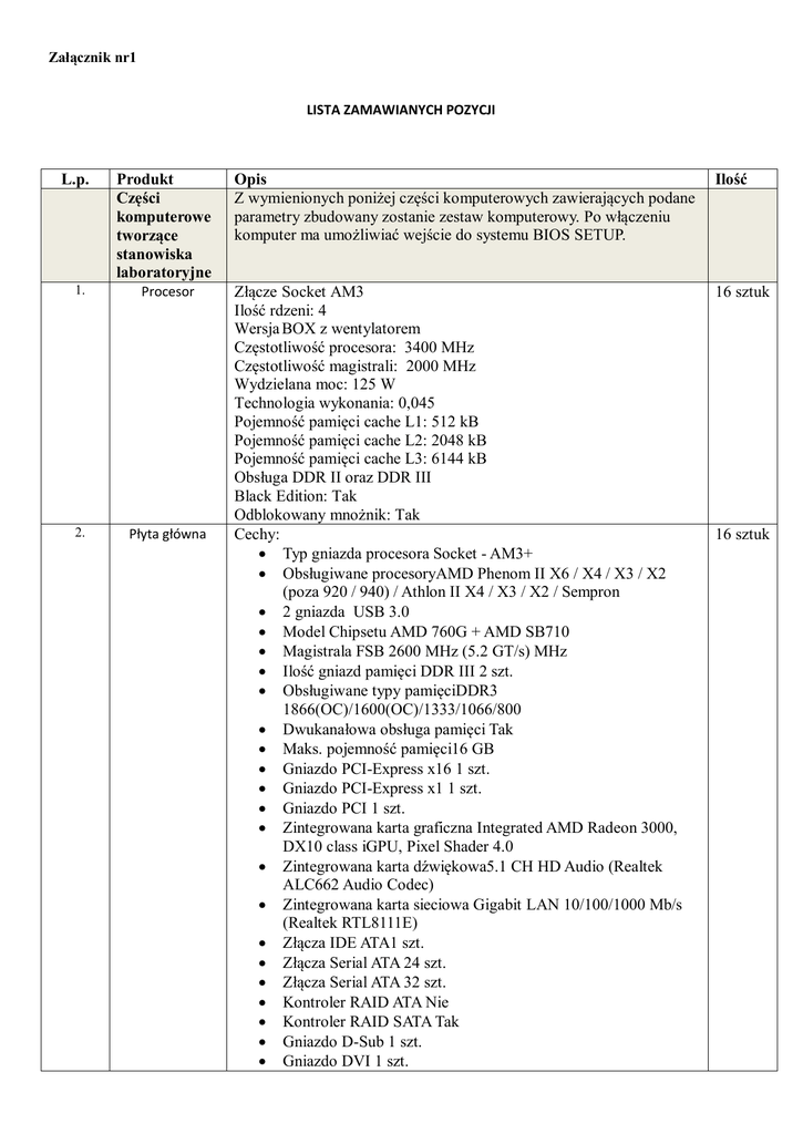
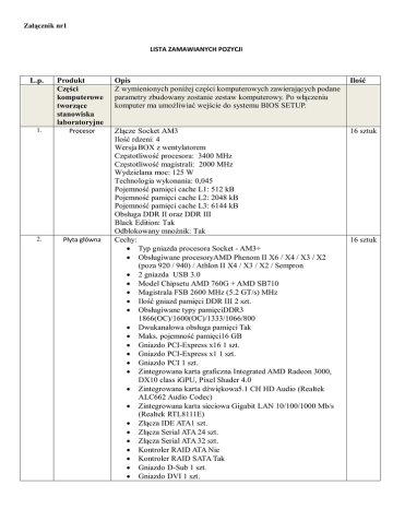
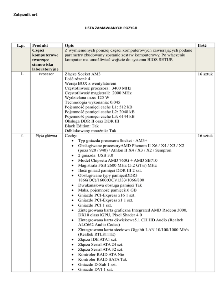
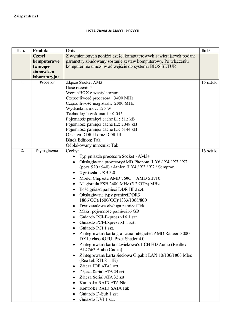
L.p. Produkt Opis Ilość Części komputerowe tworzące stanowiska

