Formularz do pobrania (typ: pdf, rozmiar: 242 KB)

Transkrypt

Formularz do pobrania (typ: pdf, rozmiar: 242 KB)
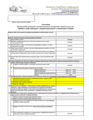
Nazwa i adres jednostki szkolącej
Formularz
dla jednostek szkolących zainteresowanych uzyskaniem zlecenia kursu pn.
Opiekun osób starszych i niepełnosprawnych z elementami masażu
Kryteria, jakie musi spełniać kandydat przewidziany do skierowania na kurs
Warunki uzyskania zlecenia przeprowadzenie szkolenia:
1 Wpis do RIS na 2016r
TAK/NIE*
2 Możliwość zorganizowania kursu w terminie ustalonym przez urząd tj.
w maj-czerwiec 2016r.
TAK/NIE*
3 Przeprowadzenie zajęć w dni robocze od poniedziałku do piątku, a w razie
konieczności w sobotę
TAK/NIE*
4 Organizacja szkolenia wg planu nauczania obejmującego przeciętnie nie mniej
niż 25 godzin zegarowych
TAK/NIE*
5 Organizacja szkolenia w godzinach skrajnych od 8.00 do 20.00, przy założeniu,
że ilość godzin dydaktycznych (bez przerw) nie przekracza 8 godzin zegarowych
TAK/NIE*
6 Łączna ilość czasu przeznaczona na przerwy ciągu 1 dnia nie przekroczy 60
minut
TAK/NIE*
Informacje niezbędne do dokonania wyboru instytucji szkoleniowej, której zostanie zlecone przeprowadzenie szkolenia:
I Jakość oferowanego programu szkolenia
Program szkolenia zgodny z wymogami stawianymi przez Urząd
1
TAK/NIE*
2
Proponowana ilość godzin szkolenia oraz ich wymiar
zajęcia teoretyczne
zajęcia praktyczne
…. godz. po … minut
…. godz. po … minut
egzamin (jeżeli jest przeprowadzany)
…. godz. po … minut
…. godz.
razem
II Certyfikaty jakości usług posiadane przez instytucję szkoleniową (kserokopie proszę dołaczyć do formularza)
1 akredytacja kuratora oświaty na prowadzenie kursów ,,Opiekun osób
starszych niepełnosprawnych"
2 Certyfikat ISO (w jakim zakresie)
3 inne (np.. MSUES)
III Dostosowanie kwalifikacji i doświadczenia kadry dydaktycznej do zakresu
szkolenia - kadra dydaktyczna przewidziana do realizacji zamówienia
TAK/NIE*
posiada kwalifikacje zgodne z kierunkiem przewidzianym do wykonywania
przez nich czynności w tym zamówieniu i praktykę zawodową w tym
kierunku
IV Dostosowanie wyposażenia dydaktycznego i pomieszczeń do potrzeb szkolenia, z uwzględnieniem bezpiecznych i
higienicznych warunków realizacji szkolenia
1 Miejsce szkolenia teoretycznego (dokładny adres)
2 Miejsce szkolenia praktycznego (dokładny adres)
3 Wykaz literatury oraz niezbędnych środków dydaktycznych do dyspozycji
kursanta w trakcie szkolenia
4 Wykaz materiałów szkoleniowych, które kursant otrzyma na własność
5 W/w wyposażenie dydaktyczne i pomieszczenia uwzględniają bezpieczne i
higieniczne warunki realizacji szkolenia
TAK/NIE
V Rodzaj dokumentów potwierdzających ukończenie szkolenia i uzyskanie
kwalifikacji - Min. jeden z dokumentów winien zawierać: numer z rejestru, imię
i nazwisko oraz PESEL uczestnika szkolenia, a w przypadku cudzoziemca
numer dokumentu stwierdzającego tożsamość, nazwę instytucji szkoleniowej
przeprowadzającej szkolenie, formę i nazwę szkolenia, okres trwania szkolenia
(od… do…), miejsce i datę wydania zaświadczenia lub innego dokumentu
potwierdzającego ukończenie szkolenia i uzyskania kwalifikacji, tematy i wymiar
godzin zajęć edukacyjnych, podpis osoby upoważnionej przez instytucję
szkoleniową przeprowadzającą szkolenie. Wzory proszę dołączyć do
niniejszego formularza.
VI Koszty szkolenia
szkolenie w ………….
Miejsce szkolenia
1 cena brutto za przeszkolenie i egzamin 1 osoby - cena wraz z kosztem
poczęstunku (tj. kawa, herbata, zimne napoje, drożdżówki bądź ciastka),
bez kosztów przejazdu na szkolenie
2 cena za grupę 10 osobową
3 koszt osobogodziny (cena za przeszkolenie 1 osoby/ilość godzin szkolenia
wraz z egzaminem)
4 koszt dojazdu na szkolenie dla 1 osoby = ilośc dni szkolenia wraz z
egzaminem * dzienny koszt dojazdu (np. przyjmuje się koszt dojazdu do
Krakowa - 16 zł/dzień; do Myślenic - 8 zł/dzień). Koszt przejazdu na
szkolenie będzie refundował Urząd na podstawie przedstawionych do
refundacji dokumentów. W związku z tym kosztów przejazdu nie należy
wliczać w oferowaną cenę szkolenia
5
organizacja egzaminu poprawkowego (jeżeli jest przeprowadzany)
….zł.x …..(ilość dni)= ………..zł.
TAK* (jeżeli tak, to:
a) NA KOSZT JEDNOSTKI SZKOLĄCEJ *
b) NA KOSZT KURSANTA*
NIE*
VII Sposób organizacji zajęć praktycznych określonych w programie
1 ilość osób w jednej grupie
2 ilość grup podczas zajęć praktycznych
3 ilość osób pracujących przy 1 stanowisku
4 ilość instuktorów pracujących jednocześnie z 1 grupą kursanów
* Właściwe zakreślić
W przypadku wyboru Wykonawcy do realizacji zamówienia, Zamawiający zwróci się o sporządzenie szczegółowej propozycji
szkolenia (oferty). Dane i dokumenty przedstawione w propozycji muszą potwierdzić informacje zawarte w powyższym
formularzu. W przeciwnym razie wybór unieważnia się.
Podpis i pieczątka osoby upoważnionej