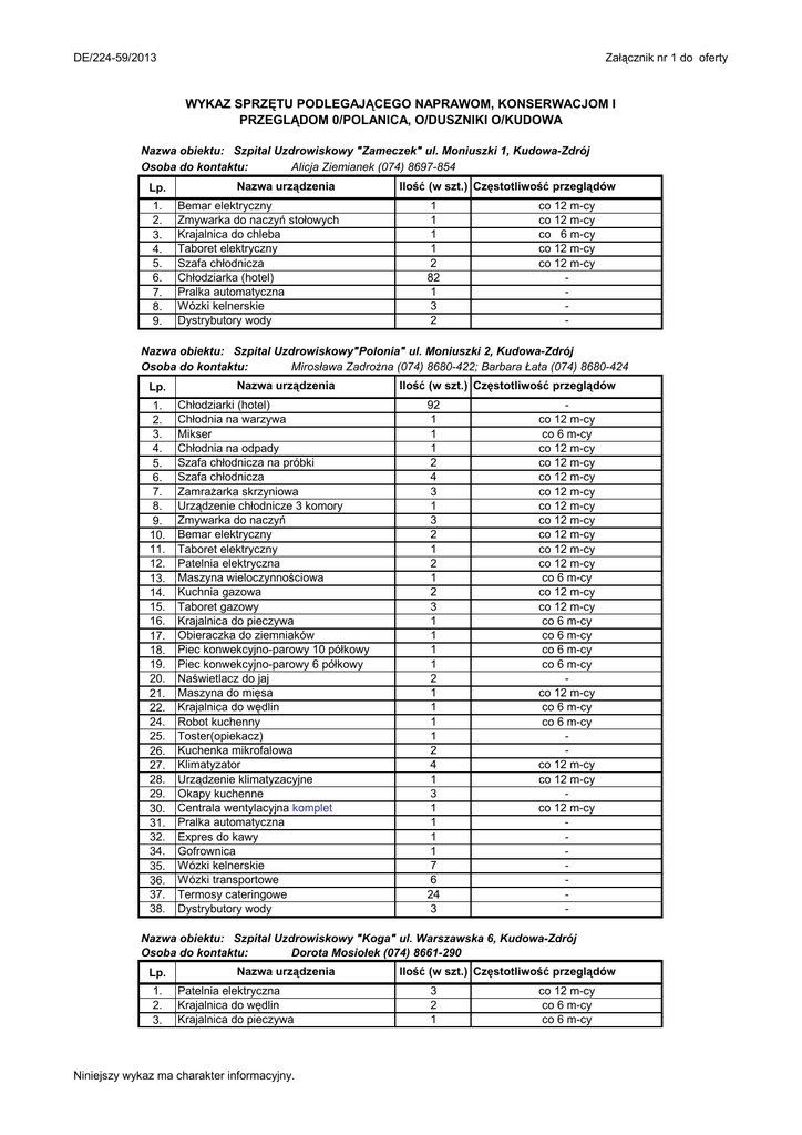
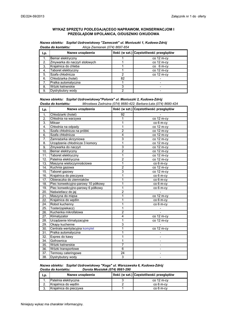
WYKAZ SPRZĘTU PODLEGAJĄCEGO NAPRAWOM

Transkrypt

WYKAZ SPRZĘTU PODLEGAJĄCEGO NAPRAWOM
DE/224-59/2013
Załącznik nr 1 do oferty
WYKAZ SPRZĘTU PODLEGAJĄCEGO NAPRAWOM, KONSERWACJOM I
PRZEGLĄDOM 0/POLANICA, O/DUSZNIKI O/KUDOWA
Nazwa obiektu: Szpital Uzdrowiskowy "Zameczek" ul. Moniuszki 1, Kudowa-Zdrój
Alicja Ziemianek (074) 8697-854
Osoba do kontaktu:
Lp.
1.
2.
3.
4.
5.
6.
7.
8.
9.
