł
390,00 zł
3 154,10 zł
405,90 zł
299,00 zł
8
drukarka
2011
19
1
2
3
RAZEM
Miejski Ośrodek Pomocy Społecznej
zespól komputerowy nr 11
zespól komputerowy nr 8
zespól komputerowy nr 10
279,00 zł
40 655,00 zł
2008
2008
2008
2 960,89 zł
2 960,89 zł
2 960,89 zł
4
zespól komputerowy nr 12
2008
2 960,89 zł
5
6
7
8
9
10
11
zespól komputerowy nr 14
zespól komputerowy nr 13
zespól komputerowy nr 16
zespól komputerowy nr 15
zespól komputerowy nr 47
zespól komputerowy nr 48
zespól komputerowy nr 9
2008
2008
2008
2008
2008
2008
2009
2 960,89 zł
2 960,89 zł
3 185,70 zł
3 185,70 zł
3 467,50 zł
3 467,50 zł
3 086,60 zł
12
zespól komputerowy nr 20
2009
3 086,60 zł
13
14
15
16
17
18
19
20
21
22
23
24
25
zespól komputerowy nr 19
zespół komputerowy nr 2
zespół komputerowy nr 18
zespół komputerowy nr 21
zespół komputerowy nr 22
zespół komputerowy nr 32
zespół komputerowy nr 34
zespół komputerowy nr 49
zespół komputerowy nr 17
zespół komputerowy nr 29
zespół komputerowy nr 35
zespół komputerowy nr 36
zespól komputerowy nr 37
2009
2009
2010
2010
2010
2010
2010
2010
2011
2011
2011
2011
2011
3 086,60 zł
3 086,60 zł
2 633,98 zł
2 633,98 zł
2 633,98 zł
2 633,98 zł
2 633,98 zł
2 633,98 zł
2 830,00 zł
3 314,00 zł
3 314,00 zł
3 314,00 zł
3 314,00 zł
15
1
2
3
4
5
6
16
1
2
17
1
2
18
1
2
3
Strona 15 z 29
26
27
28
29
30
31
32
33
34
35
36
37
38
39
40
41
42
43
20
1.
2.
3.
4.
5.
6.
7.
8.
9.
10.
11.
12.
13.
14.
15.
16.
17.
18.
19.
20.
21.
22.
23.
24.
21
zespół komputerowy nr 30
zespół komputerowy nr 38
zespół komputerowy nr 39
zespół komputerowy nr 54
zespół komputerowy nr 50
zespół komputerowy nr 51
zespół komputerowy nr 52
zespół komputerowy nr 53
zespół nr 33 serwer Dell 2950
drukarka HP 2015X
drukarka HP LJ P2055
drukarka HP LJ 1606
drukarka HP PRO 8000
drukarka LJ HP 1606
kserokopiarka Bizhub 164
urządzenie wielofunkcyjne OKI MB 460
urządzenie wielofunkcyjne Canon senys MS-5940 dn
Centrala tel. LIBRA
RAZEM
Zespół Szkół Publicznych
centrala telefoniczna
radio RODSTAR HRA-1500 + CD
drukarka EPSON Acu Laser
drukarka SAMSUNG CLP-310
radiomagnetofon+CD RX-D-29-S
radioodbiornik+CD PHILIPS
odtwarzacz DVD PLAYER
kserokopiarka DEVELOP
telewizor PANASONIC 42" PLAZMA
DVD DV-320K PIONIER
drukarka HP LaserJet P2055d
komputer ICOM Procjon 241 - 2 szt
projektor multimedialny
tablica interaktywna
Monitor LG
Serwer ICOM S-1000F
telewizor ORION-42
telewizor FUNAI-40
tablica interaktywna ACTIVE
telewizor SAMSNG-40
tablica interaktywna 78"
komputer ICOM-SAGITTA-461E
Kserokopiarka DEVELOP
Komputer ICOM Sagita
RAZEM
TBS ZK
2012
2012
2012
2012
2012
2012
2012
2012
2008
2008
2010
2011
2012
2012
2011
2011
2012
2011
2 550,04 zł
2 550,05 zł
2 550,00 zł
2 550,00 zł
2 550,00 zł
2 550,00 zł
2 550,00 zł
2 550,00 zł
25 000,00 zł
1 378,60 zł
2 070,34 zł
678,00 zł
639,60 zł
687,57 zł
1 863,45 zł
2 216,00 zł
1 535,00 zł
9 959,00 zł
141 735,67 zł
2009
2009
2009
2009
2009
2009
2009
2008
2010
2010
2010
2010
2011
2011
2011
2011
2011
2011
2011
2012
2012
2012
2012
2013
3 098,00 zł
480,00 zł
2 318,00 zł
1 047,98 zł
480,00 zł
180,00 zł
150,00 zł
3 280,58 zł
2 930,00 zł
450,00 zł
1 099,00 zł
3 840,00 zł
1 900,00 zł
5 100,00 zł
459,00 zł
3 070,00 zł
1 970,00 zł
1 999,00 zł
5 100,00 zł
2 000,00 zł
3 900,00 zł
1 799,00 zł
2 460,00 zł
2 100,00 zł
51 210,56 zł
1 brak
- zł
Wykaz sprzętu elektronicznego Przenośnego
Lp.
Nazwa
1
1
2
3
Urząd Miasta
Kolektor motorola
Projektor multimedialny
Notebooki
2
RAZEM
Publiczna Szkoła Podstawowa nr 4
Rok produkcji
2011
2010
2008-2009
Strona 16 z 29
Wartość księgowa
brutto
3 813,00 zł
1 695,80 zł
18 114,56 zł
23 623,36 zł
1
2
3
4
5
6
7
8
9
10
11
13
14
15
16
17
18
19
20
21
22
23
24
25
26
27
3
1
2
3
4
5
6
7
8
9
10
11
12
13
14
15
16
17
18
19
20
21
4
1
2
3
4
5
6
7
laptop
laptop
laptop
laptop
laptop
laptop
laptop
laptop
laptop
komputer dziennik elektroniczny
notebook
notebook
notebook
notebook
notebook
laptop 6 szt
rzutnik multimedialny
rzutnik multimedialny
laptop
laptop
laptop
laptop
laptop
laptop
laptop
laptop
RAZEM
Publiczna Szkoła Podstawowa Nr 3
Kamera cyfrowa
Notebook Fujitsu Lifebook AH 531
Rejestrator cyfrowy VODVR 6016
Rejestrator cyfrowy VODVR 3616
Ruter Cisco
Tablica interaktywna
SANYO Projektor PLC-WL2500A LCD- 2szt
Tablica Smart
Wizualizer
SAMSUNG NP300ESC+monitor
Tablety MODECOM 9,7-4szt
Stacja dokująca HP2010WKS
HP Pro BOCK 64665b /laptop/
Kopiarka cyfrowa
Laptop LAPO 1AS -4szt
Rzutnik Multi 101
Netbook ASUS-3szt
Netbook LT-10-ASU-015
Netbook
Laptop LAPO 2AS
rzutnik Multi 05AS
RAZEM
Publiczna Szkoła Podstawowa Nr 2
Laptop Latitude D531
Laptop ICOM SB 6232
Laptop Lenovo G550L
Laptop Lenovo G550L
Laptop Lenovo G550L
Netbook ACER TM
Netbook ACER TM
Strona 17 z 29
2008
2008
2008
2008
2009
2009
2010
2010
2011
2011
2011
2011
2012
2012
2012
2012
2012
2012
2012
2012
2012
2012
2012
2012
2012
2012
2 500,00 zł
3 499,00 zł
2 257,41 zł
1 886,13 zł
1 843,00 zł
2 000,00 zł
1 779,00 zł
1 726,00 zł
2 500,00 zł
580,56 zł
1 599,00 zł
889,00 zł
530,13 zł
625,46 zł
602,70 zł
7 200,00 zł
4 000,00 zł
1 152,84 zł
3 499,00 zł
2 000,00 zł
1 779,00 zł
1 799,99 zł
1 726,00 zł
2 292,00 zł
1 297,95 zł
450,00 zł
52 014,17 zł
2011
2011
2011
2011
2011
2011
2012
2011
2011
2012
2012
2012
2012
2012
2012
2012
2011
2012
2011
2013
2013
2 717,07 zł
2 292,00 zł
3 357,90 zł
4 066,38 zł
1 968,00 zł
3 000,00 zł
5 998,00 zł
6 000,00 zł
3 500,00 zł
2 599,00 zł
2 792,00 zł
690,00 zł
2 389,00 zł
3 000,01 zł
8 000,00 zł
2 000,00 zł
6 000,00 zł
2 000,00 zł
2 000,00 zł
2 000,00 zł
2 000,00 zł
68 369,36 zł
2008
2009
2010
2010
2010
2011
2011
3 281,80 zł
1 759,00 zł
1 999,01 zł
1 999,01 zł
1 999,00 zł
2 200,00 zł
2 200,00 zł
8
9
10
11
12
13
5
1
2
3
4
5
6
7
8
9
10
11
12
13
14
15
16
17
18
19
20
6
1.
