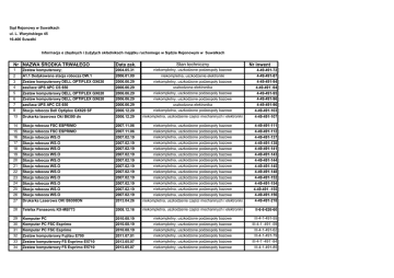
Nr NAZWA ŚRODKA TRWAŁEGO Data zak. Nr Seryjn Stan

Transkrypt

Nr NAZWA ŚRODKA TRWAŁEGO Data zak. Nr Seryjn Stan
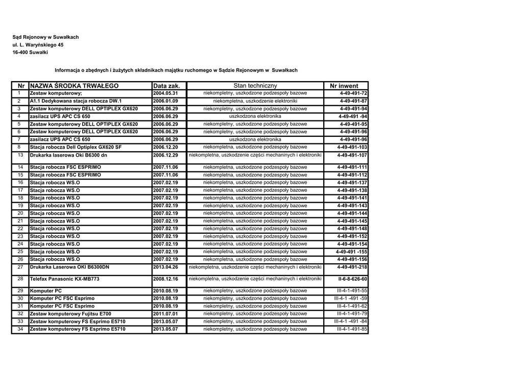
Sąd Rejonowy w Suwałkach
ul. L. Waryńskiego 45
16-400 Suwałki
Informacja o zbędnych i żużytych składnikach majątku ruchomego w Sądzie Rejonowym w Suwałkach
Nr NAZWA ŚRODKA TRWAŁEGO
Data zak.
1
Zestaw komputerowy;
2004.05.31
niekompletny, uszkodzone podzespoły bazowe
YBER108678
4-49-491-72
2
A1.1 Dedykowana stacja robocza DW.1
2006.01.09
niekompletna, uszkodzenie elektroniki
GB85023VJH
4-49-491-87
3
Zestaw komputerowy DELL OPTIPLEX GX620
2006.06.29
niekompletny, uszkodzone podzespoły bazowe
226D92J
4
zasilacz UPS APC CS 650
2006.06.29
QB0615238455
5
Zestaw komputerowy DELL OPTIPLEX GX620
2006.06.29
niekompletny, uszkodzone podzespoły bazowe
126D92J
4-49-491-95
6
Zestaw komputerowy DELL OPTIPLEX GX620
2006.06.29
niekompletny, uszkodzone podzespoły bazowe
J16D92J
4-49-491-96
7
zasilacz UPS APC CS 650
2006.06.29
QB0615238455
8
Stacja robocza Dell Optiplex GX620 SF
2006.12.20
niekompletna, uszkodzone podzespoły bazowe
4C05L2J
4-49-491-103
13
Drukarka laserowa Oki B6300 dn
2006.12.29
niekompletna,
nr
fabryczny uszkodzenie części mechaninych i elektroniki
4-49-491-107
14
Stacja robocza FSC ESPRIMO
2007.11.06
niekompletna, uszkodzone podzespoły bazowe
YKUE035262
4-49-491-111
15
Stacja robocza FSC ESPRIMO
2007.11.06
niekompletna, uszkodzone podzespoły bazowe
YKUE035261
4-49-491-112
16
Stacja robocza WS.O
2007.02.19
niekompletna, uszkodzone podzespoły bazowe
7034706270
4-49-491-137
17
Stacja robocza WS.O
2007.02.19
niekompletna, uszkodzone podzespoły bazowe
7034706175
4-49-491-138
18
Stacja robocza WS.O
2007.02.19
niekompletna, uszkodzone podzespoły bazowe
7034706177
4-49-491-141
19
Stacja robocza WS.O
2007.02.19
niekompletna, uszkodzone podzespoły bazowe
7034706278
4-49-491-143
20
Stacja robocza WS.O
2007.02.19
niekompletna, uszkodzone podzespoły bazowe
7034706249
4-49-491-144
21
Stacja robocza WS.O
2007.02.19
niekompletna, uszkodzone podzespoły bazowe
7034706303
4-49-491-145
22
Stacja robocza WS.O
2007.02.19
niekompletna, uszkodzone podzespoły bazowe
7034706267
4-49-491-148
23
Stacja robocza WS.O
2007.02.19
niekompletna, uszkodzone podzespoły bazowe
7034706036
4-49-491-152
24
Stacja robocza WS.O
2007.02.19
niekompletna, uszkodzone podzespoły bazowe
7034706180
4-49-491-154
4-49-491 -155
Nr Seryjny
Stan techniczny
uszkodzona elektronika
uszkodzona elektronika
Nr inwent
4-49-491-94
4-49-491 -94
4-49-491-96
25
Stacja robocza WS.O
2007.02.19
niekompletna, uszkodzone podzespoły bazowe
7034706313
26
Stacja robocza WS.O
2007.02.19
niekompletna, uszkodzone podzespoły bazowe
7034706222
4-49-491-156
27
Drukarka Laserowa OKI B6300DN
2013.04.26
niekompletna, uszkodzenie części mechaninych i elektroniki
608A2358108
4-49-491-218
28
Telefax Panasonic KX-MB773
2008.12.16
niekompletna, uszkodzenie części mechaninych i elektroniki
8HBFC005963
II-6-8-626-60
29
Komputer PC
2010.08.19
niekompletny, uszkodzone podzespoły bazowe
YL8H017271
III-4-1-491-55
30
Komputer PC FSC Esprimo
2010.08.19
niekompletny, uszkodzone podzespoły bazowe
