REGRESJA WIELORAKA Szukamy parametrów prostej regresji + ++

Transkrypt

REGRESJA WIELORAKA Szukamy parametrów prostej regresji + ++
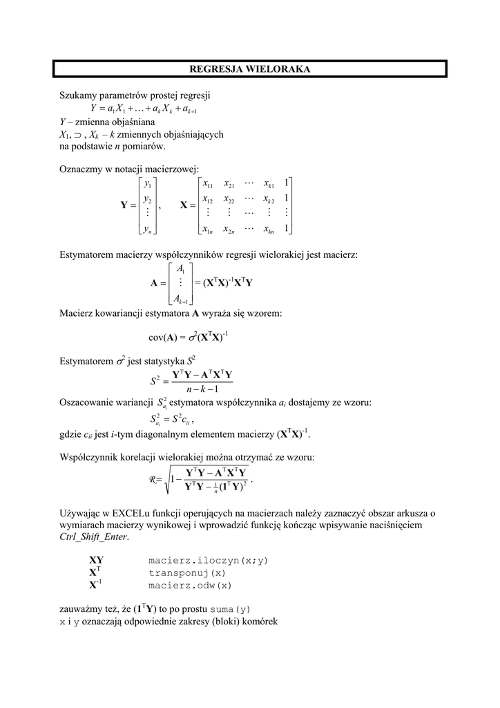
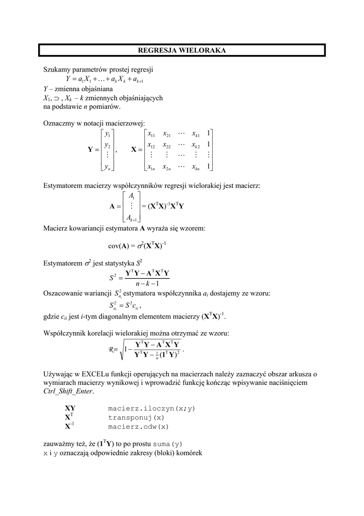
REGRESJA WIELORAKA
Szukamy parametrów prostej regresji
Y = a1 X 1 + K + ak X k + ak +1
Y – zmienna objaśniana
X1, …, Xk – k zmiennych objaśniających
na podstawie n pomiarów.
Oznaczmy w notacji macierzowej:
 y1 
 x11
y 
x
2

Y=
,
X =  12
M
 M
 

 yn 
 x1n
x21 L xk1 1
x22 L xk 2 1
M L M M

x2 n L xkn 1
Estymatorem macierzy współczynników regresji wielorakiej jest macierz:
 A1 
A =  M  = (XTX)-1XTY
 Ak +1 
Macierz kowariancji estymatora A wyraŜa się wzorem:
cov(A) = σ2(XTX)-1
Estymatorem σ2 jest statystyka S2
Y T Y − A T XT Y
S2 =
n − k −1
2
Oszacowanie wariancji S ai estymatora współczynnika ai dostajemy ze wzoru:
S a2i = S 2cii ,
gdzie cii jest i-tym diagonalnym elementem macierzy (XTX)-1.
Współczynnik korelacji wielorakiej moŜna otrzymać ze wzoru:
R = 1−
Y T Y − A T XT Y
.
Y T Y − 1n (1T Y) 2
UŜywając w EXCELu funkcji operujących na macierzach naleŜy zaznaczyć obszar arkusza o
wymiarach macierzy wynikowej i wprowadzić funkcję kończąc wpisywanie naciśnięciem
Ctrl_Shift_Enter.
XY
XT
X-1
macierz.iloczyn(x;y)
transponuj(x)
macierz.odw(x)
zauwaŜmy teŜ, Ŝe (1TY) to po prostu suma(y)
x i y oznaczają odpowiednie zakresy (bloki) komórek
UŜycie funkcji reglinp: po zaznaczeniu zakresu k+1 × 3 komórek wstawić funkcję
reglinp(y;x;;prawda)
kończąc jej wprowadzanie przez naciśnięcie Ctrl_Shift_Enter
Wyniki pojawiają się w tabeli:
Ak-1
S ak −1
Ak
S ak
…
…
A2
S a2
A1
S a1
Ak+1
S ak +1
R2
Uwaga: naleŜy zwrócić uwagę na kolejność indeksów!
Przedziały ufności dla współczynników regresji wielorakiej
Granice przedziałów ufności:
A1 − S ai t (1 − α / 2, n − k − 1) < a i < Ai + S ai t (1 − α / 2, n − k − 1)
Test istotności dla współczynników regresji wielorakiej
H0:
ai = ai*
statystyka testowa:
H1:
ai < ai*
H1:
ai > a
H1:
ai ≠ a
*
i
*
i
t (1 − α , n − k − 1)
t (1 − α / 2, n − k − 1)
t=
Ai − ai*
S ai
W = (− ∞,−t (1 − α , n − k − 1)
W = t (1 − α , n − k − 1),+∞ )
W = (− ∞, t (1 − α / 2, n − k − 1) ∪ t (1 − α / 2, n − k − 1),+∞ )
rozkład.t.odw(2*alfa;n-k-1)
rozkład.t.odw(alfa;n-k-1)

Podobne dokumenty