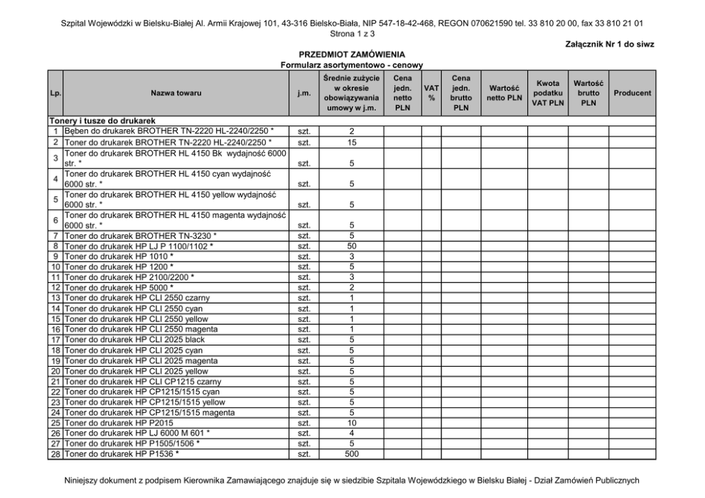
Zalacznik Nr 1 do siwz - przedmiot zamowienia

Transkrypt

Zalacznik Nr 1 do siwz - przedmiot zamowienia
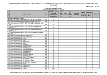
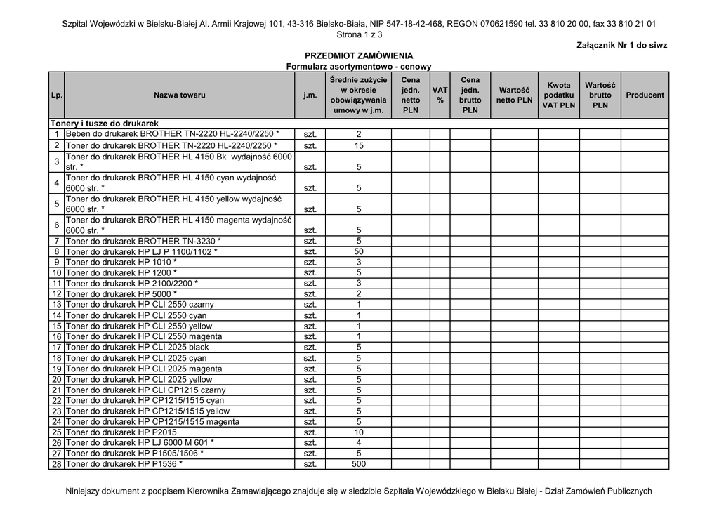
Szpital Wojewódzki w Bielsku-Białej Al. Armii Krajowej 101, 43-316 Bielsko-Biała, NIP 547-18-42-468, REGON 070621590 tel. 33 810 20 00, fax 33 810 21 01
Strona 1 z 3
Załącznik Nr 1 do siwz
PRZEDMIOT ZAMÓWIENIA
Formularz asortymentowo - cenowy
Lp.
Nazwa towaru
Tonery i tusze do drukarek
1 Bęben do drukarek BROTHER TN-2220 HL-2240/2250 *
2 Toner do drukarek BROTHER TN-2220 HL-2240/2250 *
Toner do drukarek BROTHER HL 4150 Bk wydajność 6000
3
str. *
Toner do drukarek BROTHER HL 4150 cyan wydajność
4
6000 str. *
Toner do drukarek BROTHER HL 4150 yellow wydajność
5
6000 str. *
Toner do drukarek BROTHER HL 4150 magenta wydajność
6
6000 str. *
7 Toner do drukarek BROTHER TN-3230 *
8 Toner do drukarek HP LJ P 1100/1102 *
9 Toner do drukarek HP 1010 *
10 Toner do drukarek HP 1200 *
11 Toner do drukarek HP 2100/2200 *
12 Toner do drukarek HP 5000 *
13 Toner do drukarek HP CLI 2550 czarny
14 Toner do drukarek HP CLI 2550 cyan
15 Toner do drukarek HP CLI 2550 yellow
16 Toner do drukarek HP CLI 2550 magenta
17 Toner do drukarek HP CLI 2025 black
18 Toner do drukarek HP CLI 2025 cyan
19 Toner do drukarek HP CLI 2025 magenta
20 Toner do drukarek HP CLI 2025 yellow
21 Toner do drukarek HP CLI CP1215 czarny
22 Toner do drukarek HP CP1215/1515 cyan
23 Toner do drukarek HP CP1215/1515 yellow
24 Toner do drukarek HP CP1215/1515 magenta
25 Toner do drukarek HP P2015
26 Toner do drukarek HP LJ 6000 M 601 *
27 Toner do drukarek HP P1505/1506 *
28 Toner do drukarek HP P1536 *
j.m.