Transkrypt

L.p. Produkt Opis Ilość Części komputerowe tworzące stanowiska
Załącznik nr1
LISTA ZAMAWIANYCH POZYCJI
L.p.
Produkt
Części
komputerowe
tworzące
stanowiska
laboratoryjne
1.
Procesor
2.
Płyta główna
Opis
Z wymienionych poniżej części komputerowych zawierających podane
parametry zbudowany zostanie zestaw komputerowy. Po włączeniu
komputer ma umożliwiać wejście do systemu BIOS SETUP.
Ilość
Złącze Socket AM3
Ilość rdzeni: 4
Wersja BOX z wentylatorem
Częstotliwość procesora: 3400 MHz
Częstotliwość magistrali: 2000 MHz
Wydzielana moc: 125 W
Technologia wykonania: 0,045
Pojemność pamięci cache L1: 512 kB
Pojemność pamięci cache L2: 2048 kB
Pojemność pamięci cache L3: 6144 kB
Obsługa DDR II oraz DDR III
Black Edition: Tak
Odblokowany mnożnik: Tak
Cechy:
 Typ gniazda procesora Socket - AM3+
 Obsługiwane procesoryAMD Phenom II X6 / X4 / X3 / X2
(poza 920 / 940) / Athlon II X4 / X3 / X2 / Sempron
 2 gniazda USB 3.0
 Model Chipsetu AMD 760G + AMD SB710
 Magistrala FSB 2600 MHz (5.2 GT/s) MHz
 Ilość gniazd pamięci DDR III 2 szt.
 Obsługiwane typy pamięciDDR3
1866(OC)/1600(OC)/1333/1066/800
 Dwukanałowa obsługa pamięci Tak
 Maks. pojemność pamięci16 GB
 Gniazdo PCI-Express x16 1 szt.
 Gniazdo PCI-Express x1 1 szt.
 Gniazdo PCI 1 szt.
 Zintegrowana karta graficzna Integrated AMD Radeon 3000,
DX10 class iGPU, Pixel Shader 4.0
 Zintegrowana karta dźwiękowa5.1 CH HD Audio (Realtek
ALC662 Audio Codec)
 Zintegrowana karta sieciowa Gigabit LAN 10/100/1000 Mb/s
(Realtek RTL8111E)
 Złącza IDE ATA1 szt.
 Złącza Serial ATA 24 szt.
 Złącza Serial ATA 32 szt.
 Kontroler RAID ATA Nie
 Kontroler RAID SATA Tak
 Gniazdo D-Sub 1 szt.
 Gniazdo DVI 1 szt.
16 sztuk
16 sztuk







3.
4.
Chłodzenie
procesora
Pamięć RAM


Cechy







Gniazdo PS/2 2 szt.
Gniazdo sieciowe RJ45 1 szt.
Złącza USB zewnętrzne 6 szt.
Złącza USB wewnętrzne 4 szt.
Gniazda audio analogowe 3 szt.
Gniazda zasilania 24 pin ATX, 4 pin 12V, CPU/Chassis/Power
FAN
Dodatkowe złącza wewnętrzne1 x IR, 1 x CIR, 1 x LPT, 1 x
COM, CD in, Front panel audio
Standard mikro ATX
Wymiary (wys x szer) 24.4 cm x 19.8 cm
4 heatpipe'y
wentylator 92mm z funkcją PWM
obroty w zakresie 800 +/- 300 ~ 2200 +/-10% obr./min.
głośność od 9,9 do 22,9 dB/A
możliwość montażu dodatkowego wentylatora 92mm
prosty montaż
szeroka kompatybilność: LGA 775/ 1155 /1156 oraz AMD
754/939/ 940 /AM2 /AM2+ /AM3/AM3+/FM1
 pasuje do wszystkich obudów midi tower
 pasta termo-przewodząca o podwyższonej przewodności (4.1
W/mk)
 Przeznaczenie Chłodzenie procesora
 Poziom hałasu22,9 dB
 Materiał radiatoraAluminium + Miedź
 Wymiary wentylatora92 mm
 Wymiary radiatora105 x 52 x 135 mm
 Podświetelnie Brak
 Obroty wentylatora 2200 obr/min
 Ilość wentylatorów1
 Ilość Heatpipe4
 Regulacja obrotów Regulator PWM
 Waga0,310 kg
 Wymiary105 x 77 x 135 mm
 Wtyczka4Pin PWM
 Żywotność50000 h
Zestaw pamięci DDR3 DIMM o pojemności 8 GB (2 x 4096 MB),
pracujących z częstotliwością 1600 MHz, chłodzonych Heat Sinkami.
Prędkość transferu danych wynosi 12800 MB/s, opóźnienia 9 CL, a
napięcie 1.65 V.
Cechy Produktu
 Rodzaj DDR3
 Pojemność 8192 MB
 Maksymalne taktowanie1600 Mhz
 Przepustowość PC12800 1600MHz
 Opóźnienie - Cycle LatencyCL 9,0
 Korekcja Nie
 Dual / Quad Dual Channel
 Radiator Tak
 Organizacja modułów 2 szeregi x4
 Złocone styki: Tak
16 sztuk
16 sztuk
5.
Dysk Twardy
















