Rezystory, kondensatory i cewki

Transkrypt

Rezystory, kondensatory i cewki
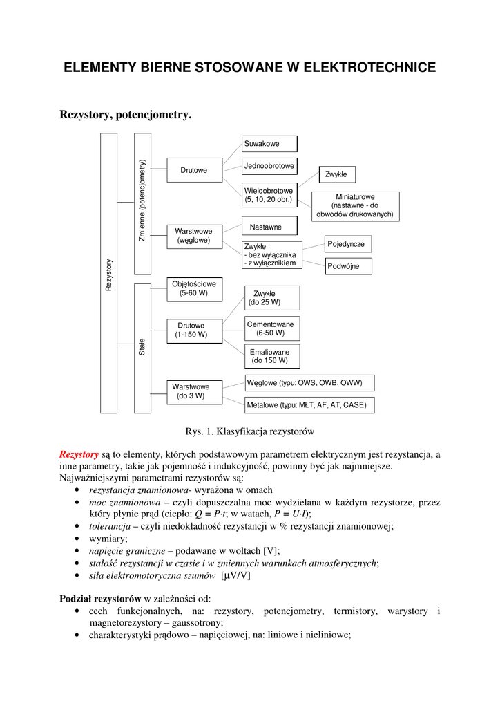
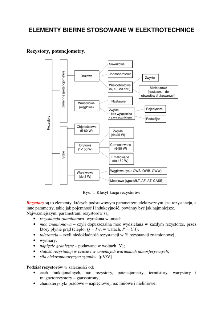
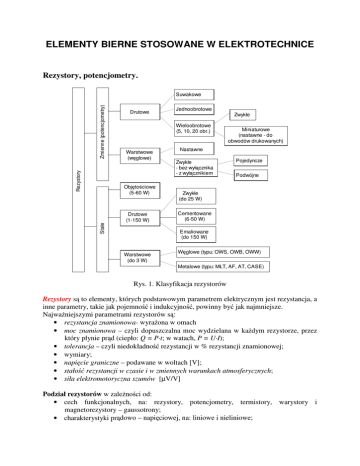
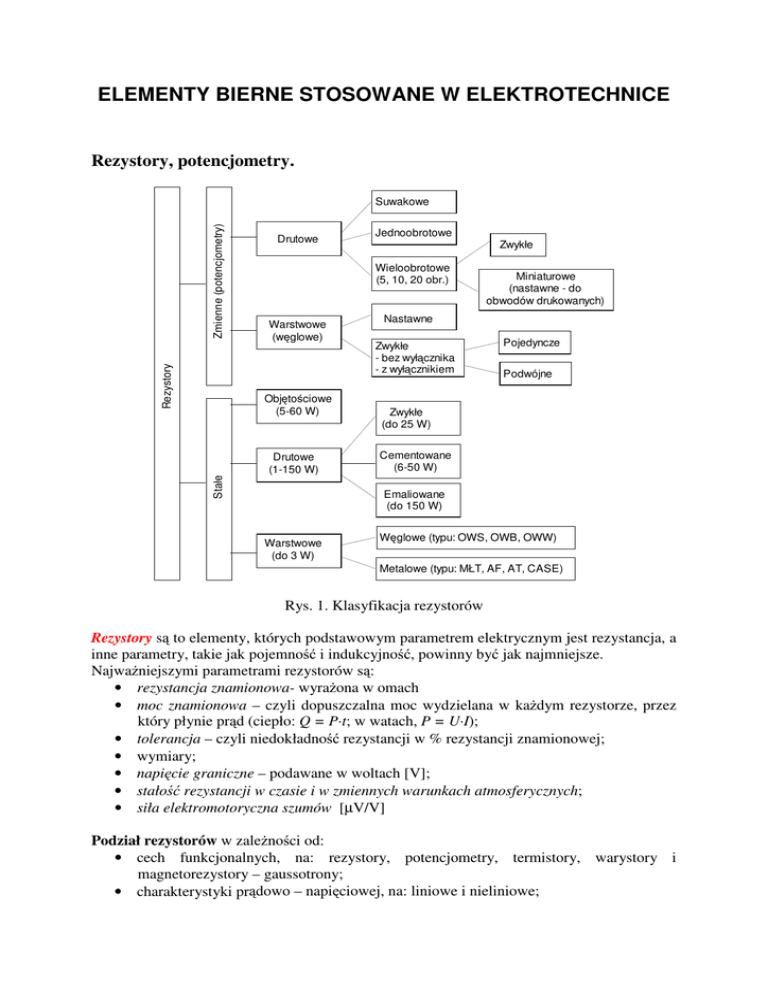
ELEMENTY BIERNE STOSOWANE W ELEKTROTECHNICE
Rezystory, potencjometry.
