uz-5-16-23-827-z - BIP Urzędu Marszałkowskiego Województwa

Transkrypt

uz-5-16-23-827-z - BIP Urzędu Marszałkowskiego Województwa
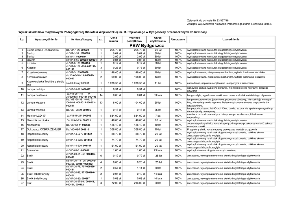
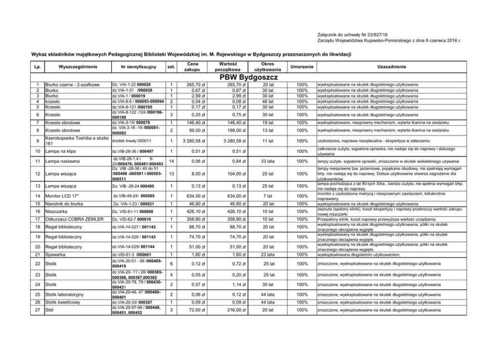
Załącznik do uchwały Nr 23/827/16
Zarządu Województwa Kujawsko-Pomorskiego z dnia 8 czerwca 2016 r.
Wykaz składników majątkowych Pedagogicznej Biblioteki Wojewódzkiej im. M. Rejewskiego w Bydgoszczy przeznaczonych do likwidacji
Lp.
Wyszczególnienie
Cena
zakupu
Wartość
początkowa
Okres
użytkowania
Nr identyfikacyjny
szt.
Umorzenie
Uzasadnienie
Dz. VIA-1-22 000020
dz.VIA-1-31 /000028
dz.VIA-1 / 000019
dz.VIA-8-6 / 000093-000094
dz.VIA-8-121 /000195
dz.VIA-8-122 -124 /000196000198
dz.VIA-3-15/ 000078
dz. VIA-3-18 -19 /000081000082
1
1
1
2
1
265,70 zł
0,67 zł
2,99 zł
0,04 zł
0,17 zł
265,70 zł
0,67 zł
2,99 zł
0,08 zł
0,17 zł
20 lat
30 lat
30 lat
46 lat
30 lat
100%
100%
100%
100%
100%
wyeksploatowane na skutek długoletniego użytkowania
wyeksploatowane na skutek długoletniego użytkowania
wyeksploatowane na skutek długoletniego użytkowania
wyeksploatowane na skutek długoletniego użytkowania
wyeksploatowane na skutek długoletniego użytkowania
3
0,25 zł
0,75 zł
30 lat
100%
wyeksploatowane na skutek długoletniego użytkowania
1
146,40 zł
146,40 zł
19 lat
100%
wyeksploatowane, niesprawny mechanizm, wytarta tkanina na siedzisku
2
99,00 zł
198,00 zł
13 lat
100%
wyeksploatowane, niesprawny mechanizm, wytarta tkanina na siedzisku
11 lat
100%
uszkodzona, naprawa nieopłacalna - ekspertyza w załaczeniu
100%
całkowicie zużyta, wypalona oprawka, nie nadaje się do naprawy i dalszego
używania
lampy zużyte, wypalone oprawki, zniszczone w skutek wieloletniego używania
PBW Bydgoszcz
1
2
3
4
5
Biurko czarne - 2-szafkowe
Biurko
Biurko
krzesło
Krzesło
6
Krzesło
7
Krzesło obrotowe
8
Krzesło obrotowe
9
Kserokopiarka Toshiba e studio
środek trwały 000011
161
1
3 280,58 zł
3 280,58 zł
10
Lampa na klips
1
0,51 zł
0,51 zł
11
Lampa nastawna
14
0,06 zł
0,84 zł
33 lata
100%
12
Lampa wisząca
13
8,00 zł
104,00 zł
25 lat
100%
13
Lampa wisząca
Dz. VIB -28-24 000495
1
0,13 zł
0,13 zł
25 lat
100%
14
Monitor LCD 17"
dz.VIB-49-24/ 000565
1
634,00 zł
634,00 zł
7 lat
100%
15
Narożnik do biurka
Dz. VIA-1-23 / 000021
1
46,80 zł
46,80 zł
20 lat
100%
16
Niszczarka
Dz. VID-61-11 000608
1
426,10 zł
426,10 zł
10 lat
100%
17
Odkurzacz COBRA ZEMLER
Dz. VID-62-7 000610
1
358,80 zł
358,80 zł
10 lat
100%
18
Regał biblioteczny
dz.VIA-14-527 / 001142
1
88,70 zł
88,70 zł
20 lat
100%
19
Regał biblioteczny
dz.VIA-14-528 / 001143
1
74,70 zł
74,70 zł
20 lat
100%
20
Regał biblioteczny
dz.VIA-14-529/ 001144
1
51,00 zł
51,00 zł
20 lat
100%
21
Spawarka
dz.VID-61-3 /000601
1
1,60 zł
1,60 zł
23 lata
100%
lampy niesprawne tzw. jarzeniowe, popękane obudowy, nie spełniają wymagań
bhp, nie nadają się do naprawy. Dalsze użytkowanie stwarza zagrożenie dla
użytkowników.