2.
3.
4.
5.
6.
7.
8.
9.
10.
11.
12.
13.
14.
15.
16.
17.
18.
19.
Netbook
Tablica mobilna
Aparat fotograficzny Nikon
Projektor
Projektor z wysięgnikiem
Wideoprojektor Benq Corp. MP620C
RAZEM
Publiczna Szkoła Podstawowa Nr 1
projektor Benq
notebook Dell
przełącznik sieciowy
noteebook Hp
aparat cyfrowy
projektor
notebook - 2 szt
netbook Asus
notebook Hp
laptop z oprogramowaniem
zestaw nagłośnieniowy
aparat cyfrowy
projektor - 3 szt
laptop - 2 szt
netbook
netbook
netbook
netbook
projektor
notebook
RAZEM
1 000,00 zł
1 430,89 zł
1 499,99 zł
1 300,00 zł
2 760,00 zł
1 842,20 zł
25 270,90 zł
2008
2008
2008
2010
2010
2011
2011
2011
2011
2011
2011
2011
2012
2012
2012
2012
2012
2012
2012
2013
1 842,20 zł
3 281,80 zł
518,00 zł
2 318,00 zł
1 135,00 zł
1 900,00 zł
3 600,01 zł
540,00 zł
1 599,00 zł
2 292,00 zł
3 074,00 zł
200,00 zł
4 575,60 zł
3 000,00 zł
560,00 zł
500,00 zł
540,00 zł
511,00 zł
1 928,03 zł
1 349,00 zł
35 263,64 zł
2008
2009
2008
2009
2010
2010
2010
2010
2011
2011
2011
2011
2011
2011
2011
2011
2011
2012
2012
3 281,80 zł
1 623,00 zł
1 842,20 zł
2 179,01 zł
2 149,01 zł
1 499,99 zł
2 294,26 zł
2 952,00 zł
2 211,16 zł
2 211,16 zł
2 211,16 zł
2 211,16 zł
2 211,15 zł
1 610,00 zł
1 512,90 zł
3 200,00 zł
2 200,00 zł
1 543,99 zł
1 543,99 zł
Publiczne Gimnazjum Nr 3
Komputer przenośny z syst.operac.nr 31LM3
Wizualizer CP 130
Wideoprojektor Beng Corporation LTd:MP 620 C
ProjektorNP115/DLP
Projektor BENQ MP575 DLP/XGA
Aparat fotograficzny cyfrowy Nikon P100
Notebook Asus 15,6"
Notebook HP 6370
Notebook HP A1E15EA
Notebook HP A1E15EA
Notebook HP A1E15EA
Notebook HP A1E15EA
Notebook HP A1E15EA
Wizualizer CP 130
Projektor BENQ MS 513 DLP
Notebook Dell Black 15 R
Projektor Hitachi EDX - 26
Aparat fotograficzny cyfrowy Olympus E-PM1
Aparat fotograficzny cyfrowy Olympus E-PM1
RAZEM
7
1
2
3
4
5
2011
2011
2010
2011
2011
2008
40 487,94 zł
Publiczne Gimnazjum Nr 2
komputer INTEL T2060
komputer INTEL T2060
komputer INTEL T2060
cyfrowy aparat fotograficzny
komputer przenosny Latitude
2008
2008
2008
2009
2008
Strona 18 z 29
2 058,00 zł
2 058,00 zł
2 058,00 zł
1 138,00 zł
3 281,80 zł
6
7
8
9
10
11
12
13
14
15
16
17
18
19
20
21
22
23
24
25
26
27
28
29
30
8
25
26
41
42
43
45
1
2
3
4
5
6
7
8
9
10
11
12
13
14
15
16
17
18
19
20
21
22
23
24
25
Kamera PANASONIC
Projektor BENQ
Projektor BENQ
Projektor BENQ
Projektor BENQ
Projektor BENQ
Komputer ICOM SB4120
Komputer ICOM SB4120
Komputer ICOM SB4120
Komputer ICOM SB4120
Komputer ICOM
Komputer ICOM
wizualizer CP 130
tablica interaktywna
aparat fotograficzny Nikon P100
komputer Applebook Pro 13,3
laptop emaschine
projektor BENQ
Projektor Infocus
Projektor Acer X110P
Wizualizer AwerMedia CP135
Notebook Dell Black 15R
Laptop LENOVO G580
Laptop Dell 630 - (15 szt. x 719,00)
Laptop Dell 630 - (2 szt. x 769,00)
RAZEM
Publiczne Gimnazjum Nr 1
projektor Vivitek D 510
projektor Sanyo XD-2200
projektor Nec V260X
projektor Nec V260X
projektor Nec V260X
projektor BENQ W 700 +
ekran przenośny do tablicy interaktywnej
czytnik kodów kreskowych
niszczarka
radiomagnetogon Sony z CD
radio Grundig z MP3
radio Grundig z MP3
radio Grundig z MP3
radio Grundig z MP3
radio Grundig z MP3
radio Grundig z MP3
radio Grundig z MP3
radio Grundig z MP3
radio Grundig z MP3
radio Grundig z MP3
radio Grundig z MP3
radio Grundig z MP3
radio Grundig z MP3
radio Grundig z MP3
radio Grundig z MP3
mikrofon bezprzewodowy
radio Grundig z MP3
radio Grundig z MP3
radio Grundig z MP3
radio Grundig z MP3
radio Grundig z MP3
2008
2008
2008
2008
2008
2008
2008
2008
2008
2008
2008
2008
2009
2009
2010
2010
2010
2010
2011
2011
2011
2011
2012
2011
2011
1 747,00 zł
1 639,00 zł
1 639,00 zł
1 639,00 zł
1 639,00 zł
1 999,58 zł
1 867,20 zł
1 867,20 zł
1 867,20 zł
1 867,20 zł
1 916,20 zł
2 208,20 zł
1 500,00 zł
2 500,00 zł
1 499,99 zł
4 917,01 zł
2 104,00 zł
2 089,89 zł
2 684,00 zł
1 200,00 zł
1 875,00 zł
3 200,00 zł
2 150,00 zł
10 785,00 zł
1 538,00 zł
70 532,47 zł
2010
2011