Rezystory
Zmienne (potencjometry)
Suwakowe
Drutowe
Zwykłe
Wieloobrotowe
(5, 10, 20 obr.)
Warstwowe
(węglowe)
Objętościowe
(5-60 W)
Stałe
Jednoobrotowe
Drutowe
(1-150 W)
Miniaturowe
(nastawne - do
obwodów drukowanych)
Nastawne
Zwykłe
- bez wyłącznika
- z wyłącznikiem
Pojedyncze
Podwójne
Zwykłe
(do 25 W)
Cementowane
(6-50 W)
Emaliowane
(do 150 W)
Warstwowe
(do 3 W)
Węglowe (typu: OWS, OWB, OWW)
Metalowe (typu: MŁT, AF, AT, CASE)
Rys. 1. Klasyfikacja rezystorów
Rezystory są to elementy, których podstawowym parametrem elektrycznym jest rezystancja, a
inne parametry, takie jak pojemność i indukcyjność, powinny być jak najmniejsze.
NajwaŜniejszymi parametrami rezystorów są:
• rezystancja znamionowa- wyraŜona w omach
• moc znamionowa – czyli dopuszczalna moc wydzielana w kaŜdym rezystorze, przez
który płynie prąd (ciepło: Q = P·t; w watach, P = U·I);
• tolerancja – czyli niedokładność rezystancji w % rezystancji znamionowej;
• wymiary;
• napięcie graniczne – podawane w woltach [V];
• stałość rezystancji w czasie i w zmiennych warunkach atmosferycznych;
• siła elektromotoryczna szumów [µV/V]
Podział rezystorów w zaleŜności od:
• cech funkcjonalnych, na: rezystory, potencjometry, termistory, warystory i
magnetorezystory – gaussotrony;
• charakterystyki prądowo – napięciowej, na: liniowe i nieliniowe;
• stosowanego materiału oporowego, na: drutowe i niedrutowe.
Rys.2. Przykłady rezystorów stałych i zmiennych: a) warstwowe metalizowane;
b) objętościowe; c) drutowe; d) potencjometry
Rys. 3. Rezystory zmienne: a) potencjometry wielo- i jednoobrotowy;
b) precyzyjne potencjometry nastawne (trymery) wieloobrotowe;
c) miniaturowe trymery oporowe jednoobrotowe
Rezystory drutowe – wykonane z drutu stopowego (manganin, konstantan, kanthal)
nawiniętego na ceramiczny wałek lub rurkę w postaci jednowarstwowego uzwojenia.
Rezystory niedrutowe – wykonane z materiału rezystywnego jako rezystory warstwowe lub
objętościowe.
Rezystory warstwowe – wykonane z materiału rezystywnego umieszczonego na podłoŜu w
postaci warstwy. Mogą być węglowe (OWZ; stosuje się w układach o bardzo wielkich
częstotliwościach, do 1 GHz) i metalizowane.
Rezystory metalizowane – wykonane z materiałów takich jak złoto, platyna, rod, pallad,
nikiel, iryd. Są to rezystory cienkowarstwowe (grubość warstwy poniŜej 1 _m).
Rezystory objętościowe – występuje w nich lity element oporowy, który przewodzi prąd całą
swoją objętości_. Z tej racji rezystory te wytrzymują duŜe obciąŜenia prądowe i mocowe.
Rezystor liniowy – charakteryzuje się w normalnych warunkach proporcjonalną zaleŜnością
napięcia od prądu, tzn. spełnia prawo Ohma w postaci U = I·R, przy czym R=const.
Rezystor nieliniowy – charakteryzuje się tym, Ŝe wartość rezystancji jest funkcją prądu lub
napięcia.
Termistory – charakteryzują się ujemnym współczynnikiem rezystancyjnym. Ich rezystancja
zmienia się wraz ze zmianami temperatury.
Fotorezystory – ich rezystancja zaleŜy od natęŜenia światła padającego na rezystor.
Rezystory zmienne (potencjometry) – są to takie rezystory, w których wartość rezystancji
zaleŜy od połoŜenia pokrętła lub ruchomego ślizgacza. Najbardziej stabilne ze wszystkich
rezystorów są potencjometry drutowe. Stosuje się je jako potencjometry dostrojnicze i
wieloobrotowe w układach pomiarowokontrolnych (moc 0,5÷4 W).