Średnie zużycie
w okresie
obowiązywania
umowy w j.m.
szt.
szt.
2
15
szt.
5
szt.
5
szt.
5
szt.
szt.
szt.
szt.
szt.
szt.
szt.
szt.
szt.
szt.
szt.
szt.
szt.
szt.
szt.
szt.
szt.
szt.
szt.
szt.
szt.
szt.
szt.
5
5
50
3
5
3
2
1
1
1
1
5
5
5
5
5
5
5
5
10
4
5
500
Cena
jedn.
netto
PLN
VAT
%
Cena
jedn.
brutto
PLN
Wartość
netto PLN
Kwota
podatku
VAT PLN
Wartość
brutto
PLN
Producent
Niniejszy dokument z podpisem Kierownika Zamawiającego znajduje się w siedzibie Szpitala Wojewódzkiego w Bielsku Białej - Dział Zamówień Publicznych
Szpital Wojewódzki w Bielsku-Białej Al. Armii Krajowej 101, 43-316 Bielsko-Biała, NIP 547-18-42-468, REGON 070621590 tel. 33 810 20 00, fax 33 810 21 01
Strona 2 z 3
szt.
300
29 Toner do drukarek HP P2035 *
szt.
5
30 Toner do drukarek HP P2055 *
Toner do drukarek OKI B2500/2520MFP wydajność: 4000
31
str. *
szt.
10
szt.
5
32 Toner do drukarek SAMSUNG ML-1660 *
szt.
15
33 Tusz Brother DCP J4110 tusz LC-127XL-BK *
szt.
15
34 Tusz Brother DCP J4110 tusz LC-125XL-C (cyan) XL *
szt.
15
35 Tusz Brother DCP J4110 tusz LC-125XL-M (magenta) XL *
szt.
15
36 Tusz Brother DCP J4110 tusz LC-125XL-Y (yellow) XL *
szt.
2
37 Toner Brother MFC-7860DW *
Bęben
Brother
MFC-7860DW
*
szt.
10
38
Toner do drukarek HP LaserJet Pro 400 M425dn wydajność
39
8500 str.*
szt.
70
Toner do drukarek HP LaserJet Pro 400 M225dn wydajność
40
2200 str.*
szt.
100
szt.
6
41 Toner do drukarki OKI B432
szt.
3
42 Bęben do drukarki OKI B432
szt.
4
43 Toner do drukarki Xerox Phaser 3250 *
szt.
5
44 Tusz do drukarki Canon MG5450 XL-BK *
szt.
5
45 Tusz do drukarki Canon MG5450 (cyan) XL *
szt.
5
46 Tusz do drukarki Canon MG5450 (magenta) XL *
szt.
5
47 Tusz do drukarki Canon MG5450 (yellow) XL *
szt.
2
48 Tusz do drukarek HP nr 344
szt.
12
49 Tusz do drukarek HP nr 339
szt.
10
50 Tusz RIMAGE RB1 czarny
szt.
10
51 Tusz RIMAGE RC1 kolor
Tonery do kserokopiarek
Toner do kserokopiarek LEXMARK X 73 - chirurgia ogólna i
52
naczyniowa
szt.