2012
2012
2012
2013
2008
2009
2009
2008
2008
2008
2008
2008
2008
2008
2008
2008
2008
2008
2008
2008
2009
2009
2009
2009
2009
2010
2010
2010
2010
Strona 19 z 29
1 403,00 zł
1 569,00 zł
1 754,80 zł
1 754,80 zł
1 754,80 zł
2 084,00 zł
2 039,84 zł
449,00 zł
1 066,28 zł
219,00 zł
225,00 zł
225,00 zł
225,00 zł
225,00 zł
225,00 zł
225,00 zł
225,00 zł
225,00 zł
225,00 zł
225,00 zł
225,00 zł
225,00 zł
230,00 zł
230,00 zł
230,00 zł
120,00 zł
230,00 zł
220,00 zł
220,00 zł
220,00 zł
220,00 zł
26
27
28
29
30
31
32
33
34
35
36
37
38
9
1
2
3
4
10
aparat telefoniczny przenośny PANASONIC
radio Grundig z MP3
aparat fotograficzny cyfrowy
mini wieża LG
notebook Dell Black 15 R
odtwarzacz audio przenośny JVC
radiomagnetofon Grundig z USB
radiomagnetofon Grundig z USB
radiomagnetofon Grundig z USB
radiomagnetofon Grundig z USB
radiomagnetofon Grundig z USB
radiomagnetofon Grundig z USB
mikrofon bezprzewodowy
RAZEM
Ośrodek Sportu i Rekreacji
dysk zewnetrzny SEAGATE
notebok FSCV 5515
notebok
telewizor THOMSON
RAZEM
Miejski Zespół Obsługi Przedszkoli i Placówek Oświatowych
2010
2010
2010
2011
2011
2012
2012
2012
2012
2012
2012
2012
2013
2009
2008
2010
2010
160,00 zł
220,00 zł
1 499,99 zł
500,00 zł
3 200,00 zł
900,00 zł
240,00 zł
240,00 zł
240,00 zł
240,00 zł
240,00 zł
240,00 zł
119,00 zł
26 753,51 zł
359,84 zł
2 728,69 zł
1 815,00 zł
565,57 zł
5 469,10 zł
brak
RAZEM
11
12
1
2
3
4
5
13
1
2
3
14
1
2
15
1
4
16
1
2
3
4
5
17
1
2
3
- zł
Miejski Zakład Komunikacji
1 brak
RAZEM
Miejskie Przedszkole Publiczne Nr 10
kolumna aktywna RS-415
kolumna aktywna RS-415 USB
zestaw bezprzewodowy tXS 812 SET
Komputer Acer AS 57416-33632
aparat fotograficzny OLYMPUS
RAZEM
Miejskie Przedszkole Publiczne Nr 8 „Bajeczka”
Projektor ACER X110
sprzęt nagłaśniający
notebook HP DV - 6020EW
RAZEM
Miejskie Przedszkole Publiczne Nr 6 „Modraczek”
Laptop Asus
sprzęt nagłaśniający
RAZEM
Miejskie Przedszkole Publiczne Nr 5
laptop SONY
aparat fotograficzny OLYMPUS
RAZEM
Miejskie Przedszkole Publiczne Nr 4
urzadzenie wielofunkcyjne
DVD
wieża SONY
urzadzenie wielofunkcyjne
laptop
RAZEM
Miejskie Przedszkole Publiczne Nr 3
Rzutnik multimedialny Hitachi
Notebook Lenovo
Sprzęt nagłaśniający KODA
RAZEM
Strona 20 z 29
- zł
2011
2011
2011
2010
2012
1 170,00 zł
1 385,00 zł
645,00 zł
2 730,00 zł
999,00 zł
6 929,00 zł
2009
2011
2011
1 565,00 zł
1 372,45 zł
2 670,00 zł
5 607,45 zł
2010
2012
2 057,00 zł
1 600,00 zł
3 657,00 zł
2011
2009
2 490,00 zł
649,00 zł
3 139,00 zł
2009
2009
2010
2011
2011
2 200,00 zł
250,00 zł
299,00 zł
1 030,74 zł
2 292,00 zł
6 071,74 zł
2011
2010
2011
2 180,00 zł
2 200,00 zł
2 945,00 zł
7 325,00 zł
18
1
2
3
4
5
19
1
2
20
1.
2.
3.
4.
5.
6.
7.
8.
9.
10.
11.
12.
13.
14.
15.
16.
17.
21
Miejskie Przedszkole Publiczne Nr 2
notebok
notebok
laptop-notebok
rzutnik multimedialny
organy
RAZEM
Miejski Ośrodek Pomocy Społecznej
komputer notebook Dell V3550 15,6 "
aparat fotograficzny Nikon P-510
RAZEM
Zespół Szkół Publicznych
projektor SANYO PLC-XW60
tablica interaktywna przenośna
zestaw nagłaśniający przenośny ESCORT
głośniki odsłuchowe -2 szt
wzmacniacz mocy CS-1400
notebok TOSIBA L-650-1C9
projektor EPSON EB-X 72
radiomagnetofon + CD GRUNDIG - 2 szt.
projektor BENQ SVGA - 4 zt
notebook FUJITSU
notebook HP COMPAQ - 5 szt.
projektor multimedialny SANYO
projektor BENQ DLP SVGA
projektor NEC-V-23X-7538
Projektot NEC-V-23X-7538
projektor NEC-V-260
projektor NEC-V-260
RAZEM
TBS ZK
2010
2011
2011
2011
2012
2 399,00 zł
2 292,00 zł
2 500,00 zł
2 180,00 zł
2 952,00 zł
12 323,00 zł
2011
2013
3 243,00 zł
1 578,00 zł
4 821,00 zł
2009
2009
2009
2009
2009
2010
2010
2010
2011
2011
2011
2011
2012
2012
2012
2013
2013
1 999,01 zł
2 316,07 zł
2 799,00 zł
1 278,00 zł
1 749,00 zł
2 599,00 zł
2 098,40 zł
700,00 zł
8 851,08 zł
2 292,00 zł
7 995,00 zł
1 900,00 zł
2 212,77 zł
1 905,99 zł
2 029,50 zł
2 145,00 zł
2 200,00 zł
47 069,82 zł
1 brak
RAZEM
- zł
Wykaz monitoringu wizyjnego
1
Urząd Miasta
1 brak
2
3
1
2
4
1.