Potencjometry warstwowe są stosowane do regulacji napięć w obwodach.(moc 0,1÷2 W).
• Potencjometry o charakterystyce liniowej – zastosowanie: do regulacji napięcia
(dzielniki napięciowe);
• Potencjometry o charakterystyce logarytmicznej – zastosowanie: do regulacji siły
głosu we wzmacniaczach akustycznych;
• Potencjometry o charakterystyce wykładniczej – zastosowanie: do regulacji barwy
tonu.
Kondensatory.
Kondensatorem nazywamy układ dwóch lub więcej przewodników (okładzin) odizolowanych
od siebie dielektrykiem. Zadaniem kondensatora jest gromadzenie ładunków elektrycznych.
Miarą zdolności kondensatora do gromadzenia ładunków elektrycznych nazywamy
pojemnością kondensatora.
gdzie: C – pojemność, ε – przenikalność elektryczna dielektryka wypełniającego przestrzeń
między okładzinami kondensatora, S – powierzchnia okładzin kondensatora, d – odległość
między okładzinami
Rys. 4. Budowa kondensatora płaskiego
Regulacyjne (4,5-505 pF)
Nastawne - trymery (2-60 pF)
Płytkowe
Mikowe
Rurkowe
Ceramiczne
Organiczne
Zwijkowe
Papierowe
Stałe
Kondensatory
Zmienne
Jednostką pojemności jest farad [F]. Jeden farad jest jednostką bardzo duŜą. Np. kula
ziemska ma pojemność 700 µF. W praktyce uŜywa się jednostek mniejszych od farada.
Monolityczne
(półprzewodnikowe)
Cienkowarstwowe
(napylane)
Polistyrenowe
Poliestrowe
Poliwęglanowe
Aluminiowe
Elektrolityczne
Tantalowe
Rys. 5. Klasyfikacja kondensatorów
Parametry kondensatorów:
• pojemność znamionowa – (wyraŜona w [F]) określa zdolność kondensatora do
gromadzenia ładunków elektrycznych.
• napięcie znamionowe – największe dopuszczalne napięcie stałe lub zmienne, które
moŜe być przyłoŜone do kondensatora.
• tolerancja – niedokładność wykonania kondensatora. Tolerancje mają wartości od
kilku do ponad stu procent (np. w przypadku kondensatorów elektrolitycznych
aluminiowych).
• tangens kąta stratności – stosunek mocy czynnej wydzielającej się w kondensatorze
do mocy biernej magazynowanej w kondensatorze, przy napięciu sinusoidalnie
zmiennym o określonej częstotliwości.
• prąd upływowy – prąd płynący przez kondensator przy doprowadzonym napięciu
stałym.
• temperaturowy współczynnik pojemności – określa względną zmianę pojemności
zaleŜną od zmian temperatury.
Podział kondensatorów stałych ze względu na budowę:
• mikowe – do budowy stosuje się muskowit (rodzaj miki). Mają mały temperaturowy
współczynnik pojemności i mały tangens kąta stratności dielektrycznej. Wadą ich jest
wysoka cena kondensatorów duŜej pojemności.
• ceramiczne – wykonywane z ceramiki alundowej, rutylowej, steatytowej, mają małą
wartość tangensa kąta stratności dielektrycznej oraz duŜy temperaturowy
współczynnik pojemności. Zaletą jest duŜa wartość pojemności znamionowej i małe
wymiary. Często stosowane w obwodach w.cz. oraz jako pojemności sprzęgające
(pojemności w obwodach rezonansowych i filtrach).
• papierowe – mają małe wymiary przy duŜych wartościach pojemności oraz duŜy
współczynnik stratności dielektrycznej. Dielektrykiem w nich jest bibuła nasycona
olejem syntetycznym, kondensatorowym, lub parafinowym.
• poliestyrenowe – mają mały współczynnik temperaturowy pojemności oraz mały
tangens kąta stratności dielektrycznej. Przeznaczone są do układów wielkich
częstotliwości.
• elektrolityczne: aluminiowe i tantalowe (z elektrolitem ciekłym – mokre, z
elektrolitem suchym – półprzewodnikowe). Stosowane w układach filtracji napięcia
zasilania i jako kondensatory sprzęgające w układach małej częstotliwości. Mają duŜe
wartości pojemności znamionowej. Długotrwała praca przy napięciu mniejszym od
znamionowego powoduje znaczny wzrost pojemności. Ich wadą jest duŜy prąd
upływowy, którego wartość rośnie wraz ze wzrostem temperatury.
