termodynamiczne aspekty koncepcji obnizania emisji tlenkow azotu

Transkrypt

termodynamiczne aspekty koncepcji obnizania emisji tlenkow azotu
Journal of Kones. Combustion Engines, Vol 8, No 3-4, 2001
TERMODYNAMICZNE ASPEKTY KONCEPCJI OBNIZANIA
EMISJI TLENKOW AZOTU W SILNIKACH WYSOKOPRF;ZNYCH
dr into lreneusz Pielecha
Politechnika Poznanska
Instytut Silnikow Spalinowych i Podstaw Konstrukcji Maszyn
fax. 061/665-22-07
tel. 061/665-21-18
e-mail: [email protected]
Slowa k1uczowe: silnik ZS, aktywacja tenniczna paliwa, emisja skladnikow szkodliwych.
Streszczenie: Silniki wysokoprezne wykazuja wiele niekorzystnych wlasciwosci, do ktorych nalezy
zaliczyc wzglednie wysoka emisje tlenkow azotu i czastek stalych. Najbardziej efektywna metoda
obnizenia emisji skladnikow szkodliwych spalin jest bezposrednia ingerencja w proces spalania,
m.in, koncepcja zewnetrznej aktywacji termicznej wtryskiwanego paliwa. Artyku/ zawiera opis
koncepcji zewnetrznej aktywacji tennicznej wtryskiwanego paliwa jako sposobu obnizenia tych
niekorzystnych efektow, Przedstawiono silnikowe badania procesu cieplnego z analiza jego skutkow w postaci przebiegu wywiazywania ciep/a i ich wpIyw na emisje tlenkow azotu.
Wysokoprezne silniki spalinowe, na obecnym etapie rozwoju, cechuja sie niewatpliwie
wieloma ogolnie znanymi zaletami, z ktorych relatywnie niskie zuzycie paliwa (towarzyszy mu odpowiednio mala emisja dwutlenku wegla do atmosfery) stanowi zasadniczy argument, za jak najszerszym stosowaniem tego typu silnikow [2]. Jednoczesnie silniki te
wykazuja wiele niekorzystnych wlasciwosci, do ktorych nalezy zaliczyc wzglednie wysoka
emisje tlenkow azotu (NOx) i trudna do obnizenia emisje czastek stalych (PM).
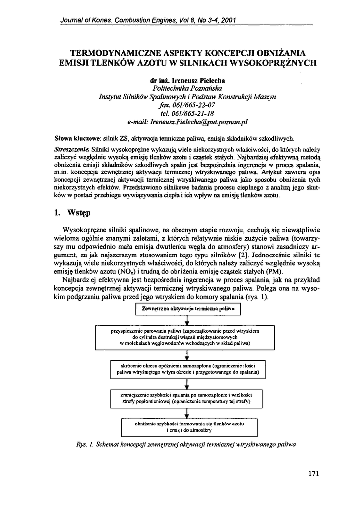
Najbardziej efektywna jest bezposrednia ingerencja w proces spalania, jak na przyklad
koncepcja zewnetrznej aktywacji termicznej wtryskiwanego paliwa. Polega ona na wysokim podgrzaniu paliwa przed jego wtryskiem do komory spalania (rys. 1).