YL8H0017261
III-4-1 -491 -59
31
Komputer PC FSC Esprimo
2010.08.19
niekompletny, uszkodzone podzespoły bazowe
YL8H17269
III-4-1-491-62
III-4-1-491-79
32
Zestaw komputerowy Fujitsu E700
2011.07.01
niekompletny, uszkodzone podzespoły bazowe
YLCT004503
33
Zestaw komputerowy FS Esprimo E5710
2013.05.07
niekompletny, uszkodzone podzespoły bazowe
K-YKUB029212
III-4-1 -491 -84
34
Zestaw komputerowy FS Esprimo E5710
2013.05.07
niekompletny, uszkodzone podzespoły bazowe
K-YKUB029216
III-4-1-491-85
35
Switch 3Com OfficeConnect DuaISpeed
2005.11.08
LRWG4E0378049 uszkodzona elektronika
III-4-11-491-6
36
Switch 3 Com Office
2007.06.30
9E6C8000016337 uszkodzona elektronika
III-4-11-491 -20
37
Switch 3COM
2008.06.26
9F2C950034565 uszkodzona elektronika
III-4-11-491-27
38
Switch 3 COM
2008.12.16
9F2CA70057006 uszkodzona elektronika
III-4-11-491-31
39
Switch 3 COM
2008.12.16
9F2CA70055695 uszkodzona elektronika
III-4-11-491-32
40
41
Access Point
Notebook AMILO PRO V8010
2007.07.03
2006.06.19
9TZ486J A601 COuszkodzona elektronika
niekompletny,
YBEU002046 uszkodzona obudowa, matryca i elektronika
płyty głównej
III-4-18-491 -3
III-4-2-491-46
42
Notebook AMILO PRO V8010
2006.06.19
III-4-2-491-51
43
Komputer FS ESPRIMO P5710
2007.06.30
niekompletny,
YBEU001958 uszkodzona obudowa, matryca i elektronika
płyty głównej
niekompletny, uszkodzone podzespoły bazowe
YK1T020079
44
Notebook AMILO PRO V3505
2007.06.30
III-4-2-491-64
45
Notebook AMILO PRO V3505
2007.06.30
46
Notebook AMILO PRO V3505
2007.06.30
47
Notebook Fujitsu-Siemens
2008.06.25
48
Notebook Fujiutsu-Siemens
2008.06.25
49
Notebook Fujiutsu-Siemens
2008.06.25
50
Notebook Fujiutsu-Siemens
2008.06.25
51
Notebook Fujiutsu-Siemens
2008.06.25
52
Notebook Fujiutsu-Siemens
2008.06.25
53
Notebook Fujiutsu-Siemens
2008.06.25
54
Notebook Fujiutsu-Siemens
2008.06.25
55
Notebook Fujiutsu-Siemens
2008.06.25
56
Komputer Fujiutsu-Siemens
2008.06.25
niekompletny,
YK3T148432 uszkodzona obudowa, matryca i elektronika
płyty głównej
niekompletny,
YK3T148322 uszkodzona obudowa, matryca i elektronika
płyty głównej
niekompletny,
Yk3T136606 uszkodzona obudowa, matryca i elektronika
płyty głównej
niekompletny,
YKBX058407 uszkodzona obudowa, matryca i elektronika
płyty głównej
niekompletny,
YKBX058413 uszkodzona obudowa, matryca i elektronika
płyty głównej
niekompletny,
YKBX058408 uszkodzona obudowa, matryca i elektronika
płyty głównej
niekompletny,
YKBX058412 uszkodzona obudowa, matryca i elektronika
płyty głównej
niekompletny,
YKBX058409 uszkodzona obudowa, matryca i elektronika
płyty głównej
niekompletny,
YKBX058410 uszkodzona obudowa, matryca i elektronika
płyty głównej
niekompletny,
YKBX058420 uszkodzona obudowa, matryca i elektronika
płyty głównej
niekompletny,
YKBX058417 uszkodzona obudowa, matryca i elektronika
płyty głównej
niekompletny,
YKBX0584411uszkodzona obudowa, matryca i elektronika
płyty głównej
niekompletny, uszkodzone podzespoły bazowe
YKCS018978
57
Komputer Fujutsu-Siemens
2008.06.25
niekompletny, uszkodzone podzespoły bazowe
YKCS018982
III-4-2-491-95
58
Komputer Fujiutsu-Siemens
2008.06.25
niekompletny, uszkodzone podzespoły bazowe
YKCS018983
III-4-2-491-96
