Kolokwium I 2015/16

Transkrypt

Kolokwium I 2015/16
25.11.2015 r.
Imi¦:
Kolokwium I
Nazwisko:
zestaw A
nr ind.:
Punktacja przy zadaniach. Kolejno±¢ rozwi¡zywania dowolna.
Po zako«czeniu rozwi¡zywania zada« prosz¦ wpisa¢ odpowiedzi na tej kartce i odda¢ j¡
razem z rozwi¡zaniami. (Za same odpowiedzi nie ma »adnych punktów.)
Czas rozwi¡zywania - 65 min.
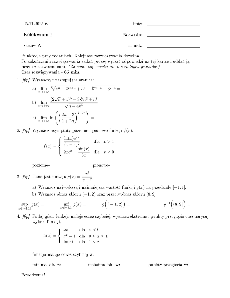
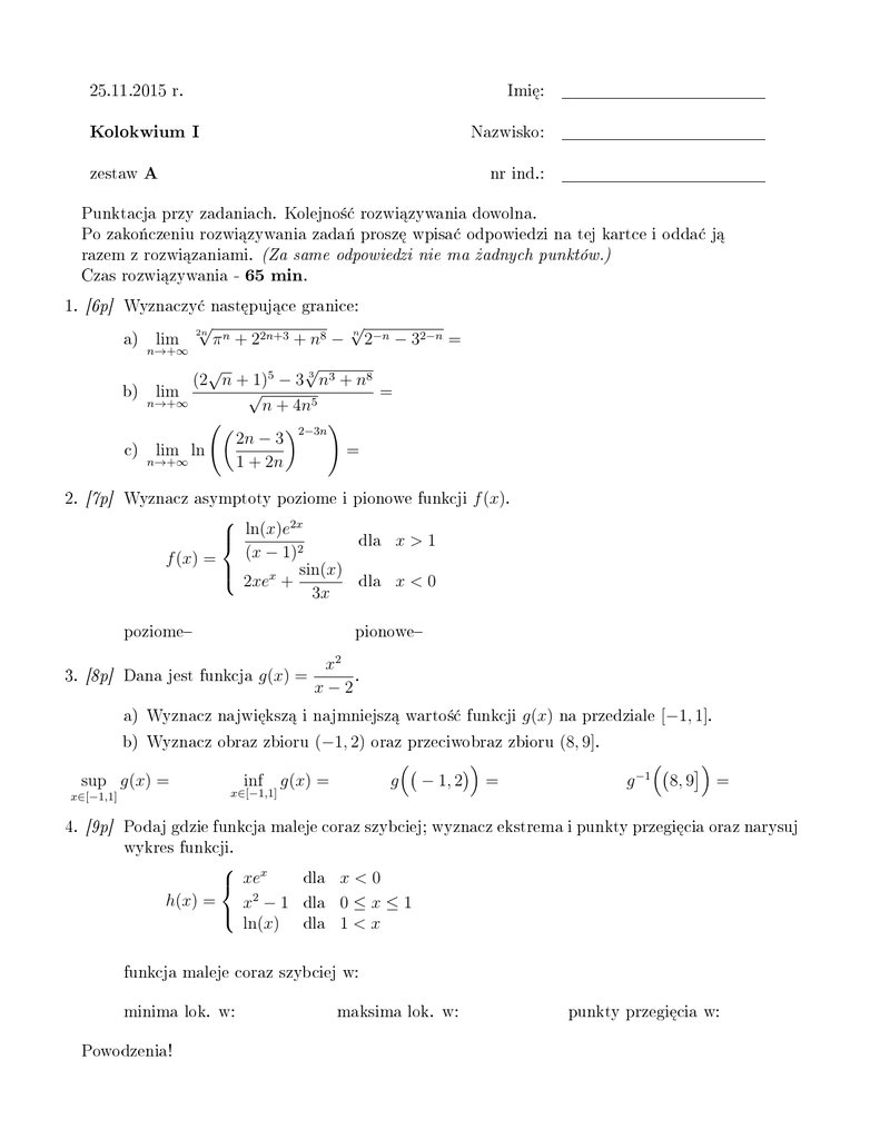
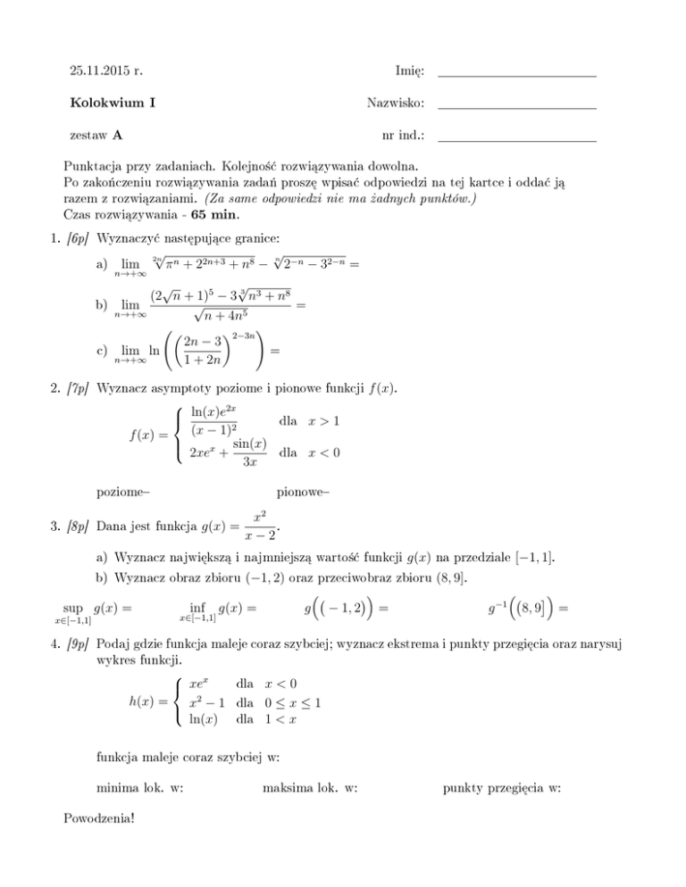
1. [6p] Wyznaczy¢ nast¦puj¡ce granice:
√
√
2n
n
π n + 22n+3 + n8 − 2−n − 32−n =
a) lim
n→+∞
√
√
(2 n + 1)5 − 3 3 n3 + n8
√
b) lim
=
n→+∞
n + 4n5
2−3n !
2n − 3
c) lim ln
=
n→+∞
1 + 2n
2. [7p] Wyznacz asymptoty poziome i pionowe funkcji f (x).

ln(x)e2x


dla x > 1
2
(x
−
1)
f (x) =

 2xex + sin(x) dla x < 0
3x
poziome
pionowe
3. [8p] Dana jest funkcja g(x) =
x2
.
x−2
a) Wyznacz najwi¦ksz¡ i najmniejsz¡ warto±¢ funkcji g(x) na przedziale [−1, 1].
b) Wyznacz obraz zbioru (−1, 2) oraz przeciwobraz zbioru (8, 9].
sup g(x) =
inf g(x) =
g − 1, 2 =
g −1
8, 9 =
x∈[−1,1]
x∈[−1,1]
4. [9p] Podaj gdzie funkcja maleje coraz szybciej; wyznacz ekstrema i punkty przegi¦cia oraz narysuj
wykres funkcji.
 x
dla x < 0
 xe
2
h(x) =
x − 1 dla 0 ≤ x ≤ 1

ln(x) dla 1 < x
funkcja maleje coraz szybciej w:
minima lok. w:
Powodzenia!
maksima lok. w:
punkty przegi¦cia w: