Technika rolnicza

Transkrypt

Technika rolnicza
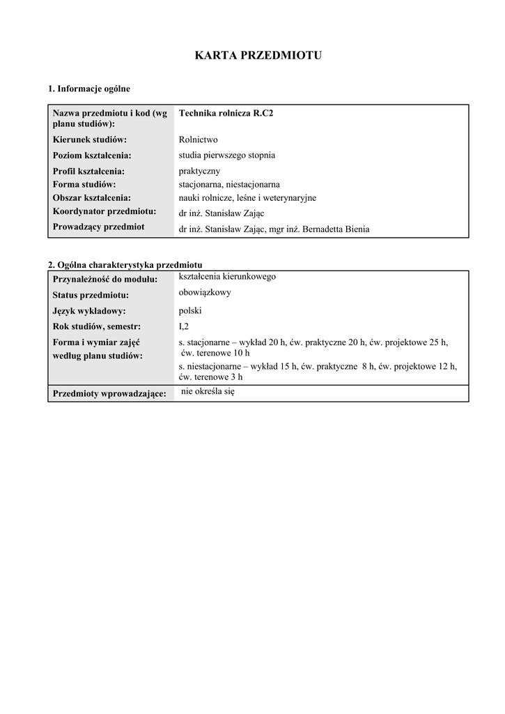
KARTA PRZEDMIOTU
1. Informacje ogólne
Nazwa przedmiotu i kod (wg
planu studiów):
Technika rolnicza R.C2
Kierunek studiów:
Rolnictwo
Poziom kształcenia:
studia pierwszego stopnia
Profil kształcenia:
Forma studiów:
Obszar kształcenia:
Koordynator przedmiotu:
praktyczny
stacjonarna, niestacjonarna
nauki rolnicze, leśne i weterynaryjne
Prowadzący przedmiot
dr inż. Stanisław Zając, mgr inż. Bernadetta Bienia
dr inż. Stanisław Zając
2. Ogólna charakterystyka przedmiotu
kształcenia kierunkowego
Przynależność do modułu:
Status przedmiotu:
obowiązkowy
Język wykładowy:
polski
Rok studiów, semestr:
I,2
Forma i wymiar zajęć
według planu studiów:
s. stacjonarne – wykład 20 h, ćw. praktyczne 20 h, ćw. projektowe 25 h,
ćw. terenowe 10 h
s. niestacjonarne – wykład 15 h, ćw. praktyczne 8 h, ćw. projektowe 12 h,
ćw. terenowe 3 h
nie określa się
Przedmioty wprowadzające:
A. Liczba godzin wymagających
bezpośredniego udziału nauczyciela z
podziałem na typy zajęć oraz całkowita liczba
punktów ECTS osiąganych na tych zajęciach
B. Poszczególne typy zadań do
samokształcenia studenta (niewymagających
bezpośredniego udziału nauczyciela) wraz z
planowaną średnią liczbą godzin na każde i
sumaryczną liczbą ECTS
C. Liczba godzin
praktycznych/laboratoryjnych w ramach
przedmiotu oraz związana z tym liczba
punktów ECTS
niestacjonarne
6
stacjonarne
3. Bilans punktów ECTS
Całkowita liczba punktów ECTS
Wykład
Ćwiczenia praktyczne
Ćwiczenia projektowe
Ćwiczenia terenowe
Egzamin
Konsultacje
Zaliczenie
W sumie:
ECTS
Przygotowanie do egzaminu
Przygotowanie do ćwiczeń praktycznych
Wykonanie projektu
Przygotowanie do ćwiczeń terenowych
Przygotowanie sprawozdania z ćwiczeń
terenowych
W sumie:
ECTS
20
20
25
10
3
15
4
97
3,2
16
30
31
4
15
8
12
3
3
10
2
53
1,8
28
45
48
4
2
83
2,8
2
127
4,2
Ćwiczenia praktyczne
Ćwiczenia projektowe
Ćwiczenia terenowe
Przygotowanie do ćwiczeń praktycznych
Wykonanie projektu
Przygotowanie do ćwiczeń terenowych
Przygotowanie sprawozdania z ćwiczeń
terenowych
W sumie:
ECTS
20
25
10
30
31
4
8
12
3
45
48
4
2
122
4,1
2
122
4,1
4. Opis przedmiotu
Cel przedmiotu:
Celem przedmiotu jest zapoznanie studentów z podstawową wiedzą z zakresu techniki rolniczej oraz
wykształcenie umiejętności zastosowania zdobytej wiedzy w praktyce.