Rys.6. Rodzaje kondensatorów:
a) stałe ceramiczne;
b) stałe zwijkowe;
c) elektrolityczne;
d) nastawne (trymery)
Cewki i transformatory.
Cewką nazywamy zwojnicę, której podstawowym parametrem jest indukcyjność.
Indukcyjność określa zdolność cewki do przeciwstawiania się zmianom prądu płynącego
przez cewkę i wyraŜa się wzorem:
gdzie: L – indukcyjność cewki w henrach [H], µ – przenikalność magnetyczna rdzenia cewki,
N – liczba zwojów, d i l – średnica i długość cewki [m].
Bezrdzeniowe
Cewki
Rdzeniowe
Rys. 7. Budowa cewki. 1 – korpus, 2 – uzwojenie 3 – rdzeń (ewentualnie)
Z rdzeniami
blaszanymi
Z rdzeniami
ferrytowymi
Dławiki
w. cz.
Transformatory
w. cz.
Dławiki
m. cz.
Transformatory
m. cz.
Dławiki
w. cz.
Transformatory
w. cz.
Rys. 8. Klasyfikacja cewek (m.cz. - małej częstotliwości, w.cz. – wielkiej częstotliwości)
Podstawowe parametry cewki:
• indukcyjność własna L;
• dobroć Q
QL = ω·L/rL
gdzie: L – indukcyjność; rL – rezystancja uzwojenia
• pojemność własna C0 (występuje między poszczególnymi zwojami cewki, między
zwojami a korpusem oraz innymi elementami otaczającymi cewkę) – zaleŜy od
wymiarów i sposobu uzwojenia. Od wartości pojemności własnej cewki (0,5÷50 pF)
zaleŜy częstotliwość rezonansu własnego
Podział cewek ze względu na sposób wykonania:
• jednowarstwowe (15÷20 µH) lub wielowarstwowe (100÷500 µH);
• bezrdzeniowe lub z rdzeniem;
• cylindryczne, płaskie, toroidalne lub drukowane (odpowiednio profilowane ścieŜki);
• ekranowane lub nieekranowane.
Cewka z rdzeniem ferromagnetycznym o nieliniowej charakterystyce magnesowania rdzenia
nazywamy dławikiem.
Płynący przez cewkę prąd wytwarza wokół niej pole magnetyczne. Jeśli w tym polu
magnetycznym umieścimy drugą cewkę, to otrzymamy transformator.
Zmiany prądu płynącego w pierwszej cewce transformatora powodują zmiany strumienia
magnetycznego przenikającego zwoje drugiej cewki, a więc w drugiej cewce indukuje się siła
elektromotoryczna (sem). Istnieją transformatory o dwóch lub większej liczbie cewek.
Przekładnią transformatora nazywamy stosunek liczby zwojów uzwojenia pierwotnego z1
do liczby zwojów uzwojenia wtórnego z2.
Rys.9. Cewki i transformatory: a) cewki miniaturowe; b) elementy wielkogabarytowe;
c) transformatory sieciowe;
1 – cewki jednowarstwowe, 2 – dławik hermetyczny, 3 – cewka nawinięta krzyŜowo, 4 – cewka płaska, 5 –
autotransformator z kubkowym rdzeniem ferrytowym, 6 – rdzenie ferrytowe (okrągły i płaski), 7 – cewki
wielowarstwowe, 8 i 9 – transformatory sieciowe z rdzeniem toroidalnym (100 W) i zwijanym (23 W).
Indukcyjność cewek bezrdzeniowych powietrznych jest mała w stosunku do ich wymiarów.
Znaczne zwiększenie indukcyjności osiąga się przez wprowadzenie w korpus cewki rdzenia
ferromagnetycznego o duŜej przenikalności magnetycznej. Rdzeń moŜe być stały lub
przesuwany. Cewki moŜna wytwarzać bezpośrednio na płytce drukowanej, ale mają one
niewielkie wartości.
W celu zmniejszenia pojemności uzwojenia buduje się cewki z uzwojeniami dzielonymi na
sekcje lub nawijanymi krzyŜowo. Uzwojenia dzielone (cylindryczne) składa się z dwóch lub
więcej sekcji w kształcie cylindrów (oddzielnych cewek nawiniętych jedna obok drugiej),
leŜących obok siebie i połączonych szeregowo. W uzwojeniach krzyŜowych poszczególne
zwoje biegną zygzakiem (są ze sobą skrzyŜowane).
Literatura:
A.J.Marusak „Urządzenia elektroniczne Cz.I Elementy urządzeń” WSiP Warszawa 2000