Nazwa urządzenia
Bemar elektryczny
Zmywarka do naczyń stołowych
Krajalnica do chleba
Taboret elektryczny
Szafa chłodnicza
Chłodziarka (hotel)
Pralka automatyczna
Wózki kelnerskie
Dystrybutory wody
Ilość (w szt.) Częstotliwość przeglądów
1
1
1
1
2
82
1
3
2
co 12 m-cy
co 12 m-cy
co 6 m-cy
co 12 m-cy
co 12 m-cy
-
Nazwa obiektu: Szpital Uzdrowiskowy"Polonia" ul. Moniuszki 2, Kudowa-Zdrój
Osoba do kontaktu:
Mirosława ZadroŜna (074) 8680-422; Barbara Łata (074) 8680-424
Lp.
1.
2.
3.
4.
5.
6.
7.
8.
9.
10.
11.
12.
13.
14.
15.
16.
17.
18.
19.
20.
21.
22.
24.
25.
26.
27.
28.
29.
30.
31.
32.
34.
35.
36.
37.
38.
Nazwa urządzenia
Chłodziarki (hotel)
Chłodnia na warzywa
Mikser
Chłodnia na odpady
Szafa chłodnicza na próbki
Szafa chłodnicza
ZamraŜarka skrzyniowa
Urządzenie chłodnicze 3 komory
Zmywarka do naczyń
Bemar elektryczny
Taboret elektryczny
Patelnia elektryczna
Maszyna wieloczynnościowa
Kuchnia gazowa
Taboret gazowy
Krajalnica do pieczywa
Obieraczka do ziemniaków
Piec konwekcyjno-parowy 10 półkowy
Piec konwekcyjno-parowy 6 półkowy
Naświetlacz do jaj
Maszyna do mięsa
Krajalnica do wędlin
Robot kuchenny
Toster(opiekacz)
Kuchenka mikrofalowa
Klimatyzator
Urządzenie klimatyzacyjne
Okapy kuchenne
Centrala wentylacyjna komplet
Pralka automatyczna
Expres do kawy
Gofrownica
Wózki kelnerskie
Wózki transportowe
Termosy cateringowe
Dystrybutory wody
Ilość (w szt.) Częstotliwość przeglądów
92
1
1
1
2
4
3
1
3
2
1
2
1
2
3
1
1
1
1
2
1
1
1
1
2
4
1
3
1
1
1
1
7
6
24
3
co 12 m-cy
co 6 m-cy
co 12 m-cy
co 12 m-cy
co 12 m-cy
co 12 m-cy
co 12 m-cy
co 12 m-cy
co 12 m-cy
co 12 m-cy
co 12 m-cy
co 6 m-cy
co 12 m-cy
co 12 m-cy
co 6 m-cy
co 6 m-cy
co 6 m-cy
co 6 m-cy
co 12 m-cy
co 6 m-cy
co 6 m-cy
co 12 m-cy
co 12 m-cy
co 12 m-cy
-
Nazwa obiektu: Szpital Uzdrowiskowy "Koga" ul. Warszawska 6, Kudowa-Zdrój
Osoba do kontaktu:
Dorota Mosiołek (074) 8661-290
Lp.
1.
2.
3.
Nazwa urządzenia
Patelnia elektryczna
Krajalnica do wędlin
Krajalnica do pieczywa
Niniejszy wykaz ma charakter informacyjny.
Ilość (w szt.) Częstotliwość przeglądów
3
2
1
co 12 m-cy
co 6 m-cy
co 6 m-cy
DE/224-59/2013
4.
5.
6.
7.
8.
9.
10.
11.
12.
13.
14.
15.
16.
17.
18.
19.
20.
21.
22.
23.
Załącznik nr 1 do oferty
Piekarnik elektryczny
Taboret gazowy
Kuchnia gazowa
Obieraczka do ziemniaków
Zmywarka do naczyń
ZamraŜarka
Chłodziarka
Komora chłodnicza
Piec konwekcyjno-parowy
Pralka automatyczna
Chłodnia
Naświetlacz do jaj
Maszyna gastronomiczna
Maszynka do mielenia mięsa
Kuchenka mikrofalowa
Cłodziarki (hotel)
Okap kuchenny
Dystrybutor wody
Wózek transportowy
Termosy cateringowe
2
2
2
1
1
6
3
1
1
1
1
1
1
1
1
2
2
1
2
20
co 12 m-cy
co 12 m-cy
co 12 m-cy
co 6 m-cy
co 12 m-cy
co 12 m-cy
co 12 m-cy
co 12 m-cy
co 6 m-cy
co 12 m-cy
co 12 m-cy
co 12 m-cy
-
Nazwa obiektu: Szpital Uzdrowiskowy "Zacisze" ul. Słowackiego 12, Kudowa-Zdrój
Osoba do kontaktu:
Dorota Mosiołek (074) 8667-470
Nazwa urządzenia
Ilość (w szt.) Częstotliwość przeglądów
Lp.
