Umowa organizacji przyjęcia urodzinowego

Transkrypt

Umowa organizacji przyjęcia urodzinowego
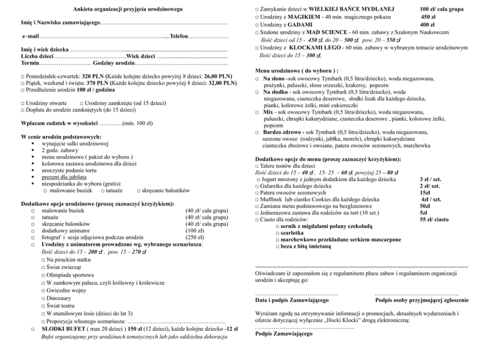
Ankieta organizacji przyjęcia urodzinowego
Imię i Nazwisko zamawiającego…………………………………………………………
e–mail ……………………………………………………….....Telefon…………………
Imię i wiek dziecka ………………………........................................................................
Liczba dzieci ……………………………….Wiek dzieci ….............................................
Termin……………………… Godziny urodzin…………………………………………
□ Poniedziałek-czwartek: 320 PLN (Każde kolejne dziecko powyżej 8 dzieci: 26,00 PLN)
□ Piątek, weekend i święta: 370 PLN (Każde kolejne dziecko powyżej 8 dzieci: 32,00 PLN)
□ Przedłużenie urodzin 100 zł / godzina
□ Urodziny otwarte
□ Urodziny zamknięte (od 15 dzieci)
□ Dopłata do urodzin zamkniętych (do 15 dzieci)
Wpłacam zadatek w wysokości …………(min. 100 zł)
W cenie urodzin podstawowych:
 wynajęcie salki urodzinowej
 2 godz. zabawy
 menu urodzinowe ( pakiet do wyboru )
 kolorowa zastawa urodzinowa dla dzieci
 uroczyste podanie tortu
 prezent dla jubilata
 niespodzianka do wyboru (gratis):
□ malowanie buziek
□ tatuaże
□ skręcanie baloników
Dodatkowe opcje urodzinowe (proszę zaznaczyć krzyżykiem):
□ malowanie buziek
(40 zł/ cała grupa)
□ tatuaże
(40 zł/ cała grupa)
□ skręcanie baloników
(40 zł/ cała grupa)
□ dodatkowy animator
(100 zł)
□ fotograf i sesja zdjęciowa podczas urodzin
(250 zł)
□ Urodziny z animatorem prowadzone wg. wybranego scenariusza:
Ilość dzieci do 15 – 200 zł , pow. 15 – 270 zł
□ Na pirackim statku
□ Świat zwierząt
□ Olimpiada sportowa
□ W zamkowym pałacu, czyli królewny i królewicze
□ Gwiezdne wojny
□ Dinozaury
□ Świat teatru
□ W stumilowym lesie (dzieci do lat 3)
□ Propozycja własnego scenariusza: ……………………………………………
□ SŁODKI BUFET ( max 20 dzieci ) 150 zł (12 dzieci), każde kolejne dziecko -12 zł
Bufet organizujemy przy urodzinach tematycznych lub jako oddzielna dekoracja
□ Zamykanie dzieci w WIELKIEJ BAŃCE MYDLANEJ
100 zł/ cała grupa
□ Urodziny z MAGIKIEM - 40 min. magicznego pokazu
450 zł
□ Urodziny z GADAMI
400 zł
□ Szalone urodziny z MAD SCIENCE - 60 min. zabawy z Szalonym Naukowcem
Ilość dzieci od 15 - 450 zł, do 20 – 500 zł, pow. 20 – 550 zł
□ Urodziny z KLOCKAMI LEGO - 60 min. zabawy w wybranym temacie urodzinowym
Ilość dzieci do 15 – 300 zł,
Menu urodzinowe ( do wyboru ) :
□ Na słono -sok owocowy Tymbark (0,5 litra/dziecko), woda niegazowana,
prażynki, paluszki, słone orzeszki, krakersy, popcorn
□ Na słodko - sok owocowy Tymbark (0,5 litra/dziecko), woda
niegazowana, ciasteczka deserowe, słodki lizak dla każdego dziecka,
pianki, kolorowe żelki, mini cukiereczki
□ Mix - sok owocowy Tymbark (0,5 litra/dziecko), woda niegazowana,
paluszki, chrupki kukurydziane, ciasteczka deserowe , pianki, kolorowe żelki,
popcorn
□ Bardzo zdrowo - sok Tymbark (0,5 litra/dziecko), woda niegazowana,
suszone owoce (rodzynki, jabłka, morele), chrupki kukurydziane
ciasteczka zbożowe i owsiane, patera owoców sezonowych, marchewka
Dodatkowe opcje do menu (proszę zaznaczyć krzyżykiem):
□ Talerz tostów dla dzieci
Ilość dzieci do 15 – 40 zł , 15- 25 – 60 zł, powyżej 25 – 80 zł
□ Jogurt mrożony z jednym dodatkiem dla każdego dziecka
□ Galaretka dla każdego dziecka
□ Patera owoców sezonowych
□ Muffinek lub ciastko Cookies dla każdego dziecka
□ Zamiana menu podstawowego na bezglutenowe
□ Jednorazowa zastawa dla rodziców na tort (10 szt.)
