pobierz - urząd miasta w jaśle

Transkrypt

pobierz - urząd miasta w jaśle
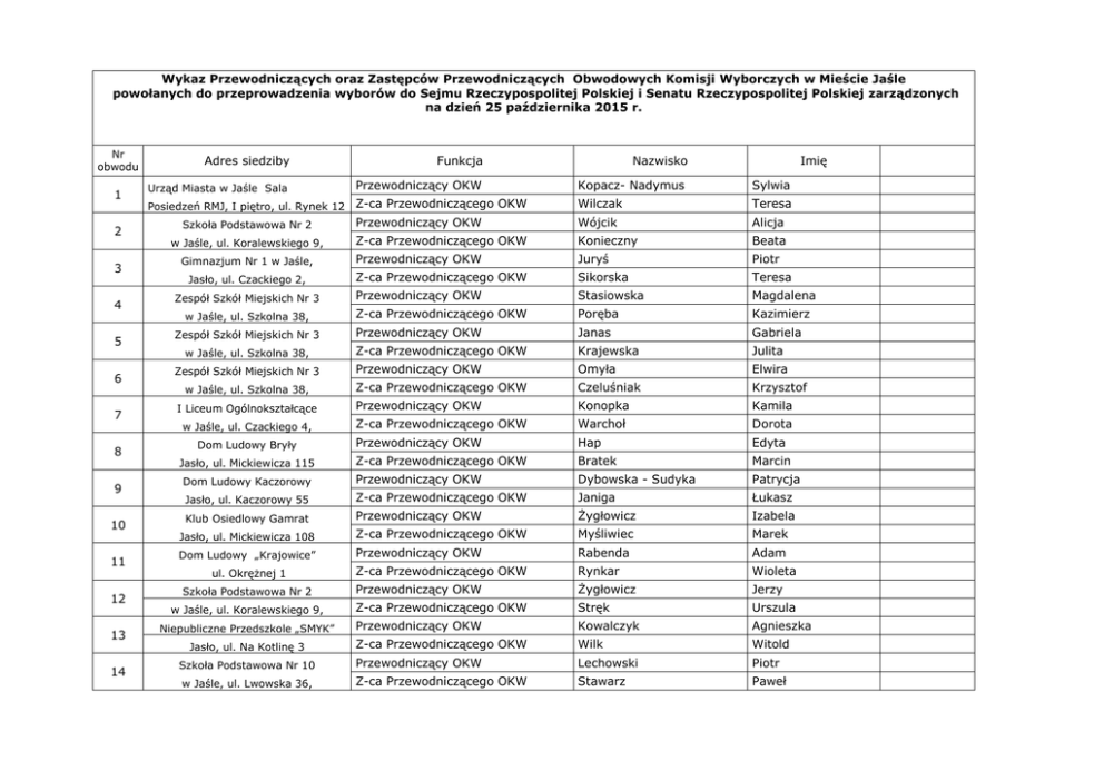
Wykaz Przewodniczących oraz Zastępców Przewodniczących Obwodowych Komisji Wyborczych w Mieście Jaśle
powołanych do przeprowadzenia wyborów do Sejmu Rzeczypospolitej Polskiej i Senatu Rzeczypospolitej Polskiej zarządzonych
na dzień 25 października 2015 r.
Nr
obwodu
1
2
3
4
5
6
7
8
9
10
11
12
13
14
Adres siedziby
Funkcja
Nazwisko
Urząd Miasta w Jaśle Sala
Przewodniczący OKW
Kopacz- Nadymus
Sylwia
Wilczak
Teresa
Wójcik
Alicja
Konieczny
Beata
Przewodniczący OKW
Juryś
Piotr
Z-ca Przewodniczącego OKW
Sikorska
Teresa
Przewodniczący OKW
Stasiowska
Magdalena
Z-ca Przewodniczącego OKW
Poręba
Kazimierz
Przewodniczący OKW
Janas
Gabriela
Z-ca Przewodniczącego OKW
Krajewska
Julita
Przewodniczący OKW
Omyła
Elwira
Z-ca Przewodniczącego OKW
Czeluśniak
Krzysztof
Przewodniczący OKW
Konopka
Kamila
Z-ca Przewodniczącego OKW
Warchoł
Dorota
Przewodniczący OKW
Hap
Edyta
Z-ca Przewodniczącego OKW
Bratek
Marcin
Dom Ludowy Kaczorowy
Przewodniczący OKW
Dybowska - Sudyka
Patrycja
Jasło, ul. Kaczorowy 55
Z-ca Przewodniczącego OKW
Janiga
Łukasz
Klub Osiedlowy Gamrat
Przewodniczący OKW
Żygłowicz
Izabela
Jasło, ul. Mickiewicza 108
Z-ca Przewodniczącego OKW
Myśliwiec
Marek
Dom Ludowy „Krajowice”
Przewodniczący OKW
Rabenda
Adam
Z-ca Przewodniczącego OKW
Rynkar
Wioleta
Przewodniczący OKW
Żygłowicz
Jerzy
Z-ca Przewodniczącego OKW
Stręk
Urszula
Przewodniczący OKW
Kowalczyk
Agnieszka
Z-ca Przewodniczącego OKW
Wilk
Witold
Szkoła Podstawowa Nr 10
Przewodniczący OKW
Lechowski
Piotr
w Jaśle, ul. Lwowska 36,
Z-ca Przewodniczącego OKW
Stawarz
Paweł
Posiedzeń RMJ, I piętro, ul. Rynek 12 Z-ca Przewodniczącego OKW
Przewodniczący OKW
Szkoła Podstawowa Nr 2
Z-ca Przewodniczącego OKW
w Jaśle, ul. Koralewskiego 9,
Gimnazjum Nr 1 w Jaśle,
Jasło, ul. Czackiego 2,
Zespół Szkół Miejskich Nr 3
w Jaśle, ul. Szkolna 38,
Zespół Szkół Miejskich Nr 3
w Jaśle, ul. Szkolna 38,
Zespół Szkół Miejskich Nr 3
w Jaśle, ul. Szkolna 38,
I Liceum Ogólnokształcące
w Jaśle, ul. Czackiego 4,
Dom Ludowy Bryły
Jasło, ul. Mickiewicza 115