I
Zew"I'trzna aktywacja lennie'Da pallwa
I
+
przyspieszenie parowania paliwa (zapoczatkowanie przed wtryskiem
do cylindra destrukcji wifl::ZaD miedzyatomowych
w molekulach weglowodorow wchodzacych w sklad paliwa)
•
skrOcenie okresuop6inienia samozapfonu (ograniczenie ilosci
paliwa wtrysnietego w tym okresie i przygolowanego do spalania)
+
zmniejszenie szybkosci spalania po samozaplonie i wielkosci
strefy poplomieniowej (ograniczenie temperatury tej strefy)
+
obnizenie szybkosci formowania sitr tlenk6wazotu
i emisji do atmosfery
Rys. 1. Schemat koncepcji zewnetrznej aktywacji termicznej wtryskiwanego paliwa
171
Koncepcja opisywanego zabiegu, jako pr6by oddzialywania na chemiczne skutki procesu spalania w silniku wysokopreznym jest w zasadzie nowa i zostala sformulowana w Zakladzie Silnik6w Spalinowych Politechniki Poznanskiej w wyniku kilkuletnich prac [3, 6,
7]. Wspomniane dotychczasowe prace z osrodka poznanskiego, wykazaly jedynie ogolna
shisznosc (skutecznosc) koncepcji, przy pominieciu eksperyment6w potwierdzajacych i
poglebiajacych warstwe interpretacyjna uzyskanych efekt6w. Celem obecnych prac jest
rozwiniecie badan nad wyjasnieniem wplywu zewnetrznej aktywacji termicznej paliwa
jeszcze przed jego wtryskiem do cylindra na przebieg i skutki spalania w silniku wysokopreznym, w szczegolnosci na ograniczenie emisji NO,.
Zasadnicze dzialania ograniczajace emisje NO, mozliwe sa w procesie tworzenia mieszanki palnej, jej przygotowaniu do samozaplonu i samym spalaniu.
Wykladniczy charakter zaleznosci szybkosci formowania sie NO od temperatury, wyznacza postulat dzialan zmierzajacych do ograniczenia emisji tlenkow azotu w silnikach
wysokopreznych:
obnizenie temperatury stref plomieniowej i poplomieniowej, w ktorych zachodzi formowanie sie t1enku azotu.
Zasadniczy wplyw na wartosc temperatury w strefach formowania sie NO maja warunki, przebieg i efekty procesu spalania w jego poczatkowej fazie, m.in.:
- sklad mieszaniny palnej, okreslajacy poziom temperatury strefy plomieniowej,
- ilosc i szybkosc wydzielonego ciepla w strefie plomieniowej i przekazanego do strefy
poplomieniowej.
Intensywny efekt cieplny na poczatku procesu spalania zalezy od ilosci paliwa spalonego w fazie kinetycznej i od usytuowania tej fazy wzgledem GMP: produkty spalania zapoczatkowanego wyrainie przed tym polozeniern tloka, podlegaja dalszemu sprezaniu przez
tlok i przez cisnieniowa fale uderzeniowa, co wywoluje WZTOSt ich temperatury, sprzyjajacy wydzielaniu sie NO.
W celu realizacji postulatu obnizenia temperatury w strefach formowania sie t1enku
azotu nalezy:
ograniczyc ilosc i szybkosc spalania paliwa w fazie kinetycznej oraz nie przyspieszac
jej zapoczatkowania,
Szybkosc spalania w pierwszej fazie podlega prawom kinetyki arrheniusowskiej, tj.
silnie zalezy od temperatury i stezenia reagent6w. Plomieniem kinetycznym spala sie mieszanka, ktora powstala z ladunku powietrza i tej czesci dawki paliwa, ktora zostala wtrysnieta do cylindra w okresie opoznienia samozaplonu (rys. 2). W tym relatywnie dhigim
czasie dostepnym dla tworzenia mieszanki palnej nastapilo dobre wymieszanie powietrza i
par paliwa do skladu i temperatury, ktore mozna uznac za jednorodne. Spalac sie one beda
plomieniem kinetycznym z bardzo duza szybkoscia, generujac intensywny strurnien ciepla
przekazywany dalej do niewielkiej jeszcze strefy produkt6w spalania, co wydatnie podnosi
jej temperature (nie jest to jednak pozadane).
W celu spelnienia drugiego postulatu nalezy:
- ograniczyc ilosc paliwa wtrysnieta w okresie opoznienia samozaplonu, w celu zmniejszenia dysponowanej masy paliwa spalanego nastepnie w plomieniu kinetycznym, albo
- skrocic okres op6inienia samozaplonu i uzyskac taki sam efekt.
Postanowiono zdecydowanie podwyzszyc temperature paliwa jeszcze przed wtryskiem
do cylindra, co powinno:
- korzystnie wplynac na rozpylenie paliwa,
- przyspieszyc nagrzewanie kropel paliwa i ich parowanie,
- zapoczatkowac chemiczne reakcje przedplomienne (glownie rozpad molekul weglowodor6w, wchodzacych w sklad paliwa i powstawanie rodnikow),
I
I
172
obnizyc efekt schlodzenia ladunku, bedacy wynikiem oddania czesci jego energii na
endotermiczne procesy przedplomienne.
Skr6cenie okresu opoznienia
III
"
samozaplonu rna sprzyjac obnizeniu
Muowa szybkoU
emisji NO., spowoduje wzrost tej
Wb'ysku palMa
czesci dawki paliwa, kt6ra zostanie
wtrysnieta po rozpoczeciu spalania. I!.
spalllni. pallWa
Zostanie ona praktycznie podana do ]
plomienia, gdzie sa warunki sprzy- S
=
jajace reakcjom pirotitycznym: wy- ",I
soka temperatura i ograniczony
dostep t1enu w wyniku jego czesciowego zuzycia w plomieniu ki-20
to
20
30
40
-'a GM!'
Kill obrotu.8Iu kOfbowego a.
netycznym, jednak przede wszystkim w wyniku niezadowalajacej Rys. 2. Schemat typowych przebiegow: masowej szybkosct
intensywnosci mieszania w dyfuwtrysku paliwa i masowej szybkosci jego spalania
zyjnej fazie spalania. Taka sytuacja
prowadzi do wzmozenia formowania
sie sadzy w plomieniu silnika wysokopreznego. Jednoczesnie na skutek
wysokiego podgrzania patiwa zma- 210 vleje jego lepkosc i napiecie powierzchniowe. Pozwala to oczekiwac
lepszego rozpylenia paliwa, co skut-
!
~M~~'~
=
...
kowac moze zwiekszeniem szybkosci
parowania i mieszania par z powietrzem, a zatem i szybkosci spalania w
plomieniu dyfuzyjnym. Efekt ten
sprzyja ograniczeniu emitowanej
Rys. 3. Schemat ukladu nagrzewania paliwa: 1 - pompa
sadzy, gl6wnie przez intensyfikacje
wtryskowa. 2 - przekladka izolacyjna, 3 - przewod
jej wypalania i moze konkurowac z wtryskowy, 4 - silnikwysokoprezny. 5 - mostkowa przywczesniej opisanym niekorzystnym
stawka korekcyjna, 6 - transformator zasilajqcy, 7skutkiem termicznej aktywacji patiogranicznik temperatury przewodu wtryskowego, 8wa, zwiazanym ze skr6ceniem opozmiernik temperatury paliwa
nienia samozaplonu i zwiekszeniem
masy paliwa podanego do plomienia.
Zbudowany uklad wykorzystywal zasade nagrzewania rezystancyjnego. Podgrzewanie
paliwa reatizowano miedzy pompa wtryskowa
Tablica 1
Dane techniczne silnikaSB3.1
a wtryskiwaczem na odcinku przewodu wtryskowego (rys. 3). Autotransformator zapewnial
1
I. cvl.
plynna regulacje temperatury paliwa w zakresie
146x 127mm
SxD
50-220°C. Energie do podgrzewania patiwa
1850 em'
V..
pobierano z obcego ir6dla, jakim byla siec
15,75
E
elektryczna i opornosc przewodu wtryskowego,
DILMK 140/2 (4otwory
rozpylacz
przez kt6ry przeplywal prad 0 wysokim natezeo srednicv 0 34 mm
4°przedGMP
niu. Przewod wtryskowy zostal odizolowany od
<X.otwdol
57°poDMP
pozostalych element6w silnika. Kontrola temazamk dol
42°
przed DMP
peratury wtryskiwanego paliwa odbywala sie
<X.otwwvl
24° po GMP
przy wtryskiwaczu.
a""""wvl
175 ±0,5 MPa
Potw wtr
26° przedGMP
CLm
173
Badania przeprowadzono na jednocylindrowym silniku badawczym SB3.1, ktorego
dane techniczne przedstawiono w tablicy 1.
