Wzory na całki krzywoliniowe

Transkrypt

Wzory na całki krzywoliniowe
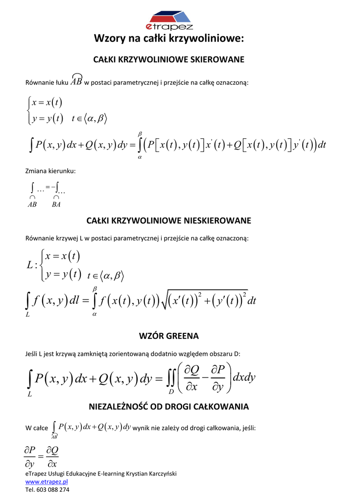
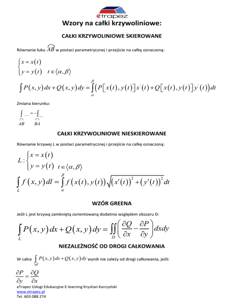
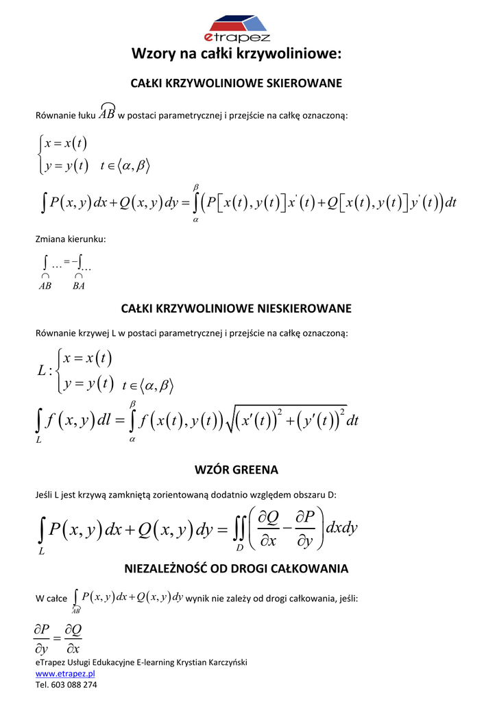
Wzory na całki krzywoliniowe:
CAŁKI KRZYWOLINIOWE SKIEROWANE
Równanie łuku

AB w postaci parametrycznej i przejście na całkę oznaczoną:

 x  x t 


 y  y t  t   , 

 P  x, y  dx  Q  x, y  dy    P  x t  , y t  x t   Q  x t  , y t  y t   dt
'
'
Zmiana kierunku:


AB
 

BA
CAŁKI KRZYWOLINIOWE NIESKIEROWANE
Równanie krzywej L w postaci parametrycznej i przejście na całkę oznaczoną:
 x  x  t 
L:
 y  y  t  t   , 


f  x, y  dl   f  x  t  , y  t  
 x t     y t   dt
2
2

L
WZÓR GREENA
Jeśli L jest krzywą zamkniętą zorientowaną dodatnio względem obszaru D:
 Q P 

P  x, y  dx  Q  x, y  dy   
 dxdy
x y 
D 
L

NIEZALEŻNOŚĆ OD DROGI CAŁKOWANIA
W całce
 P  x, y  dx  Q  x, y  dy wynik nie zależy od drogi całkowania, jeśli:

AB
P Q

y x
eTrapez Usługi Edukacyjne E-learning Krystian Karczyoski
www.etrapez.pl
Tel. 603 088 274