ul. Okrężnej 1
Szkoła Podstawowa Nr 2
w Jaśle, ul. Koralewskiego 9,
Niepubliczne Przedszkole „SMYK”
Jasło, ul. Na Kotlinę 3
Imię
15
16
17
18
19
20
21
22
23
24
25
26
27
28
29
Dom Ludowy Hankówka
Przewodniczący OKW
Zabawa
Agnieszka
Jasło, ul. Hankówka 109
Z-ca Przewodniczącego OKW
Twarduś
Józef
Przewodniczący OKW
Janiga- Szeleszkiewicz
Anna
Z-ca Przewodniczącego OKW
Marecki
Ryszard
Zespół Szkół Miejskich Nr 5
Przewodniczący OKW
Buba
Krzysztof
w Jaśle, ul. Sobniowska 58,
Z-ca Przewodniczącego OKW
Myśliwiec
Alicja
Zespół Szkół Technicznych
Przewodniczący OKW
Rączka
Anna
w Jaśle, ul. Staszica 30,
Z-ca Przewodniczącego OKW
Szerszeń
Wiesław
Szkoła Podstawowa Nr 4
Przewodniczący OKW
Szatkowski
Wojciech
Z-ca Przewodniczącego OKW
Wójcik - Biel
Izabela
Przewodniczący OKW
Mastej
Dorota
Z-ca Przewodniczącego OKW
Szopa
Jolanta
Przewodniczący OKW
Kędra
Elżbieta
Z-ca Przewodniczącego OKW
Jodłowska
Magdalena
Szkoła Podstawowa Nr 4
Przewodniczący OKW
Nigborowicz
Łukasz
w Jaśle, ul. Kopernika 8a
Z-ca Przewodniczącego OKW
Wójcik
Bogusława
Szkoła Podstawowa Nr 4
Przewodniczący OKW
Klich
Tomasz
w Jaśle, ul. Kopernika 8a
Z-ca Przewodniczącego OKW
Klich
Iwona
Przewodniczący OKW
Krokowska
Jolanta
Z-ca Przewodniczącego OKW
Fortuna
Adam
Zespół Szkół Miejskich Nr 1
Przewodniczący OKW
Wojciechowska
Anna
w Jaśle, ul. Rafineryjna 3a,
Z-ca Przewodniczącego OKW
Rząca
Magdalena
Zespół Szkół Miejskich Nr 1
Przewodniczący OKW
Ostalecka
Anna
w Jaśle, ul. Rafineryjna 3a,
Z-ca Przewodniczącego OKW
Kluz
Maria
Dom Ludowy Niegłowice
Przewodniczący OKW
Jagielski
Maciej
Jasło, ul. Niegłowicka 27
Z-ca Przewodniczącego OKW
Warchoł
Danuta
Przewodniczący OKW
Matysik
Edyta
Z-ca Przewodniczącego OKW
Lazar - Olbrot
Małgorzata
Przewodniczący OKW
Fortuna
Katarzyna
Z-ca Przewodniczącego OKW
Dziadosz
Renata
Szkoła Podstawowa Nr 7 w Jaśle,
ul. Św. Jana z Dukli 94,
w Jaśle, ul. W. Pola 9
Zespół Szkół Technicznych
w Jaśle, ul. Staszica 30,
MOSiR w Jaśle,
ul. Sikorskiego 15,
Zespół Szkół Technicznych
w Jaśle, ul. Staszica 30,
Szpital Specjalistyczny w Jaśle,
ul. Lwowska 22,
Szpital Specjalistyczny w Jaśle,
ul.Za Bursą 1,