5
RAZEM
Publiczna Szkoła Podstawowa nr 4
1 brak
RAZEM
Publiczna Szkoła Podstawowa Nr 3
Kamery kolorowe Optiwa916/wewnętrzne/-4szt
Kamera kolorowa D/N Samsung SCCB2031Q/zewnętrzna/
RAZEM
Publiczna Szkoła Podstawowa Nr 2
System nadzoru video
( na zewnątrz komery czarno-białe szt. 9, wewnątrz kamery
czarno-białe szt. 5, UPS COMEX 800 VA )
RAZEM
Publiczna Szkoła Podstawowa Nr 1
- zł
- zł
2011
2011
2 214,00 zł
1 376,37 zł
3 590,37 zł
2008
7 740,00 zł
7 740,00 zł
1 brak
6
1
2
RAZEM
Publiczne Gimnazjum Nr 3
Rejestrator Cyfrowy VEKO H.264 - wewnątrz
Rejestrator Cyfrowy Optivia H.264 - wewnątrz
RAZEM
Strona 21 z 29
- zł
2010
2012
3 416,00 zł
1 597,77 zł
5 013,77 zł
7
1
2
Publiczne Gimnazjum Nr 2
Kamera monitorująca
Kamera szybkoobrotowa
8
1
2
3
4
5
6
7
Publiczne Gimnazjum Nr 1
kamera kolorowa zewnętrzna
kamera kolorowa wewnętrzna
cyfrowy rejestrator video
monitor
kamera czarno-biała zewnętrzna
kamera czarno-biała zewnętrzna
system nadzoru wizyjnego windy
2010
2011
3 172,00 zł
10 499,99 zł
13 671,99 zł
2008
2008
2008
2008
2008
2008
2012
1 049,20 zł
341,60 zł
4 878,78 zł
854,00 zł
610,00 zł
610,00 zł
3 419,40 zł
11 762,98 zł
2011
2011
2011
92 250,00 zł
28 290,00 zł
307 500,00 zł
428 040,00 zł
RAZEM
9
1
2
3
10
RAZEM
Ośrodek Sportu i Rekreacji
instalacja alarmowa (wewnętrzna)
instalacje teletechniczne (zewnętrzne)
monitoring wizyjny i instalacja nagłośnieniowa (wewn. I zewn.)
RAZEM
Miejski Zespół Obsługi Przedszkoli i Placówek Oświatowych
1 brak
RAZEM
11
- zł
Miejski Zakład Komunikacji
1 brak
RAZEM
12 Miejskie Przedszkole Publiczne Nr 10
1 brak
RAZEM
13 Miejskie Przedszkole Publiczne Nr 8 „Bajeczka”
1 brak
RAZEM
14 Miejskie Przedszkole Publiczne Nr 6 „Modraczek”
- zł
- zł
- zł
1 brak
15
RAZEM
Miejskie Przedszkole Publiczne Nr 5
- zł
1 brak
16
RAZEM
Miejskie Przedszkole Publiczne Nr 4
- zł
1 brak
17
1
18
RAZEM
Miejskie Przedszkole Publiczne Nr 3
monitoring kamery zewn. 7 szt. wewn. szt. 1, rejestrator Cyfrowy 8
kanałowy 100 kl/s ,LAN, z dyskiem 500 GB i monitor 17”
RAZEM
Miejskie Przedszkole Publiczne Nr 2
- zł
2009
11 738,00 zł
11 738,00 zł
1 brak
19
20
1.
21
RAZEM
Miejski Ośrodek Pomocy Społecznej
brak
RAZEM
Zespół Szkół Publicznych
monitoring wizyjny - na zewnątrz
RAZEM
TBS ZK
- zł
- zł
2008
14 420,00 zł
14 420,00 zł
1 brak
RAZEM
- zł
Sprzęt Stacjonarny
Sprzęt Przenośny
Razem
Razem
Strona 22 z 29
1 160 821,59 zł
419 456,56 zł
Monitoring Wizjijny
Razem
Strona 23 z 29
495 977,11 zł
Tabela nr 4
INFORMACJA O MAJĄTKU TRWAŁYM
Lp.
Jednostka
Urządzenia i
wyposażenie
W tym zbiory
bibioteczne
Środki Obrotowe
1
Urząd Miasta
974 883,01 zł
0,00 zł
0,00 zł
2
Publiczna Szkoła Podstawowa nr 4
998 701,40 zł
103 042,16 zł
6 500,00 zł
3
Publiczna Szkoła Podstawowa Nr 3
698 176,27 zł
65 984,00 zł
1 500,00 zł
4
Publiczna Szkoła Podstawowa Nr 2
810 545,91 zł
40 249,37 zł
2 500,00 zł
5
Publiczna Szkoła Podstawowa Nr 1
1 340 789,62 zł
80 713,96 zł
1 000,00 zł
6
Publiczne Gimnazjum Nr 3
640 989,55 zł
93 755,35 zł
500,00 zł
7
Publiczne Gimnazjum Nr 2
1 010 156,25 zł
71 943,22 zł
6 000,00 zł
8
Publiczne Gimnazjum Nr 1
733 907,11 zł
97 795,20 zł
0,00 zł
9
Ośrodek Sportu i Rekreacji
3 554 176,26 zł
0,00 zł
20 000,00 zł
10
Miejski Zespół Obsługi Przedszkoli i Placówek
Oświatowych
14 685,03 zł
0,00 zł
0,00 zł
11
Miejski Zakład Komunikacji
32 925,00 zł
0,00 zł
0,00 zł
12
Miejskie Przedszkole Publiczne Nr 10
128 145,83 zł
3 783,34 zł
3 500,00 zł
13
Miejskie Przedszkole Publiczne Nr 8 „Bajeczka”
79 688,68 zł
7 316,39 zł
0,00 zł
14
Miejskie Przedszkole Publiczne Nr 6 „Modraczek”
233 686,57 zł
845,58 zł
3 000,00 zł
15
Miejskie Przedszkole Publiczne Nr 5
158 668,44 zł
454,32 zł
2 000,00 zł
16
Miejskie Przedszkole Publiczne Nr 4
167 002,93 zł
1 978,02 zł
3 000,00 zł
17
Miejskie Przedszkole Publiczne Nr 3
181 117,97 zł
0,00 zł
2 000,00 zł
18
Miejskie Przedszkole Publiczne Nr 2
251 176,66 zł
3 006,42 zł
2 000,00 zł
19
Miejski Ośrodek Pomocy Społecznej
427 187,53 zł
20
Zespół Szkół Publicznych
803 418,14 zł
62 434,34 zł
3 500,00 zł
21
TBS ZK
0,00 zł
0,00 zł
0,00 zł
13 240 028,16 zł
633 301,67 zł
58 000,00 zł
Razem
1 000,00 zł
Gminie Miejskiej Starogard Gdański
Dane pojazdów
Lp. Marka
1
Typ, model
Nr podw./ nadw.
Nr rej.
Rodzaj
(osobowy/
ciężarowy/ specjalny)
Poj.
Rok prod.
Data I
rejestracji
Ilość miejsc
Ładowność
DMC
UWAGI lub Przebieg
Zabezpieczenia
Wartość
przeciwkradzież pojazdu w I roku
owe
ubezpieczenia
Wartość
pojazdu w II
roku
ubezpieczenia
Wartość wyposażenia dodatkowego
uwzględniona w wartości do
ubezpieczenia.