6.
Obudowa
16 sztuk
Cechy
Technologia IntelliPower
Format3,5 cali
Pojemność500 GB
Interfejs Serial ATA III
Prędkość obrotowa5400 rpm
Pamięć Cache64 MB
Technologia przechowywania HDD
Typ łożyska FDB
Maksymalny transfer wewnętrzny 748 Mbps
Maksymany transfer zewnętrzny 300 MB/s
Średni czas dostępu 8,9 ms
Technologia S.M.A.R.T : Tak
Funkcja oszczędności energii Tak
Technologia NCQ: Tak
Wymiary147 x 101,6 x 25,4 mm
Waga0,450 kg
16 sztuk
Cechy









Nowoczesny design
Czarne wnętrze
Montaż zasilacza na spodzie
Montaż do 4 wentylatorów 120mm (dwa w komplecie)
Otwór do łatwego montażu chłodzenia CPU
Podstawowa aranżacja okablowania
Filtry przeciwkurzowe
Przepusty gumowe do wyprowadzenia chłodnicy
Antywibracyjne, gumowe podkładki do montażu HDD
System chłodzenia (dwa wentylatory w komplecie)




Cechy

















przód: 1 x wentylator 120mm (1200 obr./min. ~15 dB/A)
tył: 1 x wentylator 120mm (1200 obr./min. ~15 dB/A)
spód: 1x wentylator 120mm (opcja)
góra: 1x wentylator 120mm (opcja)
TypMidi Tower: 400mm do 459mm
Moc zasilaczaBrak
Format płyty głównejATX, MicroATX, Mini-ITX
Położenie zasilacza Dół obudowy z tyłu
Wysokość435 mm
Długość182 mm
Szerokość482 mm
Waga obudowy5,2 kg
KolorCzarny
Materiał szkieletu obudowy Stal SECC
Kolor przedniego panelu Czarny
Materiał przedniego panelu Tworzywo
Przedni panel z drzwiczkami Nie
Maskownice na napędy Nie
Złącza przedniego panelu2 x USB 2,0, 1 x Audio In/Out x
Boczny panel z oknem Nie (brak okna)
Podświetlenie obudowy Brak
7.
8.
9.
Zasilacz
Napęd,
nagrywarka
Monitor











Cechy









Cechy




















Cechy









Kolor wnętrza obudowy Czarny
Przedni panel zamykany na klucz Nie
Ilość zewnętrznych zatok 5.254
Ilość zewnętrznych zatok 3.51
Ilość wewnętrznych zatok 3.55 x
Sloty kart rozszerzeń 7
Sposób montażu urządzeń Szyny
Obsługa bez wkrętaka Tak
Wentylatory zainstalowane 2
Filtry przeciwkurzowe Tak
Maksymalna długość karty graficznej 310 mm
16 sztuk
Moc 500 W
Standard ATX12V 2,3
Odpinane przewody Nie
Głośność 24 dB
Układ PFC Aktywny
Średnica wentylatora 120 mm
Podświetlenie Nie
Ilość wentylatorów1
Wymiary140 x 150 x 87 mm
16 sztuk
Typ Wewnętrzny
Rodzaj DVD+/-RW
Pamięć Cache 2 MB
Interfejs Serial ATA
Zapis DVD+/-R24
Zapis DVD+/-RW12
Zapis DVD+/-R DL12
Kolor Czarny
Zapis DVD-RAM5
Zapis CD-R48
Zapis CD-RW12
Odczyt DVD16
Odczyt CD48
Odczyt DVD-RAM12
Czas dostępu DVD160
Czas dostępu CD140
Waga0,650 kg
Wymiary170 x 146 x 41 mm
Awaryjne otwieranie Tak
Dioda sygnalizacyjna Tak
16 sztuk
Przekątna ekranu 21,5 cali
Rodzaj matrycy TN
Format ekranu 16:9
Rozdzielczość 1920x1080
Czas reakcji 5 ms
Kontrast 1:600
Jasność 200 cd/m²
Kąt widzenia poziom 90 °
Kąt widzenia pion 65 °
10.
11.
Klawiatura i
mysz
komputerowa
Karta sieciowa
Wi-fi
Serwer
prezentacji












