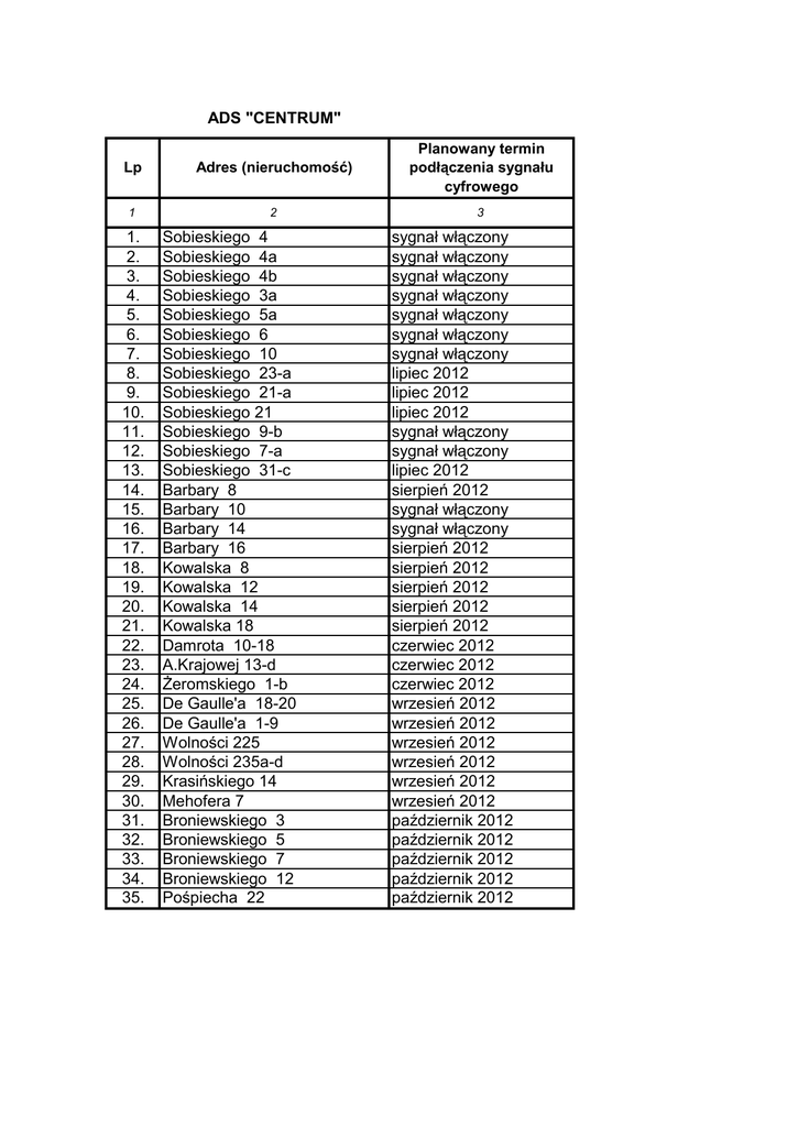
ADS "CENTRUM" 1. Sobieskiego 4 sygnał włączony 2. Sobieskiego

Transkrypt

ADS "CENTRUM" 1. Sobieskiego 4 sygnał włączony 2. Sobieskiego
ADS "CENTRUM"
Lp
Adres (nieruchomość)
Planowany termin
podłączenia sygnału
cyfrowego
1
2
3
1.
2.
3.
4.
5.
6.
7.
8.
9.
10.
11.
12.
13.
14.
15.
16.
17.
18.
19.
20.
21.
22.
23.
24.
25.
26.
27.
28.
29.
30.
31.
32.
33.
34.
35.
Sobieskiego 4
Sobieskiego 4a
Sobieskiego 4b
Sobieskiego 3a
Sobieskiego 5a
Sobieskiego 6
Sobieskiego 10
Sobieskiego 23-a
Sobieskiego 21-a
Sobieskiego 21
Sobieskiego 9-b
Sobieskiego 7-a
Sobieskiego 31-c
Barbary 8
Barbary 10
Barbary 14
Barbary 16
Kowalska 8
Kowalska 12
Kowalska 14
Kowalska 18
Damrota 10-18
A.Krajowej 13-d
Żeromskiego 1-b
De Gaulle'a 18-20
De Gaulle'a 1-9
Wolności 225
Wolności 235a-d
Krasińskiego 14
Mehofera 7
Broniewskiego 3
Broniewskiego 5
Broniewskiego 7
Broniewskiego 12
Pośpiecha 22
sygnał włączony
sygnał włączony
sygnał włączony
sygnał włączony
sygnał włączony
sygnał włączony
sygnał włączony
lipiec 2012
lipiec 2012
lipiec 2012
sygnał włączony
sygnał włączony
lipiec 2012
sierpień 2012
sygnał włączony
sygnał włączony
sierpień 2012
sierpień 2012
sierpień 2012
sierpień 2012
sierpień 2012
czerwiec 2012
czerwiec 2012
czerwiec 2012
wrzesień 2012
wrzesień 2012
wrzesień 2012
wrzesień 2012
wrzesień 2012
wrzesień 2012
październik 2012
październik 2012
październik 2012
październik 2012
październik 2012