Metody dydaktyczne:
 wykład multimedialny,
 ćwiczenia praktyczne,
 metoda projektów,
 ćwiczenia terenowe
Treści kształcenia
Wykłady:
1. Znaczenie techniki w rolnictwie. Podział sprzętu rolniczego. Ciągnik rolniczy - budowa ogólna,
2. Maszyny do uprawy i doprawiania gleby. Przegląd maszyn i nowoczesnych metod mechanizowania
prac,
3. Maszyny do nawożenia (rozsiewacze nawozów, roztrząsacze obornika, wozy asenizacyjne). Środki
transportowe,
4. Maszyny do siewu, sadzenia. Przegląd maszyn i nowoczesnych metod mechanizowania prac,
5. Maszyny do pielęgnacji i ochrony roślin. Agregaty do upraw międzyrzędowych. Przegląd maszyn i
nowoczesnych metod mechanizowania prac,
6. Mechanizacja zbioru roślin paszowych. Przegląd maszyn i nowoczesnych metod mechanizowania prac,
7. Mechanizacja zbioru zbóż. Charakterystyka wybranych typów kombajnów zbożowych. Maszyny do
młócenia, czyszczenia, suszenia, sortowania,
8. Mechanizacja zbioru roślin okopowych. Przegląd maszyn i nowoczesnych metod mechanizowania
prac,
9. Maszyny i urządzenia stosowane w przechowalnictwie
10. Urządzenia do nawadniania,
11. Mechanizacja w rolnictwie precyzyjnym,
12. Urządzenia mechaniczne w produkcji zwierzęcej. Automatyzacja procesów produkcyjnych,
Ćwiczenia praktyczne
1. Obliczanie oporów narzędzi i maszyn rolniczych podczas pracy. Dobór ciągnika rolniczego do
maszyny na podstawie uzyskanych wyników,
2. Dobór parametrów pracy agregatu maszynowego na podstawie bilansu mocy silnika ciągnikowego.
Ocena zużycia paliwa w pracach polowych,
3. Kalkulacja kosztów eksploatacji maszyn i ciągników rolniczych. Dobór ciągnika do gospodarstwa
rolnego,
4. Wyznaczanie wydajności i dobór zestawów maszynowych do prac uprawowo-siewnych i
pielęgnacyjnych,
5. Wyznaczanie wydajności i dobór zestawów maszynowych do zbioru ziemiopłodów,
6. Projektowanie zestawu maszyn w gospodarstwie rolnym metodami: technologiczną, wskaźnikową i
współczynnikową,
7. Ustalanie kompleksowych mechanizacji prac polowych w gospodarstwach rolnych.
Ćwiczenia projektowe
1. Zaprojektowanie przykładowego procesu technologicznego w gospodarstwie:
Wprowadzenie danych wyjściowych, opracowanie założeń agrotechnicznych karty technologicznej,
wstępny dobór asortymentu maszyn na podstawie katalogów, obliczenia energetyczne, określenie
wydajności i dobór liczby maszyn potrzebnych do realizacji projektowanego procesu technologicznego,
ocena doboru zestawu maszyn pod względem energochłonności i kosztów realizacji projektowanego
