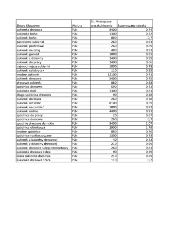
Słowo Kluczowe Waluta Śr. Miesięczne

Transkrypt

Słowo Kluczowe Waluta Śr. Miesięczne
SłowoKluczowe
sukienkadresowa
sukienkaboho
sukienkiboho
pastelowesukienki
sukienkipastelowe
sukienkinazimę
sukienkigwiazd
sukienkizdzianiny
sukienkidopracy
najmodniejszesukienki
sukienkicelebrytek
modnesukienki
sukienkidresowe
dresowesukienki
spódnicadresowa
sukienkamidi
długaspódnicadresowa
sukienkidobiura
sukienkiweselne
sukienkinacodzień
sukienkionline
spódnicedopracy
spódnicedresowe
spodniedresowedamskie
spódnicaołówkowa
modnespódnice
spódnicerozkloszowane
sukienkizbawełnydresowej
sukienkizdzianinydresowej
sukienkidresowesklepinternetowy
sukienkadresowasklep
szarasukienkadresowa
sukienkadresowaszara
Waluta
PLN
PLN
PLN
PLN
PLN
PLN
PLN
PLN
PLN
PLN
PLN
PLN
PLN
PLN
PLN
PLN
PLN
PLN
PLN
PLN
PLN
PLN
PLN
PLN
PLN
PLN
PLN
PLN
PLN
PLN
PLN
PLN
PLN
Śr.Miesięczne
wyszkukiwanie
Sugerowanastwaka
5400
0,74
1300
0,72
880
0,7
260
0,63
260
0,69
480
0,91
1000
0,65
2400
0,99
2400
0,66
1000
0,78
110
0,55
12100
0,71
5400
0,75
880
0,68
590
0,72
1300
0,81
90
0,48
260
0,78
8100
0,59
1000
0,82
4400
0,91
20
0,67
260
0,7
5400
1,07
2900
1,79
880
0,76
1300
0,73
40
0,42
210
0,99
260
0,81
90
0,59
210
0,69
110
0,7