BOO BOO DAVIS

Transkrypt

BOO BOO DAVIS
BOO BOO DAVIS
Boo Boo Davis - vocal, harmonijka
John Gerritse - perkusja
Jan Mittendorp - gitara




jedna gitara na dwóch wzmacniaczach
prosimy nie stosować ŻADNYCH kompresorów i limiterów na wokalu (ani w odsłuchu, ani na
przodach)
o ile sala na to pozwala zespół preferuje nie nagłaśniać wzmacniaczy i perkusji
w czasie koncertu prosimy o:
■ nie palenie !!!
■ nie używanie dymiarek !!!
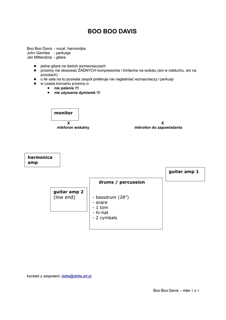
monitor
X
mikforon wokalny
X
mikrofon do zapowiadania
harmonica
amp
guitar amp 1
drums / percussion
guitar amp 2
(low end)
-
bassdrum (28”)
snare
1 tom
hi-hat
2 cymbals
kontakt z zespołem: [email protected]
Boo Boo Davis – rider 1 z 1