procesu technologicznego,
2. Analiza projektu, ustalenie i interpretacja wniosków końcowych.
Ćwiczenia terenowe
1. Agregatowanie ciągnika rolniczego z maszynami rolniczymi,
2. Wykonywanie orki pługiem zagonowym i obracalnym; porównanie i ocena jakości wykonania orki,
3. Ustawianie parametrów pracy wybranych maszyn rolniczych stosowanych w produkcji roślinnej,
4. Ustawianie parametrów pracy wybranych maszyn i urządzeń stosowanych w produkcji zwierzęcej.
5. Efekty kształcenia i sposoby weryfikacji
Efekty kształcenia
Efekt
przedmiotu
Student, który zaliczył przedmiot
R.C2_K_W01
Wiedza:
Zna podstawowe maszyny i urządzenia rolnicze oraz metody
mechanizacji prac polowych
R.C2_K_W02
Zna podstawowe urządzenia mechaniczne stosowane w produkcji
zwierzęcej
R.C2_K_W03
Zna podstawowe zagadnienia eksploatacji maszyn rolniczych
Efekt
kierunkowy
K_W05
K_W08
InzP_W03
K_W05
K_W08
InzP_W03
K_W05
InzP_W03
R.C2_K_U01
Umiejętności:
Sporządza projekt parku maszynowego w gospodarstwie rolnym
K_U04
InzP_U02
R.C2_K_U02
Oblicza podstawowe charakterystyki eksploatacji ciągników i maszyn
rolniczych
R.C2_K_U03
Potrafi dokonać regulacji wybranych maszyn rolniczych
R.C2_K_K01
R.C2_K_K02
Kompetencje społeczne:
Potrafi pracować w grupie
Wskazuje priorytety służące realizacji powierzonego zadania
K_U07
K_U06
InzP_U02
InzP_U03
InzP_U05
InzP_U12
K_U09
InzP_U10
K_K02
K_K04
Sposoby weryfikacji efektów kształcenia:
Ocena formująca
1
Efekt
Sposób weryfikacji
przedmiotu
R.C2_K_W01 Egzamin pisemny ograniczony czasowo
2
R.C2_K_W02 Egzamin pisemny ograniczony czasowo
Ocena cząstkowa Ocena
końcowa
z egzaminu
z egzaminu
3
R.C2_K_W03 Kolokwium z ćwiczeń praktycznych
4
R.C2_K_U01
Merytoryczna ocena projektu
5
R.C2_K_U02
Kolokwium z ćwiczeń praktycznych
6
R.C2_K_U03
Sprawozdanie z ćwiczeń terenowych
7
R.C2_K_K01
Obserwacja
8
R.C2_K_K02
Projekt grupowy
Ocena cząstkowa
z kolokwium
Cząstkowa ocena z
zaliczenia projektu
grupowego,
Ocena cząstkowa
z kolokwium
Ocena
ze
sprawozdania
Ocena
zaangażowania w
pracę zespołową
Terminowość
Lp.