Cechy














Ilość wyświetlanych kolorów 16,7 mln
Wielkośc piksela 0,248 mm
Podświetlenie LED Tak
Pobór energii 30 W
Regulacja kąta pochylenia Tak
Wymiary512 x 53 x 311 mm
Waga 2,7 kg
Rodzaj złącza wideo D-Sub
Typ synchronizacji Separate H/V, Composite, SOG
Rodzaj zasilacza Wbudowany
Kolor Czarny
Zarządzanie energią Energy Star
Kolor Czarny
Typ klawiatury Ultra płaska
Interfejs klawiatury USB
Komunikacja klawiatury Przewodowa
Ergonomiczny kształt Tak
Mysz w zestawie Tak
Typ myszy Optyczna
Interfejs myszy USB
Komunikacja myszy Przewodowa
Rozdzielczość myszy 1000 dpi
Liczba przycisków myszy 3
Wytrzymałość klawiatury około 10 milionów naciśnięć
Konstrukcja odporna na płyny
Składane nóżki pozwalają zwiększyć nachylenie klawiatury o 8
stopni
Karta PCI Wireless-N 150Mbps o wysokim bezpieczeństwie (WPA2,
WPS), przycisk WPS
 Przycisk WPS (Wi-Fi Protected Setup) szybko ustanawia
bezpieczne połączenie bezprzewodowe.
 Tryb Software AP umożliwia karcie WLAN działanie jako
wirtualny punkt dostępu, łącząc notebooka lub konsolę gier z
Internetem.
 Obsługa szyfrowania WEP, WPA i WPA2 dla zwiększenia
bezpieczeństwa
 Interfejs PCI
 Rodzaj Bezprzewodowa
 Standard przewodowy Nie dotyczy
 Standard bezprzewodowy 150 (Mbps) - 802.11n MIMO
 Zgodność ze standardem802.11 b/g/n : pobieranie 150Mbps,
wysyłanie 150Mbps(20/40MHz)
 Ilość wyjść1 szt.
 Kompatybilność Windows 7 32bit/64bit Windows XP
32bit/64bit, Mac OS X 10.4 lub nowszy, Linux Kernel
(obsługaUbuntu)
 Zabezpieczenia 64-bit WEP, 128-bit WEP, WPA2-PSK, WPAPSK, obsługa WPS
 Wymiary (wys x szer)121 x 88 x 22 mm
16 sztuk
16 sztuk
12.
Cechy
urządzenia
Bezprzewodowy serwer prezentacji 802.11n 300Mb/s
 Zgodność ze standardami 802.11b/g/n oraz 802.3ab
 Bezprzewodowy przekaz obrazu z komputera na projektor bądź
drugi monitor
 Współdzielenie ekranu przez 4 użytkowników, Direct Show i
przycisk WPS
 Obsługa wielu formatów wideo
 Pilot na podczerwień
 Możliwość jednoczesnego wyświetlania prezentacji i
przeglądanie stron internetowych
 Zgodność z Windows 2000/XP/Vista/7 i MacOS (10.4 i 10.5)
 Interfejs sprzętowy1 gigabitowy port LAN
 2 porty USB
 2 anteny 3 dBi
 1 wyjście VGA
 1 Extend IR
 1 wyjście Audio
 Gniazdo zasilania
 Przycisk Reset
1 sztuka
 Zarządzanie
 Obsługa serwera DHCP: Klient/Serwer
 Pilot
 Menu ekranowe
 Klucz logowania
 Odtwarzanie wideo
 Aktualizacja firmware
 ZasilanieDC 12V 1A
 Rozdzielczość Wyjście wideo: 800x600, 1024x768