lampa pochodząca z lat 90-tych XXw., bardzo zużyta, nie spełnia wymagań bhp,
nie nadaje się do naprawy
monitor z uszkodzona matrycą i niesprawnym zasilaczem, kilkakrotnie
naprawiany
wyeksploatowane na skutek długoletniego użytkowania
zepsuta (spalony silnik), koszt ekspertyzy i naprawy przekroczy wartość zakupu
nowej niszczarki
Przepalony silnik, koszt naprawy przewyższa wartość urządzenia
wyeksploatowany na skutek długoletniego użytkowania, półki na skutek
znacznego obciążenia wygięte.
wyeksploatowany na skutek długoletniego użytkowania, półki na skutek
znacznego obciążenia wygięte.
wyeksploatowany na skutek długoletniego użytkowania, półki na skutek
znacznego obciążenia wygięte.
wyeksploatowana długoletnim użytkowaniem,
22
Stolik
6
0,12 zł
0,72 zł
25 lat
100%
zniszczone, wyeksploatowane na skutek długoletniego użytkowania
23
Stolik
4
0,05 zł
0,20 zł
25 lat
100%
zniszczone, wyeksploatowane na skutek długoletniego użytkowania
24
Stolik
2
0,57 zł
1,14 zł
30 lat
100%
zniszczone, wyeksploatowane na skutek długoletniego użytkowania
25
Stolik laboratoryjny
2
0,06 zł
0,12 zł
44 lata
100%
zniszczone, wyeksploatowane na skutek długoletniego użytkowania
26
Stolik świetlicowy
1
0,09 zł
0,09 zł
44 lata
100%
zniszczone, wyeksploatowane na skutek długoletniego użytkowania
27
Stół
3
72,00 zł
216,00 zł
20 lat
100%
zniszczone, wyeksploatowane na skutek długoletniego użytkowania
dz.VIB-28-36 / 000497
dz.VIB-28-1,4 i
920/000478; 000481-000493
Dz. VIB -28-38 i 40 do 51
/000498 -000501 i 000503000511
dz.VIA-20-51 - 56 /000405000410
dz.VIA-20- 11 i 28/ 000365000366, 000367,000382
dz.VIA-20-78, 79 / 000430000431
dz.VIA-20-46, 47 /000400000401
dz.VIA-20-33/ 000387
dz.VIA-20-97-99 / 000448,
000451, 000452
Lp.
28
Wyszczególnienie
Zestaw komputerowy
Nr identyfikacyjny
Środek trwały 000012
szt.
1
Cena
zakupu
6 606,72 zł
Razem Bydgoszcz
Lp.
Wyszczególnienie
Nr identyfikacyjny
szt.
Cena
zakupu
Wartość
początkowa
6 606,72 zł
12 507,51 zł
Wartość
początkowa
Okres
użytkowania
Umorzenie
20 lat
100%
Okres
użytkowania
Umorzenie
Uzasadnienie
20 - letni środek trwały (zakupiony w 1996 roku), całkowicie umorzony, od 10 lat
nieużywany, technicznie przestarzały, z systemem operacyjnym Windows 95
(od 31.12.2001 brak wsparcia technicznego dla tego systemu). Monitor
kineskopowy o dużym poborze mocy, który generuje silne pole
elektromagnetyczne szkodliwe dla zdrowia pracowników
Uzasadnienie
PBW FILIA W Sępólnie Krajeńskim
1
Krosownica
Dz. VIB, kto 49,p.5/ 001863
1
41,48 zł
41,48 zł
10 lat
100%
2
3
4
Lampa biurkowa
Maszyna do pisania
Maszyna do pisania
Dz VIB-28-1 /001940
Dz VIB-30-1/ 001941
Dz VIB-30-2 /001942
1
1
1
0,10 zł
0,68 zł
4,18 zł
0,10 zł
0,68 zł
4,18 zł
30 lat
Ponad 40 lat
Ponad 40 lat
100%
100%
100%
5
Materiały do budowy sieci
Dz. VIB, kto 49,p.7/001865
1
305,00 zł
305,00 zł
10 lat
100%
6
Obraz
7
Radiomagnetofon
8
Regały na książki
9
Sieć intern.