59
Komputer Fujiutsu-Siemens
2008.06.25
niekompletny, uszkodzone podzespoły bazowe
YKCS018985
III-4-2-491-97
60
Komputer Fujiutsu-Siemens
2008.06.25
niekompletny, uszkodzone podzespoły bazowe
YKCS018986
III-4-2-491-99
61
Komputer FS Esprimo E5730 + monitor
2008.12.16
niekompletny, uszkodzone podzespoły bazowe
YKJV001130
III-4-2-491-103
62
Komputer FS Esprimo E5730+monitor
2008.12.16
niekompletny, uszkodzone podzespoły bazowe
YKJV001136
III-4-2-491-105
63
Komputer PC FSC Esprimo E5730
2009.06.17
niekompletny, uszkodzone podzespoły bazowe
YKJV048882
III-4-2-491-115
64
Notebook Fujitsu EM
2010.08.19
niekompletny,
YKLM105166uszkodzona obudowa, matryca i elektronika
płyty głównej
III-4-2-491-60
III-4-2-491-68
III-4-2-491-70
III-4-2-491-78
III-4-2-491-81
III-4-2-491-82
III-4-2-491-83
III-4-2-491-85
III-4-2-491 -86
III-4-2-491-87
III-4-2-491-88
III-4-2-491-91
III-4-2-491-92
llł-4-2-491-118
66
Drukarka HP LJ 1200
2004.05.31
niekompletna,
uszkodzenie części mechaninych i elektroniki
0100300301630
III-4-3-491--4
67
Drukarka HP 1200
2004.05.31
niekompletna,
uszkodzenie części mechaninych i elektroniki
0100300306920
III-4-3-491-15
68
Drukarka HP LJ
2004.10.15
niekompletna,
uszkodzenie części mechaninych i elektroniki
CNBW49RH6A
III-4-3-491-41
69
Drukarka wielofunkcyjna HP LJ 3020
2004.11.23
niekompletna, uszkodzenie części mechaninych i elektroniki
III-4-3-491-42
70
DrukarkaHpLJ 1320
2004.11.23
niekompletna,
uszkodzenie części mechaninych i elektroniki
CNHW63HGGY
III-4-3-491-43
71
Drukarka Hp LJ 1320
2004.12.29
niekompletna,
uszkodzenie części mechaninych i elektroniki
CNCW4DGG25
III-4-3-491-44
72
Drukarka HP LJ 1320
2004.12.29
niekompletna,
uszkodzenie części mechaninych i elektroniki
CNCW4DGGNS
III-4-3-491-45
73
Drukarka Hp LJ 1320
2004.12.29
niekompletna,
CNCJH83667uszkodzenie części mechaninych i elektroniki
III-4-3-491-47
74
Drukarka Hp LJ 1320
2004.12.29
niekompletna,
CNCJH80215uszkodzenie części mechaninych i elektroniki
III-4-3-491-48
75
Drukarka HP LJ 1320
2004.12.29
niekompletna,
uszkodzenie części mechaninych i elektroniki
CNCW4DGGNP
III-4-3-491--50
76
Drukarka Hp LJ 1320
2004.12.29
niekompletna,
uszkodzenie części mechaninych i elektroniki
CNCW4DGGNN
III-4-3-491--52
77
Drukarka Hp LJ 1320
2004.12.29
niekompletna,
uszkodzenie części mechaninych i elektroniki
CNBW4DGGP7
III-4-3-491--53
78
HP LJ 1320/2005
2005.11.08
niekompletna,
uszkodzenie części mechaninych i elektroniki
CNHW59QR7Z
III-4-3-491--54
79
HP LJ 1320/2005
2005.11.08
niekompletna,
uszkodzenie części mechaninych i elektroniki
CNHW59gg28
III-4-3-491--55
80
HP LJ 1320/2005
2005.11.08
niekompletna,
uszkodzenie części mechaninych i elektroniki
CNHW59XS68
III-4-3-491--56
81
Drukarka HP LJ 2820 Color
2006.06.19
niekompletna,
uszkodzenie części mechaninych i elektroniki
CNFN63XGOK
III-4-3-491--58
82
Drukarka HP LJ 3052
2006.06.19
niekompletna,
CNCJ135057uszkodzenie części mechaninych i elektroniki
III-4-3-491--60
83
DrukarkaHP LJ 1320
2006.06.19
niekompletna,
uszkodzenie części mechaninych i elektroniki
CNHW61DJLR
III-4-3-491--61
84
Drukarka HP LJ 1320
2006.06.19
niekompletna,
uszkodzenie części mechaninych i elektroniki
CNHW63HGG3
