Renault Trafic 2.5

Transkrypt

Renault Trafic 2.5
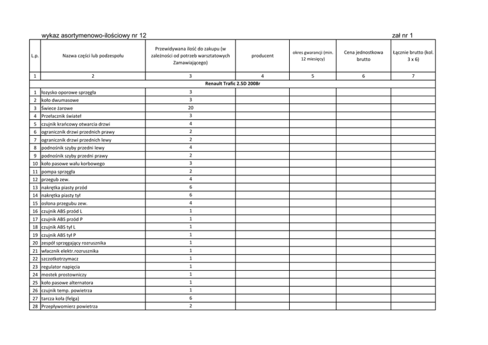
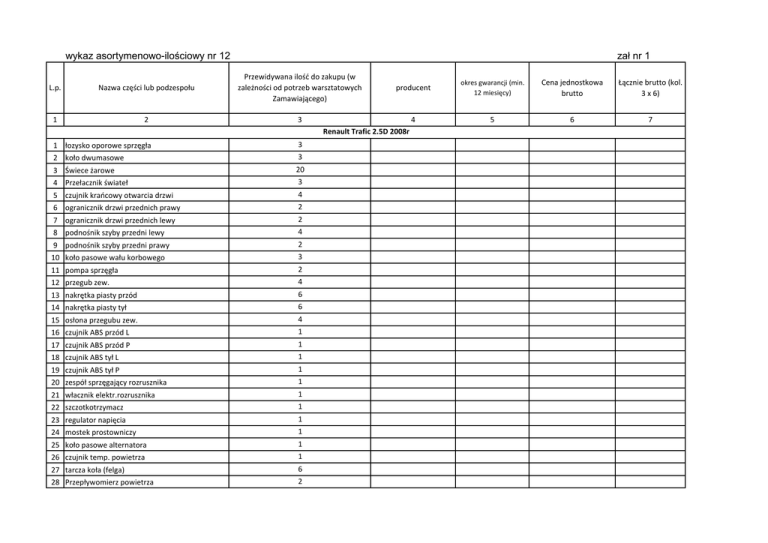
wykaz asortymenowo-ilościowy nr 12
zał nr 1
L.p.
Nazwa części lub podzespołu
Przewidywana ilość do zakupu (w
zależności od potrzeb warsztatowych
Zamawiającego)
producent
okres gwarancji (min.
12 miesięcy)
Cena jednostkowa
brutto
Łącznie brutto (kol.
3 x 6)
1
2
3
4
5
6
7
Renault Trafic 2.5D 2008r
1 łozysko oporowe sprzęgła
3
2 koło dwumasowe
3
3 Świece żarowe
20
4 Przełacznik świateł
3
5 czujnik krańcowy otwarcia drzwi
4
6 ogranicznik drzwi przednich prawy
2
7 ogranicznik drzwi przednich lewy
2
8 podnośnik szyby przedni lewy
4
9 podnośnik szyby przedni prawy
2
10 koło pasowe wału korbowego
3
11 pompa sprzęgła
2
12 przegub zew.
4
13 nakrętka piasty przód
6
14 nakrętka piasty tył
6
15 osłona przegubu zew.
4
16 czujnik ABS przód L
1
17 czujnik ABS przód P
1
18 czujnik ABS tył L
1
19 czujnik ABS tył P
1
20 zespół sprzęgający rozrusznika
1
21 włacznik elektr.rozrusznika
1
22 szczotkotrzymacz
1
23 regulator napięcia
1
24 mostek prostowniczy
1
25 koło pasowe alternatora
1
26 czujnik temp. powietrza
1
27 tarcza koła (felga)
6
28 Przepływomierz powietrza
2
29 Zawór EGR
2
30 Pompa paliwa
2
31 czujnik obrotów wału korbowego
2
RAZEM:
…………………………………………………………………….
pieczęć i podpis Wykoanwcy
lub osoby upoważnionej