Rodaj wartości:
z VAT / bez VAT
Okres ubezpieczenia OC i NW
Od
Do
Okres ubezpieczenia AC i KR
Od
Do
Urząd Miasta
1
Ford
Focus
WF0FXXGGDFXC13912
GAH 8606
osobowy
2
1999
05.05.1999
5
-
-
431558
autoalarm
-
-
brak
-
05.05.2014
04.05.2016
-
-
2
Ford
Mondeo
WF0DXXGBBDBS47954
GST 08448
osobowy
1,6
2011
04.08.2011
5
-
-
48130
autoalarm,
immobilizer
47 000,00 zł
42 300,00 zł
brak
z VAT
04.08.2014
03.08.2016
04.08.2014
03.08.2016
-
-
3
Renault
Kangoo
VF1KC0AAF1923047
GAH 7271
osobowy
1,1
1998
08.12.1998
5
-
-
immobilizer
-
-
-
-
08.12.2013
07.12.2015
4
Dacia
Duster
UU1MSD8T547935062
GST17860
osobowy
1,598
2012
30.10.2012
5
-
-
autoalarm,
immobilizer
45 955,00 zł
39 805,00 zł
4955 zł, wyposażenie pojazdu Straży
Miejskiej, oklejenie, radiotelefon motorola
GM340 VHF, sygnalizatory, nadajnik, radio,
system sterowania, lampa LWG, uchwyt do
relingów, ZURA6120
z VAT
30.10.2013
29.10.2015
30.10.2013
29.10.2015
Żuk A 11B
415797
GST AU 71
CIĘŻAROWY
2120
1984
01.01.1984
2
1000 KG
2500 KG
-
-
-
-
-
-
01.01.2014
31.12.2016
-
-
2
1
3
Ubezpieczający:
Ogólnopolskie Towarzystwa
Ochrony Zwierząt, ul.
Świętojańska 41/16, 81-391
Gdynia, - umowa użyczenia,
właściciel Urząd Miasta
Publiczne Gimnazjum Nr 1
FS LUBLIN
Ośrodek Sportu i Rekreacji
1
Volkswagen
Transporter
WV2ZZZ70ZXX139100
GST CR22
osobowy
1900
1999
06-07-1999
9
995
2575
186077
autoalarm
-
-
brak
-
2014.07.05
2016.07.05
-
-
2
Ursus
ciągnik roliczy
441517
GDD 120A
ciągnik roliczy
3120
1982
08-02-1982
1
-
2955
-
-
-
-
-
-
2013.12.31
2015.12.31
-
-
3
Autosan
Przyczepa
11591
GKX 9941
przyczepa
1985
17-04-1985
-
4000
5500
-
-
-
-
-
-
2013.12.31
2015.12.31
-
-
4
Escort 450
ciągnik roliczy
B 3045476
GST KM 23
ciągnik roliczy
2007
19-02-2008
1
-
3500
-
-
-
-
-
-
2014.02.18
2016.02.18
-
-
5
Warfama
T-040
70085
GST KP 69
przyczepa
2007
19-02-2008
-
3500 kg
4730
-
-
-
-
-
-
2014.02.18
2016.02.18
-
-
GAH 1180
ciężarowy
1,2
1997
1997
2
575
1405
224800
alarm
-
-
-
-
09.06.2014
08.06.2016
-
-
15.06.2014
14.06.2016
15.06.2014
14.06.2016
20.10.2013
19.10.2015
20.10.2013
19.10.2015
10.05.2014
09.05.2016
13.07.2014
12.07.2016
4
1
5
3120
Miejski Zespół Obsługi Przedszkoli i Placówek Oświatowych
Renault
Express TL 55
VFIF4060516262972
Miejski Zakład Komunikacji - UWAGA: brak ubezpieczenia NNW dla autobusów
1
Solaris
urbino 10
SUU2411037BPN1257
GST FL34
autobus
6692
2007
21.06.2007
79
-
-
94 000,00 zł
73 200,00 zł
bez VAT
2
Solaris
urbino 10
SUU2411037BPN1258
GST FL35
autobus
6692
2007
21.06.2007
79
-
-
94 000,00 zł
73 200,00 zł
bez VAT
3
Solaris
urbino 10
SUU2411037BPN1253
GST FL36
autobus
6692
2007
21.06.2007
79
-
-
94 000,00 zł
73 200,00 zł
bez VAT
4
Solaris
urbino 10
SUU2411037BPN1254
GST FL37
autobus
6692
2007
21.06.2007
79
-
-
94 000,00 zł
73 200,00 zł
bez VAT
5
Solaris
urbino 10
SUU2411037BPN1255
GST FL38
autobus
6692
2007
21.06.2007
79
-
-
94 000,00 zł
73 200,00 zł
bez VAT
6
Solaris
urbino 10
SUU2411037BPN1256
GST FL39
autobus
6692
2007
21.06.2007
79
-
-
94 000,00 zł
73 200,00 zł
bez VAT
7
Man
NL 202
VAOA10A087L900561
GST RE27
autobus
6871
1996
02.04.1996
96
-
-
16 000,00 zł
12 800,00 zł
bez VAT
8
Neoplan
N 4009
SU9240091WBPN1054
GST 04879
autobus
6240
1998
02.04.1998
62
-
-
16 000,00 zł
12 800,00 zł
bez VAT
9
Neoplan
N 4009
SU9240091WBPN1055
GST06364
autobus
6240
1998
02.04.1998
62
-
-
16 000,00 zł
12 800,00 zł
bez VAT
10
Neoplan
N 4009
SU9240091WBPN1056
GST07113
autobus
6240
1998
02.04.1998
62
-
-
16 000,00 zł
12 800,00 zł
bez VAT
11
Neoplan
N 4009
SU9240091WBPN1075
GST06476
autobus
6240
1998
05.05.1998
62
-
-
16 000,00 zł
12 800,00 zł
bez VAT
12
Neoplan
N 4009
SU9240091WBPN1081
GST06478
autobus
6240
1998
05.05.1998
62
-
-
16 000,00 zł
12 800,00 zł
bez VAT
13
Neoplan
N 4009
SU9240091WBPN1082
GST06479
autobus
6240
1998
05.05.1998
62
-
-
16 000,00 zł
12 800,00 zł
bez VAT
14
Neoplan
N 4009
SU9240091WBPN1019
GST07137
autobus
6240
1998
04.06.1998
62
-
-
16 000,00 zł
12 800,00 zł
bez VAT
15
Neoplan
N 4009
SU9240091WBPN1018
GST07175
autobus
6240
1998
15.07.1998
62
-
-
16 000,00 zł
12 800,00 zł
16
Neoplan
N 4009
SU9240091WBPN1080
GST07138
autobus
6240
1998
15.07.1998
62
-
-
16 000,00 zł
12 800,00 zł
17
Neoplan
N 4009
SU9240091WBPN1122
GST07112
autobus
6240
1998
15.07.1998
62
-
-
16 000,00 zł
12 800,00 zł
bez VAT
10.07.1991
3
-
-
-
-
-
01.01.2014
31.12.2016
bez AC
bez AC
5
-
-
-
-
-
22.12.2013
21.12.2015
bez AC
bez AC
26 siedzących /92
wszystkich
26 siedzących /92
wszystkich
26 siedzących /92
wszystkich
26 siedzących /92
wszystkich
26 siedzących /92
wszystkich
105 (w tym 27 miejsc
siedzących)
105 (w tym 27 miejsc
siedzących)
105 (w tym 27 miejsc
siedzących)
105 (w tym 27 miejsc
siedzących)
105 (w tym 27 miejsc
siedzących)
105 (w tym 27 miejsc
siedzących)
-
-
283 367,00 zł