2. Badania wizualizacyjne i silnikowe
Badania pozasilnikowe polegaly na wizualizacyjnej ocenie strugi rozpylonego paliwa,
poddanego aktywacji terrnicznej. Paliwo wtryskiwane bylo do komory, do ktorej wprowadzono endoskop w celu oceny zmian strugi wtryskiwanej dawki paliwa ze zmiana jego temperatury.
Zarejestrowany podczas badan silnikowych przebieg zmian cisnienia paliwa przed
wtryskiwaczem potwierdzil jego oczekiwany spadek ze wzrostem temperatury paliwa (rys.
4). Zmiana cisnienia wtryskiwanego paliwa, gestosci, lepkosci i napiecia powierzchniowego powoduje zmiany w sredniej srednicy kropli wedlug Sautera (rys. 5).
Badania przeprowadzono za pomoca komputerowego systemu rejestracji obrazu Engine
Video System EVS 513D firmy AVL. Cyfrowy system rejestracji zdjec znajduje zastosowanie do stroboskopowych obserwacji zjawisk okresowych, zar6wno na silniku spalino""
wym, jak i na stanowisku
pozasilnikowyrn.
Mo-l00Nm
SO"C
n'" 1600obrlmln
Badania przeprowadzo'" 180"C
~
SOl
220"C
no przy fabrycznych nastawach ukladu wtryskowego
: ..•...
silnika.
Obrazy strug rozpylone,oo
go paliwa 0 roznej temperaturze, lecz po jednako'~
.
'-1
wym
czasie od chwili po"....j •
~
•
•
•,,)0 -25 -20 -15 -11 -5
wtrysku, pokazano w
• , lO rs " czatku
GI"OWlq
tablicy 2. Ze wzgledu na
Rys. 4. Przebteg cisnienia wtrysku przy roznych temperaturach rozne poczatki wtrysku zepaliwa
stawiono
cbronologicznie
odpowiadajace sobie katy
poczatku wtrysku z dekrementem IOOWP: dla t = 50°C kat poczatku wtrysku wynosi
1°0WP natomiast dla t = 160 i 220°C odpowiednio: 1,8 i 2,4°0WP.
Wstepna
obserwacja
48,----------,-----,------------,----------,-------,
obraz6w strug rozpylonego
paliwa pozwala zauwazyc
"
wplyw temperatury wtryskiwanego paliwa na jako"
sciowy charakter tych strug:
ze wzrostem tp.1 zwieksza
- ---------!
~b?'''':'':' t········...... . +f-=lS:O;O"qC sie objetosc i zmniejsza
........... ...
M._'OON.
• •• !'O"C
"optyczna gestosc" po15
• '"" l60GobrI.i11
-.L
L __-l~~~~~-=-:::22:::0"=:JC szczegolnych strug, co
10 L
_,.
. . . , mozna ll\.czyc ze zroznico.15
·lO
.rowtQ
waniem rozpylenia paliwa.
Rys. 5. Srednia srednica kropli SMD w funkcj! kqta obrotuwalu
Przeprowadzone badania
korbowego w zaleznosct od temperatury paliwa
pozwalaja stwierdzic, iz
temperatura wtryskiwanego paliwa wywiera znaczny wplyw na wystepowanie tzw. dotryskow (tab. 3), czego nie obserwuje sie przy nie podgrzanym paliwie. Zjawisko dotrysku
moze bye przyczyna wystepowania nadmiernej emisji skladnik6w toksycznych (glownie
...
l\
v// '\
/VI
...
\
t«
qv
~vr
-~
174
V,"-
PM) i zwiekszonego zuzycia paliwa podczas badan silnikowych. Pojawiajace sie na obrazach wyraine zwiekszenie "gCilstosci optycznej" strugi przy wyplywie paliwa z otworkow
rozpylacza pod koniec .wtrysku wlasciwego" potwierdza te teze. Wsrod wynikow pomiarow uwage zwracaja te, ktore dotycza biegu jalowego i bardzo malych obciazen silnika. W
tych warunkach odnotowac trzeba niekorzystne oddzialywanie wysokiego podgrzania paliwa na prace ukladu wtryskowego: staje sie ona niestabilna, pojawiaja sie dotryski (rys. 6).