 RAM 16MB Flash 128MB DDR1
 Zabezpieczenia 64/128-bit WEP, WPA i WPA2
802.1x i WPS
 Tryb pracy Tryb prezentacji: do 16 użytkowników
 Wymiary30 x 157 x 127mm
13.
Składniki sieci
komputerowej
Switch
Cechy
 16 portów 10/100/1000Mbps RJ-45
 Funkcja ACL dla większego zabezpieczenia
 Prywatne VLANy PVE dla bezpieczeństwa w sieci i dla
połączeń nieplanowanych
 2 porty miniGBIC Gigabitowe
 Nieblokująca się magistrala 16Gbps, mechanizm przełączania
Store And Forward
 Wbudowana funkcja QoS w oparciu o 802.1p, DiffServ oraz
ToS
 Konfiguracja orazzarządzanie i monitorowanie przez dowolna
przeglądarkę internetową
 Bezpieczne zarządzanie SSH i SSL
 Segmentacja sieci przy użyciu funkcji VLAN 802.1q - większa
wydajność oraz bezpieczeństwo
1 sztuka
 Opcja automatycznej konfiguracjiVLAN poprzez kilka sswitchy
GVRP i GARP
 Automatyczne rozpoznawanie typu kabla MDI oraz cross-over
MDI-X
 Wysoki poziom bezpieczeństwa na portach dzięki funkcji
autoryzacji 802.1x oraz filtrowaniu adresów MAC
 Możliwośćzwiększenia przepustowości do 8 razy oraz
zapewnienie redundantnych połączeń dzięki LACP 802.3ad
 Limitowanie prędkości do użytkowników oraz ograniczanie
dużego ruchu typu broadcast, multicast, flood
 Bezinwazyjne monitorowaniepakietów na portach dzięki funkcji
Port Mirroring
 Obsługa dużych ramek Jumbo do 10 Kbajtów
 Zarządzanie przez SNMP v1, 2c i 3
 Montaż w szafach RACK 19" dzięki uchwytom dołączonym do
zestawu
Parametry techniczne:
 Liczba portów 1000 Mbps16 szt.
 Inne porty Port Konsoli
 Porty mini-GBIC 2 sloty MiniGBIC współdzielony z portem
Gigabit
 Liczba slotów2 szt.
 Standardy sieciowe: 802.3 10BASE-T Ethernet, 802.3u
100BASE-TX Fast Ethernet, 802.3ab, 802.3x flow control,
802.3ad LACP, 802.1Q/p VLAN, 802.1X port access
authentication
 Przepustowość 32Gbps
 Trunk Tak
 Spanning TreeIEEE 802.1D Spanning Tree IEEE 802.1w Rapid
Spanning Tree IEEE 802.1s Multiple Spanning Tree
 Zarządzalność HTTP, HTTPS, SNMP, SSL, SSH, Telnet
 QoS4 kolejki priorytetów, WRR, CoS, przydzielanie pasma
 VLAN Port-based i 802.1Q tag-based VLANs, Management
VLAN, do 256 aktywnych VLAN
 Montaż w szafach RACK19" Rack 1U
 Możliwość mocowania do podłoża Nie
 Rozmiar tablicy adresów MAC 8K
 Algorytm przełączania Store And Forward
 Zasilanie100 do 240V 0.5A
 Wysokość 45 mm
 Szerokość 430 mm
 Głębokość 350 mm
 Waga 3.3 kg
 Kolor obudowy Czarno Srebrny
14.
Skrzynka
sieciowa