142 806,00 zł
bez VAT
-
-
283 367,00 zł
142 806,00 zł
bez VAT
-
-
283 367,00 zł
142 806,00 zł
bez VAT
14.09.2013
13.09.2015
14.09.2013
13.09.2015
-
-
283 367,00 zł
142 806,00 zł
bez VAT
-
-
283 367,00 zł
142 806,00 zł
bez VAT
-
-
279 246,00 zł
140 024,00 zł
bez VAT
-
-
279 246,00 zł
140 024,00 zł
bez VAT
-
-
279 246,00 zł
140 024,00 zł
bez VAT
140 024,00 zł
2016-06-21
2014-06-22
2016-06-21
-
279 246,00 zł
2014-06-22
-
bez VAT
-
-
279 246,00 zł
140 024,00 zł
bez VAT
-
-
279 246,00 zł
140 024,00 zł
bez VAT
9
980
2800
36 500,00 zł
32 200,00 zł
22.12.2013
21.12.2015
22.12.2013
21.12.2015
18
Żuk
SUL00611BM0546974
GDN 148E
dostawczy
2120
1991
19
Daewoo
Nexia 513
KLATF19YIWD040976
GAH 7322
osobowy
1498
1998
20
Mercedes Benz
628.O 530 K Citaro
WEB62848313702053
GST 01506
autobus
6 374
2010
14.09.2010
21
Mercedes Benz
628.O 530 K Citaro
WEB62848313702069
GST 01507
autobus
6 374
2010
14.09.2010
22
Mercedes Benz
628.O 530 K Citaro
WEB62848313702080
GST 01508
autobus
6 374
2010
14.09.2010
23
Mercedes Benz
628.O 530 K Citaro
WEB62848313702081
GST 01509
autobus
6 374
2010
14.09.2010
24
Mercedes Benz
628.O 530 K Citaro
WEB62848313702088
GST 01510
autobus
6 374
2010
14.09.2010
25
Mercedes Benz
Typ 628, Conecto LF
WEB62831013255960
GST 07493
autobus
7201
2011
22.06.2011
26
Mercedes Benz
Typ 628, Conecto LF
WEB62831013255961
GST 07494
autobus
7201
2011
22.06.2011
27
Mercedes Benz
Typ 628, Conecto LF
WEB62831013255962
GST 07495
autobus
7201
2011
22.06.2011
28
Mercedes Benz
Typ 628, Conecto LF
WEB62831013255963
GST 07496
autobus
7201
2011
22.06.2011
29
Mercedes Benz
Typ 628, Conecto LF
WEB62831013255964
GST 07497
autobus
7201
2011
22.06.2011
30
Mercedes Benz
Typ 628, Conecto LF
WEB62831013255965
GST 07498
autobus
7201
2011
22.06.2011
WV2ZZZ7HZ7XO14408
GST CC64
osobowy
1896
2006
02-01-2007
6
1
01.01.2014
31.12.2016
bez VAT
brak
bez VAT
Miejski Ośrodek Pomocy Społecznej
Volkswagen
Transporter Waldi
134500
autoalarm
-
z VAT
Tabela nr 6 - Szkodowość w Gminie Miejskiej Starogard Gdański
Lp.
Ubezpieczony
Poszkodowany
Wypłata
1
2
PG nr 2 w Starogardzie Gdańskim
MPP nr 10 "Słoneczna Kraina"
PG nr 2 w Starogardzie Gdańskim
MPP nr 10 "Słoneczna Kraina"
Ryzyko
2010
Elektronika
Elektronika
Opis
przepięcie uszkodzenie laptopa
przepięcie uszkodzenie centrali tel
4 539,80 zł
2 023,98 zł
3
OSiR w Starogardzie Gdańskim
OSiR w Starogardzie Gdańskim
Mienie od ognia
Zalanie pomieszczeń
4
5
6
7
8
9
10
11
12
13
14
15
16
17
18
MPP 5 Starogardzie Gdańskim
ZBM w Starogardzie Gdańskim
ZBM w Starogardzie Gdańskim
MOPS w Starogardzie Gdańskim
MPP nr 4 w Starogardzie Gdańskim
MPP nr 5 Starogardzie Gdańskim
ZBM w Starogardzie Gdańskim
PG nr 2 w Starogardzie Gdańskim
MOPS w Starogardzie Gdańskim
PSP nr 4 w Starogardzie Gdańskim
PG nr 2 w Starogardzie Gdańskim
MPP 10 "Słoneczna Kraina"
MPP nr 4 w Starogardzie Gdańskim
MPP nr 6 Modraczek
PSP nr 3 w Starogardzie Gdańskim
MPP 5 Starogardzie Gdańskim
ZBM w Starogardzie Gdańskim
ZBM w Starogardzie Gdańskim
MOPS w Starogardzie Gdańskim
MPP nr 4 w Starogardzie Gdańskim
MPP nr 5 Starogardzie Gdańskim
ZBM w Starogardzie Gdańskim
PG nr 2 w Starogardzie Gdańskim
MOPS w Starogardzie Gdańskim
PSP nr 4 w Starogardzie Gdańskim
PG nr 2 w Starogardzie Gdańskim
MPP 10 "Słoneczna Kraina"
MPP nr 4 w Starogardzie Gdańskim
MPP nr 6 Modraczek
PSP nr 3 w Starogardzie Gdańskim
Mienie od ognia
Mienie od ognia
Mienie od ognia
Mienie od ognia
Mienie od ognia
Mienie od ognia
Mienie od ognia
Mienie od ognia
Mienie od ognia
Mienie od ognia
Mienie od ognia
Mienie od ognia
Mienie od ognia
Mienie od ognia
Mienie od ognia
19
MPP nr 8 "Bajeczka"
MPP nr 8 "Bajeczka"
Mienie od ognia
20
21
22
23
24
25
26
27
28
29
30
31
32
33
34
35
36
37
38
OSiR w Starogardzie Gdańskim
PSP nr 4 w Starogardzie Gdańskim
Urząd Miasta
Urząd Miasta
Urząd Miasta
ZBM w Starogardzie Gdańskim
Urząd Miasta
Urząd Miasta
Urząd Miasta
Urząd Miasta
Urząd Miasta
Urząd Miasta
Urząd Miasta
Urząd Miasta
Urząd Miasta
Urząd Miasta
Urząd Miasta
Urząd Miasta
Urząd Miasta
Mienie od ognia
Mienie od ognia
OC dróg
OC dróg
OC dróg
OC dróg
OC dróg
OC dróg
OC dróg
OC dróg
OC dróg
OC dróg
OC
OC
OC
OC
OC
OC
OC
39
PG nr 1 im Mikołaja Kopernika
Szyby
wybicie szyby
125,00 zł
40
ZSP im Jana Pawła II
Szyby
wybicie szyby
589,72 zł
41
PG nr 1 im Mikołaja Kopernika
OSiR w Starogardzie Gdańskim
PSP nr 4 w Starogardzie Gdańskim
os. trzecia
os. trzecia
os. trzecia
os. trzecia
os. trzecia
os. trzecia
os. trzecia
os. trzecia
os. trzecia
os. trzecia
os. trzecia
os. trzecia
os. trzecia
os. trzecia
os. trzecia
os. trzecia
os. trzecia
Publiczne Gimnazjum nr 1 im Mikołaja
Kopernika
Zespół Szkół Publicznych im Jana Pawła II
Publiczne Gimnazjum nr 1 im Mikołaja
Kopernika
Zalanie pomieszczeń.