1
co 12 m-cy
1. Chłodnia
1
co 12 m-cy
2. Kuchnia gazowa
co 12 m-cy
3. Bemar
1
1
4. Kuchnia mikrofalowa
1
co 12 m-cy
5. Zmywarka
4
6. Chłodziarka (hotel)
1
7. Pralka automatyczna
1
8. Dystrybutor wody
2
9. Wózek kelnerski
2
10. Wózek transportowy
1
11. Okap kuchenny
Nazwa obiektu: Szpital Uzdrowiskowy "Jagusia" ul. Słoneczna 12, Kudowa-Zdrój
Osoba do kontaktu:
Dorota Mosiołek (074) 8661-290
Lp.
1
2
3
4
5
6
7
8
9
10
11
12
13
Nazwa urządzenia
Krajalnica do pieczywa
Piekarnik elektryczny
Taboret gazowy
Kuchnia gazowa
Bemar
Zmywarka do naczyń
Chłodziarka
Pralka automatyczna
Okap kuchenny
Chłodziarka (hotel)
Dystrybutor wody
Wózek transportowy
Wózek kelnerski
Ilość (w szt.) Częstotliwość przeglądów
1
2
1
2
1
1
1
2
1
1
2
1
2
co 6 m-cy
co 12 m-cy
co 12 m-cy
co 12 m-cy
co 12 m-cy
co 12 m-cy
co 12 m-cy
-
Nazwa obiektu: Szpital Uzdrowiskowy "Wielka Pieniawa" ul. Parkowa 4, Polanica-Zdrój
Osoba do kontaktu:
Anna Łukaszów (074) 8680-234 Ewa Brzezińska (074) 8680-318
Nazwa urządzenia
Ilość (w szt.) Częstotliwość przeglądów
Lp.
160
1. Lodówki (hotel)
4
2. Kuchenka mikrofalowa
5
co 12 m-cy
3. Zmywarka do naczyń
2
co 12 m-cy
4. Patelnia elektryczna
1
co 12 m-cy
5. Płyta grzejna gazowa
6
co 12 m-cy
6. Szafa chłodnicza
3
co 12 m-cy
7. ZamraŜarka
5
co 12 m-cy
8. Komora chłodnicza
Niniejszy wykaz ma charakter informacyjny.
DE/224-59/2013
9.
10.
11.
12.
13.
14.
15.
16.
17.
18.
19.
20.
21.
22.
23.
24.
25.
26.
27.
28.
29.
30.
31.
32.
33.
34.
35.
36.
37.
38.
39.
40.
41.
Załącznik nr 1 do oferty
Lodówko-chłodziarki
Bemar jezdny wodny
Taboret gazowy
Mikser planetarny
Rozdrabniarka do jarzyn
Wilk do mięsa
Krajalnica do pieczywa
Krajalnica do wędlin i serów
Obieraczka do ziemniaków
Piec konwekcyjno-parowy
Kuchnia gazowa sześcio palnikowa
Naświetlacz do jaj
Stól podgrzewaczy - elektryczny
Robot kuchenny
Robot wieloczynnościowy z przystaw.
Mikser ręczny elektryczny
Kocioł warzelny elekt. ogrzewany wodą
Kocioł warzelny elekt. ogrzewany olejem
Okap kuchenny
Wentylacja
Pralka automatyczna
Stół chłodniczy
Dystrybutory wody
Wózki transportowe
Kostkarka do lodu
Moduł chłodniczo-grzewczy
Ekspres do kawy
Toster
Chłodziarka
Lada chłodnicza
Lada mroźnicza
ZamraŜarka
Blender
3
2
2
1
3
2
1
3
1
2
1
2
1
1
1
1
2
4
13
1
2
1
3
10
1
1
1
1
3
2
2
1
1
co 12 m-cy
co 12 m-cy
co 12 m-cy
co 6 m-cy
co 12 m-cy
co 12 m-cy
co 6 m-cy
co 6 m-cy
co 6 m-cy
co 6 m-cy
co 12 m-cy
co 12 m-cy
co 6 m-cy
co 6 m-cy
co 6 m-cy
co 12 m-cy
co 12 m-cy
co 12 m-cy
co 12 m-cy
co 12 m-cy
co 12 m-cy
co 12 m-cy
co 12 m-cy
Nazwa obiektu: Szpital Uzdrowiskowy "Zdrowie" ul. M. Konopnickiej 2, Polanica-Zdrój
Osoba do kontaktu:
Irena Kiełbasińska (074) 8680-209
Nazwa urządzenia
Ilość (w szt.) Częstotliwość przeglądów
Lp.