Drzwi przednie przeszklone, drzwi tylne stalowe stałe, boczne
stalowe demontowane na zatrzaskach
Podział dwusekcyjny zapewniający łatwą obsługę tylnej sekcji szaf
Możliwość zamontowania dwóch wentylatorów w suficie szafy
Dwa przepusty kablowe - jeden w suficie, drugi w podłodze
Wymiary szafy: 600mm x 550mm x 367mm
(szerokość/głębokość/wysokość)
Możliwość montażu urządzeń o sumarycznej wysokości 6U
1 sztuka
15.
Patch Panel










Masa: 22kg
Kolor: czarny RAL9004
Szafa do samodzielnego montażu, dostarczana w jednym kartonie
Gwarancja 1 rok
wysokość 6 U
zastosowanie serwery, sieci
drzwi przednie pełne szklane
drzwi tylnie pełne blaszane
cokół tak
dodatkowe informacje: szafa dwusekcyjna,wisząca, czarna

Patch Panel 24 portowy, Cat5e, UTP, 1U
1 sztuka
305
metrów
16 sztuk
 Zarabianie kabla narzędziem uderzeniowym standardu 110 oraz
Krone
 Przystosowane do kabli od 22 do 26 AWG, zarówno linki, jak i
drutu
 Do zastosowania z nieekranowaną skrętką (UTP) Cat5e
 Do zamocowania w szafach i rackach standardu 19"
 Odległość w poziomie pomiędzy lewymi i prawymi otworami
montażowymi: 465 mm
 Odległość w pionie pomiędzy górnym i dolnymi otworami
montażowymi: 31.8 mm
16.
17.
18.
19.
20.
21.
Przewód
sieciowy
Gniazdo
sieciowe

Kabel UTP 305 metrów - linka kategorii 5e





Gwarancja 2 lata
Narzędzie do
zaciskania
końcówek RJ45
Narzędzie
uderzeniowe do
montażu
gniazdek
sieciowych
Wtyk RJ- 45

Gwarancja 2 lata
8 sztuk

Gwarancja 2 lata
8 sztuk

Wtyk zaciskany RJ45 (paczka 100szt)
Tester
okablowania

Testowanie prawidłowej pracy kabla sieciowego RJ45 UTP /
FTP. Duży i czytelny wyświetlacz LCD (4 wiersze po 16
znaków). dzięki któremu wizualizacja wyników testowania jest
bardzo prosta i czytelna.
Funkcje:
- testowanie kabli kategori 5. 5e. 6 (UTP / FTP) oraz kabli
koncentrycznych i telefonicznych
- wykrywa: brak połączenia. zwarcia. zamiany kolorów w
parze. odwrotne połączenia
- identyfikacja żył oraz wykrywanie błędów połączeń
- pomiar długości kabla (z wykorzystaniej jednostki zdalnej jak
i bez niej) oraz określanie dystansu do miejsca przerwy /
100
sztuk
1 sztuka

Typ gniazdo
Zastosowanie sieci
Standard RJ45
Końcówka 1 : 2x RJ45
zwarcia
- testuje kable o długości do 450m
- kalibracja pomiaru długości i uzyskiwanie precyzji pomiaru do
97%
- oszczędzanie baterii - funkcja automatycznego wyłączania
przy bezczynności (wyłączenie po 10 minutach)
- możliwość łatwej identyfikacji kabli w wiązce (istniejąca
instalacja) dzięki opcjonalnym dodatkowym jednostkom
zdalnym - maksymalnie 8)
- duży ekran LCD (4 x 16 znaków. 42 x 25.2 mm) dla lepszej
prezentacji wyników
- wymiary: tester 125 x 70 x 2.5 mm. odbiornik 75 x 40 x 25
mm
- waga: tester 129g. odbiornik 30g
- zasilanie: 4 x baterie 1.5V AA
100
Osłona na wtyk RJ45 niebieska (paczka 100szt)
sztuk
100
Osłona na wtyk RJ45 zielona (paczka 100szt)
sztuk
Osłony na
wtyki
Osłona na
wtyki
Oprogramowa
nie
System
operacyjny –
stanowisko
komputerowe


Microsoft Windows 7 Professional PL OEM 64Bit SP1
16 sztuk
25.
System
operacyjny –
Serwer

Microsoft Windows Server Standard 2012 2Proc MOLP EDU
8 sztuk
26.
System
operacyjny –
Serwer CAL
licencje
dostępowe
Pakiet
biurowy
Oprogramowa
nie
projektowe
Pozostałe
22.
23.
24.
27.
28.
29.

 Microsoft Windows Server CAL 2012 User MOLP EDU
(licencje w ilości po 10 licencji na każdy serwer)
80 sztuk

Microsoft Office Standard 2010 MOLP AE
16 sztuk

Microsoft Visio Standard 2010 MOLP AE
16 sztuk
Zewnętrzny dysk twardy
• Pojemność dysku
320 GB
• Interfejs
USB 2.0
• Pamięć podręczna [MB]
8
• Zastosowane technologie
Plug & Play
• Prędkość obrotowa [obr./min.]
5400
• Maksymalny transfer 480 Mb/s
• Prędkość zapisu 35.5 MB/s
• Prędkość odczytu 33 MB/s
• Bufor pamięci: 8 MB
• Wielkość dysku [cale] 2.5
• Załączone wyposażenie
Kabel USB
• Gwarancja:
Gwarancja 24 miesiące
1
sztuka