Pożar lokalu.
Awaria instalacji c.o.
Zalanie pomieszczeń. Śnieg
Zalanie pomieszczeń.
Zalanie pomieszczeń.
Zalanie lokalu mieszkalnego.
Zalanie budynku.
pomalowanie grafiti.
Zalanie wc i klatki schodowej.
zalanie pomieszczeń deszcz nawalny
zalanie pomieszczeń deszcz nawalny
Zalanie pomieszczeń.
Zalanie budynku.
zalanie pomieszczeń deszcz nawalny
zalanie pomieszczeń piwnicznych i na I piętrze przedszkola na
skutek ulewnych deszczy
zalanie awaria urządzeń wod-kan
Zalanie budynku szkoły.
Uszkodzenie pojazdu na drodze.
Uraz ciała śliski chodnik
Uszkodzenie pojazdu na drodze.
Uraz ciała w wyniku upadku.
uszkodzenie pojazdu na drodze
Uszkodzenie pojazdu na drodze.
Uszkodzenie pojazdu na drodze
Uszkodzenie pojazdu na drodze.
uszkodzenie pojazdu na drodze
Uszkodzenie pojazdu na drodze.
szkoda w mieniu
szkoda w mieniu
szkoda w mieniu
szkoda w mieniu
Uraz ciała w wyniku upadku.
szkoda w mieniu
szkoda w mieniu
2 182,79 zł
Szyby
wybicie szyby
150,00 zł
42
MZK w Starogardzie Gdańskim
MZK w Starogardzie Gdańskim
Szyby - 72 szkody
Wiaty przystankowe
Ubezpieczony
3 553,09 zł
2 878,20 zł
7 091,18 zł
3 973,43 zł
4 000,00 zł
1 641,04 zł
9 300,00 zł
1 164,43 zł
2 224,37 zł
238,69 zł
794,35 zł
470,21 zł
208,59 zł
295,24 zł
2 100,00 zł
202,47 zł
831,14 zł
5 895,46 zł
1 110,61 zł
417,19 zł
48 236,00 zł
155 171,46 zł
Razem:
Lp.
3 705,79 zł
1 579,63 zł
1 695,76 zł
6 888,84 zł
1 537,04 zł
2 197,39 zł
2 537,33 zł
2 069,55 zł
1 375,25 zł
5 425,98 zł
1 092,92 zł
2 383,27 zł
2 194,78 zł
11 817,57 zł
2 433,38 zł
Poszkodowany
Ryzyko
Opis
Wypłata
2011
1
4
2
3
5
6
7
8
9
10
11
12
13
14
15
16
17
18
19
20
PSP nr 3 w Starogardzie Gdańskim
OSiR w Starogardzie Gdańskim
ZBM w Starogardzie Gdańskim
MOPS w Starogardzie Gdańskim
Urząd Miasta
Urząd Miasta
Urząd Miasta
Urząd Miasta
Urząd Miasta
Urząd Miasta
Urząd Miasta
Urząd Miasta
Urząd Miasta
Urząd Miasta
ZBM w Starogardzie Gdańskim
PG nr 2 w Starogardzie Gdańskim
PG nr 2 w Starogardzie Gdańskim
Urząd Miasta
ZSP im Jana Pawła II
PG nr 1 im Mikołaja Kopernika
PSP nr 3 w Starogardzie Gdańskim
OSiR w Starogardzie Gdańskim
ZBM w Starogardzie Gdańskim
MOPS w Starogardzie Gdańskim
os. trzecia
os. trzecia
os. trzecia
os. trzecia
os. trzecia
os. trzecia
os. trzecia
os. trzecia
os. trzecia
os. trzecia
os. trzecia
os. trzecia
os. trzecia
os. trzecia
ZSP im Jana Pawła II
PG nr 1 im Mikołaja Kopernika
Elektronika
Elektronika
Kradzież
Mienie od ognia
OC dróg
OC dróg
OC dróg
OC dróg
OC dróg
OC dróg
OC dróg
OC dróg
OC dróg
OC dróg
OC dróg
OC dróg
OC dróg
OC dróg
Szyby
Szyby
przepięcie zasilacz UPS
przepięcie komputer
Kradzież
zacieki na ścianie
uszkodzenie pojazdu na drodze
Uszkodzenie pojazdu na drodze
uszkodzenie pojazdu na drodze
Uszkodzenie pojazdu na drodze
Uszkodzenie pojazdu na drodze
uraz ciała wskutek wjechania w dziurę w nawierzchni
uszkodzenie pojazdu na drodze
uraz ciała wskutek upadku
uraz ciała wskutek upadku na oblodzonej nawierzchni
obrażenie ciała
uraz ciała wskutek upadku
uszkodzenie boku pojazdu
uszkodzenie pojazdu wskutek uderzenia kamieniem
Uszkodzenie pojazdu na drodze
Pęknięcie szyb
Wybicie szyb w oknach
21
MZKw Starogardzie Gdańskim
MZKw Starogardzie Gdańskim
Szyby - 74 szkody
Wiaty przystankowe
104 947,16 zł
Razem 2011:
Lp.
1
2
3
4
5
6
7
8
9
Ubezpieczony
MPP nr 6 Modraczek
PG nr 2 w Starogardzie Gdańskim
PSP nr 4 w Starogardzie Gdańskim
MPP nr 6 Modraczek
PSP Nr 1 w Starogardzie Gdańskim
MPP nr 8 "Bajeczka"
Urząd Miasta
PSP Nr 2 im. Marii Konopnickiej
MPP nr 4 w Starogardzie Gdańskim
Poszkodowany
MPP nr 6 Modraczek
PG nr 2 w Starogardzie Gdańskim
PSP nr 4 w Starogardzie Gdańskim
MPP nr 6 Modraczek
PSP Nr 1 w Starogardzie Gdańskim
MPP nr 8 "Bajeczka"
Urząd Miasta
PSP Nr 2 im. Marii Konopnickiej
MPP nr 4 w Starogardzie Gdańskim
390,40 zł
2 200,00 zł
10 000,00 zł
1 279,67 zł
900,00 zł
12 580,00 zł
532,00 zł
320,66 zł
104,50 zł
1 500,00 zł
904,61 zł
13 300,00 zł
1 500,00 zł
7 000,00 zł
1 500,00 zł
1 700,00 zł
465,41 zł
1 087,91 zł
598,27 zł
296,73 zł
46 787,00 zł
Ryzyko
2012
Dewastacja
Dewastacja
Dewastacja
Mienie od ognia
Mienie od ognia
Mienie od ognia
Mienie od ognia
Mienie od ognia
Mienie od ognia
Opis
Graffiti
Elewacja
Nawierzchnia boiska
zalanie
Zniszczenie słupa
Zalanie ściany i sufitu
Zalanie pomieszczeń
zalanie toalet
zalanie pomieszczeń
Wypłata
1 113,42 zł
3 289,57 zł
1 460,18 zł
26 098,29 zł
1 294,82 zł
3 386,86 zł
1 800,00 zł
2 029,60 zł
1 688,52 zł
10
11
12
13
14
15
16
17
18
19
20
21
22
MOSP w Starogardzie Gdańskim
Urząd Miasta
Urząd Miasta
Urząd Miasta
Urząd Miasta
Urząd Miasta
Urząd Miasta
Urząd Miasta
Urząd Miasta
ZSP im Jana Pawła II
PG nr 2 w Starogardzie Gdańskim
PSP nr 4 w Starogardzie Gdańskim
PSP Nr 2 im. Marii Konopnickiej
MOSP w Starogardzie Gdańskim
os. trzecia
os. trzecia
os. trzecia
os. trzecia
os. trzecia
os. trzecia
os. trzecia
os. trzecia
ZSP im Jana Pawła II
PG nr 2 w Starogardzie Gdańskim
PSP nr 4 w Starogardzie Gdańskim
PSP Nr 2 im. Marii Konopnickiej
Mienie od ognia
OC dróg
OC dróg
OC dróg
OC dróg
OC dróg
OC dróg
OC dróg
OC ogólne
Szyby
Szyby
Szyby
Szyby
zalanie - deszcz
uraz ciała
Uszkodzenie pojazdu na drodze
uraz ciała
uszkodzenie pojazdu na drodze
uszkodzenie pojazdu na drodze
uszkodzenie pojazdu na drodze
Uszkodzenie pojazdu na drodze
uszkodzenie pojazdu
szyba w drzwiach
szyby okienna
szyba okienna
szyba w drzwiach
23
MZK w Starogardzie Gdańskim
MZK w Starogardzie Gdańskim
Szyby - 60 szkód
Wiaty przystankowe
Opis
Wiata przystankowe
2 132,56 zł
4 500,00 zł
1 600,92 zł
5 000,00 zł
2 296,29 zł
1 543,98 zł
430,00 zł
570,99 zł
3 048,06 zł
803,13 zł
558,06 zł
370,48 zł
177,12 zł
41 412,32 zł
106 605,17 zł
Razem 2012:
Lp.