Ocena końcowa
Ocena cząstkowa Ocena
końcowa
z egzaminu
z egzaminu
Ocena końcowa
kolokwium
Ocena końcowa
projektu
Na ocenę 3,0
Na ocenę 5,0
Na ocenę 3,0
Na ocenę 5,0
Na ocenę 3,0
Na ocenę 5,0
Wymienia maszyny i urządzenia rolnicze oraz metody
mechanizacji prac polowych
Wymienia i opisuje maszyny i urządzenia rolnicze oraz metody
mechanizacji prac polowych
Wymienia urządzenia mechaniczne stosowane w produkcji
zwierzęcej
Wymienia i opisuje urządzenia mechaniczne stosowane w
produkcji zwierzęcej
Zna podstawowe zagadnienia eksploatacji maszyn rolniczych
Zna i interpretuje podstawowe zagadnienia eksploatacji maszyn
rolniczych
z
Ocena końcowa z
kolokwium
Ocena
ze
sprawozdania
Ocena
zaangażowania
w
pracę zespołową
Ocena końcowa z
projektu
Kryteria oceny
w zakresie wiedzy
z
Efekt
kształcenia
R.C2_K_W01
R.C2_K_W01
R.C2_K_W02
R.C2_K_W02
R.C2_K_W03
R.C2_K_W03
w zakresie umiejętności
Na ocenę 3,0
Na ocenę 5,0
Na ocenę 3,0
Na ocenę 5,0
Na ocenę 3,0
Na ocenę 5,0
Sporządza projekt parku maszynowego w gospodarstwie rolnym
nie dokumentując poszczególnych etapów wykonywania
projektu
Sporządza projekt parku maszynowego w gospodarstwie rolnym
dokumentując poszczególne etapy wykonywania projektu
Oblicza podstawowe charakterystyki eksploatacji ciągników i
maszyn rolniczych, ale ich nie interpretuje
Oblicza podstawowe charakterystyki eksploatacji ciągników i
maszyn rolniczych i potrafi je zinterpretować
Potrafi dokonać regulacji wybranych maszyn rolniczych przy
pomocy prowadzącego
Samodzielnie potrafi dokonać regulacji wybranych maszyn
rolniczych
R.C2_K_U01
R.C2_K_U01
R.C2_K_U02
R.C2_K_U02
R.C2_K_U03
R.C2_K_U03
w zakresie kompetencji społecznych
Na ocenę 3,0
Na ocenę 5,0
Na ocenę 3,0
Na ocenę 5,0
Student współpracuje z członkami zespołu w trakcie realizacji
powierzonych mu zadań, ale pod kontrolą prowadzącego
Student samodzielnie i chętnie współpracuje z członkami
zespołu w trakcie realizacji powierzonych mu zadań,
Student projekt oddaje w terminie ostatecznym, zgodnie z
zasadami projektowania, jest on nacechowany naśladownictwem
Student projekt oddaje terminowo, zgodnie z zasadami
projektowania
R.C2_K_K01
R.C2_K_K01
R.C2_K_K02
R.C2_K_K02
Kryteria oceny końcowej
Zaliczenie ćwiczeń:
Ocena z kolokwium z ćwiczeń praktycznych 20%
Ocena z projektu 50%
Aktywność na zajęciach 20%
Ocena ze sprawozdania z ćwiczeń terenowych 10%
Zaliczenie egzaminu:
Ocena z egzaminu pisemnego 100%
Zalecana literatura
Literatura podstawowa
1. Kuczewski J., Waszkiewicz Cz. 2007. Mechanizacja rolnictwa. Tom II. Maszyny i urządzenia do produkcji
roślinnej i zwierzęcej. Wydawnictwo SGGW. Warszawa,
2. Kufel K., Błażejczak D., Jurga J. 2002. Maszyny i urządzenia rolnicze [materiały do ćwiczeń], Wyd. AR,
Szczecin.
Literatura uzupełniająca
1. Katalog maszyn rolniczych [Dokument elektroniczny]. 2004. Producenci, dystrybutorzy, Wyd. IBMER
Warszawa,
2. Czasopisma: „Problemy inżynierii rolniczej”, „Przegląd techniki rolniczej i leśnej”, „Technika
rolnicza”,”Technika”, „Agrotechnika”, „Zagadnienia eksploatacji maszyn”,
3. Mazalewski A. 2005. Koszty eksploatacji maszyn, Wyd. IBMER, Warszawa.
Informacje dodatkowe:
Dodatkowe obowiązki prowadzącego wraz z szacowaną całkowitą liczbą godzin:
Ocena prac projektowych – 20 godzin
Przygotowanie i ocena egzaminu – 5 godzin
Aktualizacja treści prezentacji z wykładów i ćwiczeń – 10 godzin
Przygotowanie projektu zaliczeniowego – 10 godzin
W sumie: 45 godzin