□ Ciasto dla rodziców:
□ sernik z migdałami polany czekoladą
□ szarlotka
□ marchewkowe przekładane serkiem mascarpone
□ beza z bitą śmietaną
3 zł / szt.
2 zł/ szt.
15zł
4zł / szt.
50zł
5zł
55 zł/ ciasto
-------------------------------------------------------------------------------------------------------------Oświadczam iż zapoznałem się z regulaminem placu zabaw i regulaminem organizacji
urodzin i akceptuję go:
…………………………………….
Data i podpis Zamawiającego
……………………………………..
Podpis osoby przyjmującej zgłoszenie
Wyrażam zgodę na otrzymywanie informacji o promocjach, aktualnych wydarzeniach i
ofercie dotyczącej wyłącznie „Hocki Klocki” drogą elektroniczną:
. …………………………………………..
Podpis Zamawiającego
18. Organizator zezwala na dostarczenie własnego tortu przez Zamawiającego jednak nie
REGULAMIN URODZIN
ponosi za to odpowiedzialności.
1. Urodziny odbywają się w Kawiarni HOCKI KLOCKI w Warszawie przy ul.
19. Wszelkie zmiany dotyczące pakietu oraz dodatkowych opcji, tortu należy zgłaszać
Wańkowicza 4
najpóźniej na 3 dni przed urodzinami.
2. Rezerwacji wstępnego terminu urodzin można dokonać osobiście, telefonicznie bądź
20. Zamawiający zobowiązany jest do dostarczenia listy gości najpóźniej jeden dzień przed
pocztą elektroniczną
imprezą.
3. Przyjęcie urodzinowe organizowane jest po wypełnieniu ankiety organizacji przyjęcia
21. W przypadku powiększenia listy gości organizator dopłaca za każdą kolejną osobę,
urodzinowego oraz wpłaceniu zaliczki gotówką lub na konto firmy.
zgodnie z obowiązującym cennikiem.
4. Rezerwacja terminu urodzin bez zaliczki utrzymywana jest do 5 dni.
22. Kawiarnia HOCKI KLOCKI nie ponosi odpowiedzialności za rzeczy pozostawione na
5. Zaliczka wpłacona przez zamawiającego jest na konkretny termin i jest bezzwrotna.
terenie kawiarni.
6. Minimalna wysokość zaliczki wynosi 100 PLN, w przypadku zamówienia dodatkowych
23. Za gości uważane są dzieci od 1 roku do 12 roku życia.
atrakcji wysokość zaliczki ustalana jest indywidualnie
24. Od rodziców jubilata oraz rodziców zaproszonych gości nie pobiera się opłaty
7. Do wyłącznej dyspozycji dziecka i jego gości przez czas trwania imprezy urodzinowej
wejściowej.
jest oddzielna sala urodzinowa. Czas wynajmu salki urodzinowej wynosi 2 h (czas liczony
25. W święta obowiązują takie same ceny jak w przypadku piątku, soboty i niedzieli.
jest od ustalonej godziny, a nie od momentu zebrania się gości).
26. Zamawiający jest odpowiedzialny za gości zaproszonych do Kawiarni HOCKI
8. Wejście dzieci na salę zabaw jest na czas ograniczony.
KLOCKI
9. W przypadku pozostania dzieci na Sali Zabaw po urodzinach ( jeżeli jest taka możliwoś)
27. Organizator nie ponosi odpowiedzialności za bezpieczeństwo dzieci podczas godzin
pobierana jest opłata według cennika obowiązującego w danym dniu.
wynajmu sali.
10. Organizator zapewnia osobę do obsługi salki urodzinowej.
28. Zakaz wynoszenia produktów spożywczych oraz napojów z salki urodzinowej.
11. W przypadku wyboru Pakietu na 8 dzieci minimalna liczba gości to 8 osób.
29. Wpłacenie zaliczki jest jednoznaczne z akceptacją warunków regulaminu.
Zamawiający zobowiązany jest do uiszczenia ustalonej opłaty za 8 dzieci. Powyżej 8 osób
30. Uczestników zabawy urodzinowej obowiązuje główny regulamin Kawiarni HOCKI
opłata za wejściówki pobierana jest tylko za rzeczywistą liczbę przybyłych gości
KLOCKI
urodzinowych.
--------------------------------WYPEŁNIA PRACOWNIK PLACÓWKI----------------------Dodatkowe informacje
12. Dopłata do urodzin, następuje w dniu imprezy, po przybyciu wszystkich dzieci.
13. Zamknięcie placówki na wyłączność odbywa się powyżej 15 dzieci.
14. Organizator zabrania przynoszenia własnego jedzenia i napojów na urodziny.
15. Poczęstunek (zgodny z zawartością pakietu), który zapewniamy, jest poczęstunkiem dla
WARTOŚĆ CAŁEGO ZAMÓWIENIA
dzieci. Poczęstunek dla rodziców (kawa, herbata, ciasto itp.) serwowany
jest za dodatkową opłatą, zgodną z cennikiem dostępnym w kawiarni.
16. Poczęstunek przygotowany dla dzieci ze względów higienicznych musi być spożywany
KWOTA ZALICZKI
KAWIARNIA
wyłącznie w salce urodzinowej.
17. Zabrania się przynoszenia oraz spożywania napojów alkoholowych oraz szampana typu
„PICCOLO”
KWOTA DO ZAPŁATY