Ubezpieczony
Poszkodowany
1
2
3
4
5
Urząd Miasta
Urząd Miasta
Urząd Miasta
PG nr 2 w Starogardzie Gdańskim
MPP nr 3
os. trzecia
os. trzecia
os. trzecia
PG nr 2 w Starogardzie Gdańskim
MPP nr 4
Ryzyko
2013
OC dróg
OC dróg
OC dróg
Szyby
Szyby
6
MZK w Starogardzie Gdańskim
MZK w Starogardzie Gdańskim
Szyby - 15 szkód
Wypłata
w likwidacji
w likwidacji
w likwidacji
700,01 zł
290,00 zł
10 706,00 zł
Uszkodzenie pojazdu na drodze
uszkodzenie pojazdu na drodze
Uszkodzenie pojazdu na drodze
szyba okienna
stłuczenie szyby w oknie
11 696,01 zł
Razem 2013:
Wykaz szkód komunikacyjnych za lata 2010 - 2013
Lp.
Ubezpieczony
Ryzyko
Liczba szkód
Wypłata
2010
1
2
MZK w Starogardzie Gdańskim
MZK w Starogardzie Gdańskim
OC
AC
12
13
58 195,00 zł
23 488,00 zł
81 683,00 zł
13
22
1
35 114,00 zł
39 977,00 zł
3 461,22 zł
78 552,22 zł
14
19
1
48 036,00 zł
43 447,00 zł
5 934,92 zł
97 417,92 zł
4
7 434,00 zł
7 434,00 zł
Razem:
2011
1
2
3
MZK w Starogardzie Gdańskim
MZK w Starogardzie Gdańskim
MOPS
1
2
3
MZK w Starogardzie Gdańskim
MZK w Starogardzie Gdańskim
Urząd Miasta
OC
AC
AC
Razem:
2012
OC
AC
AC
Razem:
2013
1
MZK w Starogardzie Gdańskim
AC
Razem:
Tabela nr 7 - Wykaz maszyn i urządzeń do ubezpieczenia od uszkodzeń (od wszystkich ryzyk)
L.p. Nazwa maszyny (urządzenia)
1
Numer seryjny
Moc, wydajność, cinienie
Rok produkcji Producent
Suma ubezpieczenia
Czy maszyna
(urządzenie) jest
eksploatowana pod
ziemią? (TAK/NIE)
Miejsce ubezpieczenia (adres)
Publiczne Gimnazjum Nr 2 im. Adama Mickiewicza w Starogardzie Gdańskim
1
kosiarka samojezdna
37892120711BW017
15,5KM
2007
MURRAY
10 907,61 zł
NIE
ul. Traugutta 2 Starogard Gdański
2
automat szorujący
84318919
2000W
2008
MUMATIC
15 982,00 zł
NIE
ul. Traugutta 2 Starogard Gdański
3
kosiarka spalinowa do trawy
6280575
4KM
2005
STIGA
1 149,15 zł
NIe
ul. Traugutta 2 Starogard Gdański
4
odśnieżarka spalinowa
9889
6,5KM
2011
NAC
1 549,00 zł
NIE
ul. Traugutta 2 Starogard Gdański
5
klimatyzator przenośny
1246000630219
600m2/h
2012
MCS
1 770,00 zł
NIE
ul. Traugutta 2 Starogard Gdański
RAZEM
2
1.
31 357,76 zł
Miejskie Przedszkole Publiczne Nr 8 'Bajeczka" w Starogardzie Gdańskim
zmywarka LC1200 (2 sztuki)
2008
edesa
RAZEM
3
1.
21 999,04 zł
NIE
Miejskie Przedszkole Publiczne Nr 8 "Bajeczka"
nie
Miejskie Przedszkole Publiczne Nr 8 "Bajeczka"
21 999,04 zł
Miejskie Przedszkole Publiczne Nr 2 z Oddziałami Integracyjnymi w Starogardzie Gdańskim
obieraczka Hendi-7 359
226 841 - Model
RAZEM
510W 400V 3N 50Hz
2 012,00 zł
Hendi ul.Magazynowa
5 Gądki
3 448,92 zł
3 448,92 zł
Tabela nr 8
WYKAZ LOKALIZACJI, W KTÓRYCH PROWADZONA JEST DZIAŁALNOŚĆ ORAZ
LOKALIZACJI, GDZIE ZNAJDUJE SIĘ MIENIE NALEŻĄCE DO JEDNOSTEK GMINY
MIEJSKIEJ STAROGAD GDAŃSKI (nie wykazane w załączniku nr 1 - poniższy wykaz nie jest
pełnym wykazem lokalizacji)
Lp.
Zabezpieczenia (znane zabezpieczenia p-poż
i przeciw kradzieżowe)
Lokalizacja (adres)
1. Urząd Miasta
ul. Rynek str. płn. ,ul. Rynek str. płd., ul. Rynek str. wsch., ul.
1 Rynek str. zach.
ul. Sambora, ul. Paderewskiego, ul. Plac 16 Dywizji, ul.
2 Spichrzowa, ul. Rynek, magazyn depozytowy ul. Tczewska 22
3 Kościuszki 79A,
9. Ośrodek Sprotu i Rekreacji
1. ul.Olimpijczyków Starogardzkich 1
2. ul.Hallera 19a
3. ul.Harcerska
4. ul.Buchholza
5. ul.Gryfapom/Kleszczyńskiego
6. ul.Ściegiennego
10. Miejski Zespół Obsługi Przedszkoli i Placówek Oświatowych
Budynek Starostwa Powiatowego - Ognisko Pracy Pozaszkolnej gaśnice proszkowe, alarm na część doby 1
ul. Sikorskiego 26, 83-200 Starogard Gdański
dozór agencji ochrony