53
1. Chłodziarka (hotel)
3
2. Kuchenka mikrofalowa
1
co 12 m-cy
3. Zmywarka do naczyń
3
co 12 m-cy
4. Patelnia elektryczna
3
co 12 m-cy
5. Lodówka
2
co 12 m-cy
6. Szafa chłodnicza
co 12 m-cy
3
7. ZamraŜarka
1
co 6 m-cy
8. Obieraczka do ziemniaków
1
co 12 m-cy
9. Kuchnia gazowa
2
co 12 m-cy
10. Taboret gazowy
2
co 6 m-cy
11. Piec konwekcyjny
1
co 12 m-cy
12. Maszynka do mięsa
1
co 12 m-cy
13. Wilk do mięsa
2
co 6 m-cy
14. Krajalnica do wedlin
2
co 6 m-cy
15. Krajalnico-szatkownica
3
16. Okap kuchenny
2
17. Naświetlacz do jaj
1
18. Dystrybutory wody
Nazwa obiektu: Sanatorium Uzdrowiskowe "Carmen" ul. Ogrodowa 5, Polanica-Zdrój
Osoba do kontaktu:
Irena Kiełbasińska (074) 8680-209
Nazwa urządzenia
Ilość (w szt.) Częstotliwość przeglądów
Lp.
10
1. Chłodziarka (hotel)
1
2. Kuchenka mikrofalowa (hotel)
1
3. Dystrybutory wody
Nazwa obiektu: Sanatorium Uzdrowiskowe "Szarotka" ul. Kryniczna 1, Polanica-Zdrój
Osoba do kontaktu:
Irena Kiełbasińska (074) 8680-209
Niniejszy wykaz ma charakter informacyjny.
DE/224-59/2013
Lp.
1.
2.
3.
4.
5.
6.
7.
Załącznik nr 1 do oferty
Nazwa urządzenia
Chłodziarka (hotel)
Kuchenka mikrofalowa
Zmywarka do naczyń
Krajalnica
Lodówka
Taboret gazowy
Dystrybutory wody
Ilość (w szt.) Częstotliwość przeglądów
26
2
1
co 12 m-cy
1
co 6 m-cy
1
co 12 m-cy
2
co 12 m-cy
1
-
Nazwa obiektu: Sanatorium Uzdrowiskowe "Korab" ul. Kryniczna 5, Polanica-Zdrój
Osoba do kontaktu:
Irena Sowiak (074) 8680-201
Nazwa urządzenia
Ilość (w szt.) Częstotliwość przeglądów
Lp.
2
1. Lodówko-chłodziarka (hotel)
2
co 12 m-cy
2. Lodówko-chłodziarka
1
co 12 m-cy
3. Zmywarka do naczyń
1
co 12 m-cy
4. Taboret gazowy
1
co 12 m-cy
5. Podgrzewacz do talerzy
1
6. Kuchenka mikrofalowa
Nazwa obiektu: Szpital Uzdrowiskowy "Chopin" ul. Zielona 14, Duszniki-Zdrój
Osoba do kontaktu:
Anna Krupińska (074) 8669-906
Nazwa urządzenia
Ilość (w szt.) Częstotliwość przeglądów
Lp.
1
1. Lodówka (hotel)
1
2. ZamraŜarka (hotel)
1
3. Kuchenka mikrofalowa
1
4. Pralka automatyczna
5. Dystrybutor wody
1
Nazwa obiektu: Szpital Uzdrowiskowy "Jan Kazimierz" ul. Zielona 23, Duszniki-Zdrój
Osoba do kontaktu:
Donata Sobiło (074) 8667-891; Danuta Barankiewicz (074)8669-449
Nazwa urządzenia
Ilość (w szt.) Częstotliwość przeglądów
Lp.