6
Toner do kserokopiarek KONICA MINOLTA BIZHUB 1621 53
archiwum
szt.
5
szt.
12
54 Toner do kserokopiarek MINOLTA EP 1054 - ZDO
szt.
4
55 Toner do kserokopiarek MINOLTA DI 520 - p.315
szt.
10
56 Toner do kserokopiarek BIZHUB 250 - p.315
Toner do kserokopiarek KONICA MINOLTA DI 3510 57
centralna rejestracja
szt.
5
Toner do kserokopiarek KONICA MINOLTA BIZHUB 1621 58
oddział ratunkowy
szt.
24
Toner do kserokopiarek MINOLTA BIZHUB 185 59
statystyka, rzecznik prasowy
szt.
6
szt.
5
60 Pianka czyszcząca do plastiku
Niniejszy dokument z podpisem Kierownika Zamawiającego znajduje się w siedzibie Szpitala Wojewódzkiego w Bielsku Białej - Dział Zamówień Publicznych
Szpital Wojewódzki w Bielsku-Białej Al. Armii Krajowej 101, 43-316 Bielsko-Biała, NIP 547-18-42-468, REGON 070621590 tel. 33 810 20 00, fax 33 810 21 01
Strona 3 z 3
szt.
5
61 Pianka czyszcząca do monitorów
szt.
2
62 Bęben OKI B410/B430/B440
Bęben do faxów PANASONIC KX - FA84E / FL511 / 512 /
63
513
szt.
1
szt.
25 000
64 Płyty CD-R 700MB do nadruku
szt.
3 000
65 Płyty DVD-R 4.7 GB
Etykieta termiczna 40 mm x 25 mm (wielkość rolki: 1000
66
sztuk)
rolka
450
szt.
10
67 Kabel USB do drukarki 1.8 m
Kabel UTP kat. 5E linka (zawartość opakowania: kabel o
68
długości ok.305 m.)
op.
2
szt.
150
69 Kabel UTP linka 2M KAT. 5E
szt.
150
70 Kabel UTP linka 3M KAT. 5E
szt.
200
71 Kabel UTP linka 4M KAT. 5E
szt.
50
72 Kaseta do drukarek EPSON ERC-09
szt.
3
73 Kaseta do drukarek EPSON LX-350/300
szt.
5
74 Kaseta do drukarek OKI 320/321 *
szt.
5
75 Kaseta do drukarek OKI 390/3390 *
szt.
2
76 Kaseta do drukarek OKI 590/591 *
szt.
20
77 Klawiatura USB
szt.
28 000
78 Koperta na CD/DVD
szt.
20
79 Mysz optyczna USB
rolka
20
80 Etykiety 60 x 25 (wielkość rolki: 1000 sztuk)
szt.
10
81 SWITCH 5X10/100 DESKTOP
szt.
15
82 Taśma LTO3 Ultrium 3 400/800 GB
szt.
15
83 Taśma LTO4 Ultrium 4 800/1600 GB
szt.
5
84 Toner do faxów PANASONIC KX-FA83E KX-FL511/512
szt.
10
85 Zasilacz do komputera 510W
zestaw
100
86 Wtyczka RJ45 + gumka (zestaw)
szt.
50
87 Końcówka RJ11
88 Łącznik kabla telefonicznego z żelem
szt.
200
Razem wartość zamówienia
* Zamawiajacy dopuszcza zaoferowanie zamienników. W przypadku zaoferowania zamienników, Wykonawca ponosi odpowiedzialność za uszkodzenia
sprzętu komputerowego wynikające z wadliwej jakości zamienników.
Zatwierdził
Dyrektor
Szpitala Wojewódzkiego w Bielsku-Białej
Ryszard Batycki
Niniejszy dokument z podpisem Kierownika Zamawiającego znajduje się w siedzibie Szpitala Wojewódzkiego w Bielsku Białej - Dział Zamówień Publicznych