Szafka ESTAP
10
Dz. VIC-50-1/Dz. VIC-50001949
Dz III-5-5/001856
Dz VIA-14-1-33/001883001915
1
18,90 zł
18,90 zł
23 lata
100%
reprodukcja zniszczona, wypłowiała, uszkodzona w trakcie przeprowadzki
1
137,50 zł
137,50 zł
25 lat
100%
33
0,16 zł
5,28 zł
ponad 50 lat
100%
Dz. VIB, kto 49,p.8 /001866
1
610,00 zł
610,00 zł
10 lat
100%
Dz. VIB, kto 49,p.6/001864
1
71,98 zł
71,98 zł
10 lat
100%
zepsute, brak części zamiennych, naprawa nieuzasadniona ekonomicznie
regały z lat sześćdziesiątych ubiegłego wieku, wyeksploatowane na skutek
długoletniego użytkowania, rozklejone, zużyte, zniszczone
trwale związana z konstrukcją budynku, ubytkowanie w związku ze zmianą
siedziby filii, brak możliwości demontażu
urządzenie przestarzałe, nie spełniające warunków technicznych obecnego
dostawcy Internetu
Okres
użytkowania
Umorzenie
Razem Sępólno Krajeńskie
Lp.
Wyszczególnienie
urządzenie przestarzałe, nie spełniające warunków technicznych obecnego
dostawcy Internetu
zniszczona, nie nadaje się do naprawy
niesprawna, nieużywana w związku z brakiem części zamiennych do naprawy
niesprawna, nieużywana w związku z brakiem części zamiennych do naprawy
materiały trwale związane z konstrukcją budynku, ubytkowanie w związku ze
zmianą siedziby filii, brak możliwości demontażu.
Nr identyfikacyjny
szt.
Cena
zakupu
1 195,10 zł
Wartość
początkowa
Uzasadnienie
PBW FILIA W ŚWIECIU
1
2
Fotel szary
Stolik
Dz. VIA-3-1-4/002387002390
Dz. VIA-20-2-6/002533002537
4
0,08 zł
5
0,04 zł
Razem Świecie
Lp.
Wyszczególnienie
Nr identyfikacyjny
szt.
Cena
zakupu
0,32 zł
30 lat
100%
0,20 zł
30 lat
100%
Okres
użytkowania
Umorzenie
0,52 zł
Wartość
początkowa
sprzęt z lat osiemdziesiątych ubiegłego wieku, wyeksploatowany na skutek
długoletniego użytkowania
sprzęt z lat osiemdziesiątych ubiegłego wieku, wyeksploatowany na skutek
długoletniego użytkowania
Uzasadnienie
PBW FILIA W ŻNINIE
1
Lampa biurowa
Dz.VI B k. 26/ 001503001504
2
Stolik radiowo-telewizyjny
Dz.VI A k. 20 / 001500
1
0,08 zł
0,08 zł
45 lat
100%
3
Stolik świetlicowy
Dz.VI A k. 20 /001498
1
0,05 zł
0,05 zł
40 lat
100%
Razem Żnin
2
0,18 zł
0,36 zł
35 lat
100%
0,49 zł
sprzęt z lat osiemdziesiątych ubiegłego wieku, wyeksploatowany na skutek
długoletniego użytkowania
sprzęt z lat siedemdziesiątych ubiegłego wieku, wyeksploatowany na skutek
długoletniego użytkowania
sprzęt z lat siedemdziesiątych ubiegłego wieku, wyeksploatowany na skutek
długoletniego użytkowania
Lp.
Wyszczególnienie
Nr identyfikacyjny
szt.
Cena
zakupu
Wartość
początkowa
Okres
użytkowania
Umorzenie
Uzasadnienie
PBW FILIA W MOGILNIE
1
Ekran projekcyjny
Dz. III/1-7 / 002072
1
2,00 zł
2
Maszyna do pisania
Razem Mogilno
Dz. VIB kto 30-4/ 002186
1
210,00 zł
Łączna kwota
2,00 zł
27 lat
100%
210,00 zł
23 lata
100%
212,00 zł
13 915,62 zł
zniszczony mechanizm zwijający, tkanina poplamiona, w kliku miejscach podarta
w wyniku wieloletniego używania
maszyna nieużyteczna, zostanie przekazana do zbiorów muzealnych jako
eksponat.