85
1. Lodówka (hotel)
1
co 12 m-cy
2. Lodówka
1
co 12 m-cy
3. Szafa chłodnicza - lodówka na próbki
3
4. Kuchenka mikrofalowa
1
5. Pralka automatyczna
1
co 6 m-cy
6. Piec konwekcyjny
2
co 12 m-cy
7. Zmywarka
1
co 12 m-cy
8. Bemar 3 komorowy
1
co 12 m-cy
9. Stół chłodniczy
1
co 12 m-cy
10. Taboret gazowy
1
11. Wentylacja mechaniczna
1
co 6 m-cy
12. Krajalnica do pieczywa
2
13. Ekspres do kawy
1
14. Toster
1
co 12 m-cy
15. Klimatyzator
16. Dystrybutory wody
5
5
17. Wózki transportowe i kelnerskie
2
18. Kociołki elektryczne
co 12 m-cy
19. Kuchenka elektryczna
1
Nazwa obiektu: Szpital Uzdrowiskowy "Jan Kazimierz"-Pawilon B ul. Wojska Polskiego 23,
Osoba do kontaktu:
Anna Krupińska (074) 8669-906
Nazwa urządzenia
Ilość (w szt.) Częstotliwość przeglądów
Lp.
1
1. Kuchenka mikrofalowa
5
2. Lodówka
1
3. Pralka automatyczna
4. Warnik do wody
1
co 12 m-cy
5. Kuchenka elektryczna
1
co 12 m-cy
6. Zmywarka
1
co 12 m-cy
7. Szafa chłodnicza
1
co 12 m-cy
8. Bemar 4-komorowy
1
9. Kuchenka mikrofalowa
1
10. Okap wentylacyjny
1
Niniejszy wykaz ma charakter informacyjny.
DE/224-59/2013
11.
Załącznik nr 1 do oferty
Wózki kelnerskie i transportowe
3
Nazwa obiektu: Sanatorium Uzdrowiskowe "Moniuszko" ul. Zdrojowa 40, Duszniki-Zdrój
Osoba do kontaktu: Krystyna Suchodolska (074) 8669-451;Danuta Barankiewicz (074)8669-449
Nazwa urządzenia
Ilość (w szt.) Częstotliwość przeglądów
Lp.
2
1 Kuchenka mikrofalowa
1
2 Pralka automatyczna
2
co 6 m-cy
3 Piec konwekcyjny
3
co 12 m-cy
4 Lodówka
3
co 12 m-cy
5 Lodówko-zamraŜarka
4
co 12 m-cy
6 ZamraŜarka
4
co 12 m-cy
7 Agregat chłodniczy
1
co 12 m-cy
8 Zmywarka
6
co 12 m-cy
9 Taboret gazowy
1
co 12 m-cy
10 Stół podgrzewany elektryczny
1
co 6 m-cy
11 Krajalnica do pieczywa
3
co 6 m-cy
12 Krajalnica do wędlin
3
co 12 m-cy
13 Patelnia elektryczna
1
co 12 m-cy
14 Wilk do mięsa
1
co 12 m-cy
15 Kuchnia elektryczna
2
co 12 m-cy
16 Kuchnia gazowa
1
co 12 m-cy
17 Kocioł elektryczny
2
18 Naświetlacz do jaj
2
co 12 m-cy
19 Kocioł gazowy
1
co 12 m-cy
20 Piekarnik elektryczny
1
21 RoŜno elektryczne
1
22 Frytkownica
2
co 6 m-cy
23 Maszyna do krojenia warzyw
2
co 6 m-cy
24 Robot elektryczny
3
co 6 m-cy
25 Obieraczka do ziemniaków
1
co 6 m-cy
26 Maszyna wieloczynnościowa
1
co 12 m-cy
27 Chłodnia 3 komorowa
2
co 12 m-cy
28 Szafa chłodnicza
1
co 12 m-cy
29 Centrala wentylacyjna
4
co 12 m-cy
30 Klimatyzator
1
31 Ekspres do kawy
1
32 Toster
1
33 NóŜ elektryczny
21
34 Termosy cateringowe (metalowe i plastikowe)
2
35 Dystrybutory wody
17
36 Wózki transportowe i kelnerskie
37 Mieszarka planetarna
1
38 Chłodziarka (hotel)
32
Niniejszy wykaz ma charakter informacyjny.