III-4-3-491--62
85
Drukarka HP LJ 1320
2006.06.19
niekompletna,
uszkodzenie części mechaninych i elektroniki
CNHW63HGFK
III-4-3-491--64
86
Drukarka HP LJ 1320
2006.06.19
niekompletna,
uszkodzenie części mechaninych i elektroniki
CNHW639GYN
III-4-3-491--65
87
Drukarka HP LJ 1320
2006.06.19
niekompletna,
uszkodzenie części mechaninych i elektroniki
CNHW63HGh1
III-4-3-491--67
88
89
Drukarka laserowa OKI B6300dn
Drukarka Laserowa LP.N
2007.07.09
3E21B1CLA0008D
2008.05.30
niekompletna,
611A2361826uszkodzenie części mechaninych i elektroniki
niekompletna, uszkodzenie części mechaninych i elektroniki
III-4-3-491--68
III-4-3-491-70
90
Drukarka LP.N Samsung ML-3561 IND
3E21B1CLA00074
2008.05.30
niekompletna, uszkodzenie części mechaninych i elektroniki
III-4-3-491-71
91
Drukarka laserowa LP.N
3E21B1AA100182
2008.05.30
niekompletna, uszkodzenie części mechaninych i elektroniki
III-4-3-491-72
92
Drukarka samsung 3561
3E21B1CLA0008Z
2008.05.30
niekompletna, uszkodzenie części mechaninych i elektroniki
III-4-3-491-81
93
Drukarka laserowa OKI
711A2370370
2008.06.26
niekompletna, uszkodzenie części mechaninych i elektroniki
III-4-3-491-86
94
Drukarka laserowa OKI
804A2372876
2008 06.26
niekompletna, uszkodzenie części mechaninych i elektroniki
III-4-3-491-87
95
Drukarka laserowa OKI
804A2372874
2008.06.26
niekompletna, uszkodzenie części mechaninych i elektroniki
III-4-3-491-88
96
Drukarka laserwa OKI
712A2370685
2008.06.26
niekompletna, uszkodzenie części mechaninych i elektroniki
III-4-3-491-89
97
Drukarka OKI B6300 DTN
811A2375540
2009.06.17
niekompletna, uszkodzenie części mechaninych i elektroniki
III-4-3-491 -91
98
Drukarka OKI B720DN
AS16454020A0
2011.12.19
niekompletna, uszkodzenie części mechaninych i elektroniki
III-4-3-491-116
99
UPS
BB0342048381
2004.05.31
uszkodzona elektronika
III-4-4-491-2
100 UPS - zasilacz
BB0342048730
2004.05.31
uszkodzona elektronika
III-4-4-491-25
101 Zasilacz UPS
BB0423009811
2004.12.29
uszkodzona elektronika
III-4-4-491-32
102 Zasilacz UPS
BB0423007469
2004.12.29
uszkodzona elektronika
III-4-4-491-39
103 Zasilacz UPS
BB0423009807
2004.12.29
uszkodzona elektronika
III-4-4-491-59
104 Zasilacz UPS
BB0423003567
2004.12.29
uszkodzona elektronika
III-4-4-491-72
105 Zasilacz UPS
BB0423007427
2004.12.29
uszkodzona elektronika
III-4-4-491-83
106 Zasilacz UPS
BB0423007900
2004.12.29
uszkodzona elektronika
III-4-4-491-84
107 Zasilacz APC 650 BACK CS
3B0747X40578
2008.06.26
uszkodzona elektronika
III-4-4-491 -130
108 Skaner Plustek
571549005383
2004.11.23
uszkodzona elektronika
III-4-7-491-2
109 Minolta Kserokopiarka
2004.12.29
uszkodzona elektronika
VI-8-4-803-2
173 Notebook Fujitsu
2008.06.25
III-4-2-491-63
174 Notebook Fujitsu
2008.06.25
175 Notebook Fujitsu
2008.06.25
176 Komputer Fujitsu
2008.06.25
niekompletny, uszkodzona obudowa, matryca i elektronika
płyty głównej
niekompletny, uszkodzona obudowa, matryca i elektronika
płyty głównej
niekompletny, uszkodzona obudowa, matryca i elektronika
płyty głównej
niekompletny, uszkodzone podzespoły bazowe
177 Komputer Fujitsu
2008.06.25
niekompletny, uszkodzone podzespoły bazowe
III-4-1-491-65
III-4-2-491-76
III-4-2-491-79
III-4-2-491-98