Efekt ten wzmagal siCil w miare wzrostu !paJ i zmniejszania sie dawki paliwa. Wywolal tez
niekorzystny skutek w zakresie ekonomicznosci pracy silnika: podane zbyt pozno, zle rozpylone paliwo spalac sie bedzie przewlekle i z mniejsza sprawnoscia przejmowania ciepla
przez czynnik roboczy. Objawilo sie to wzmozonyrn stezeniem zwiazkow szkodliwych w
spalinach silnika.
Tablica 2
Strugi rozpylonego paliwa 0 roznej temperaturze dla jednakowej chwili, liczonej od poczatku
wtrysku
Ipal =
50°C
I
3
5
Tablica 3
Parametryzjawiskadotrysku paliwa (t,.,,= 220'C, P, wtr = 17,5 MPa)
Pierwszy dotrysk
10,2'OWP
Rozpyleniepaliwa
w czasie dotrysku
1O,6'OWP
175
Mozna przyjllc, ze zaobserwowana niestabilnosc pracy ukladu wtryskowego wynika z
drastycznego zmniejszenia sie (ze wzrostem temperatury paliwa) tlumienia w ukladzie
sprezystym, jaki tworzy przewod wtryskowy i wtryskiwacz, co w efekcie prowadzi zwiekszonego wplywu zjawisk falowych na proces wtrysku paliwa. Zjawisko to i jego skutki
okazaly sie tak intensywne, ze przyjeto je jako ograniczajace podgrzewanie paliwa w warunkach biegu jalowego i bardzo malych obciazea silnika. Uzyskane znaczace korzysci w
zakresie stezenia NO. wywolaly jednoczesnie wzrost stezenia w spalinach: PM natomiast
przede wszystkim - niedopuszczalnie duze zwiekszenie zuzycia paliwa przez silnik.
".
!
,---~--.,---~--~-~--.,---~--,
300
--
150
----
11M•
J 150
100
..
---
.
............ :
......_
~
../-\ "'r
;.
.......... ~ ..-
·············-i-
---.-i--;-' .....,.......
!:
- -
..
-~ :-~
-"
·w
,
,
."
-15
,
i.c~
n
;.
.......... --,.;
..
:[
.,
.
~.-
• ;:
-..~--.i--·
..
~.\ ············--f······
:i
•
,
Rys. 6. Zmiany przebiegu cisnienia wtrysku na biegu jalowym
silnika
176
odnotowane zmiany w dlugotrwaloSci okresu opoznienia samozaplonu oraz w rozdziale
dawki paliwa na czesci: wtrysnieta w tym okresie i podana do plomienia, musialy skutkowac zrnianami w przebiegu spalania paliwe/wywiazywania sie ciepla w cylindrze silnika (rys. 10). Widoczny jest odmienny ksztah krzywych wzglednej szybkosci spalania/wywiazywania si~ ciepla !!xl~CL: wyrazne obnizenie szybkosci spalania w jego
pierwszej (kinetycznej) fazie (rys. II) i jej zwiekszenie w fazie dyfuzyjnej (rys. 12).
Efekty te Sll korzystne z punktu widzenia koncepcji obnizania t1enk6w azotu i sadzy.
Zrniany w szybkosci wywiazywania si~ ciepla w fazie kinetycznej i dyfuzyjnej powodowaly spadek ilosci ciepla wywiazanego w fazach spalania: kinetycznego - Xkin (rys.
13) i dyfuzyjnego. Istotny dla redukcji NO. spadek Xkin jest bardzo wyrainy i - w zaleznosci od warunk6w pracy silnika - stanowi od 40 do 80% wartosci wystepujacych przy
paliwie niepodgrzanym.
--.........
:. • ~• • • r• · tu • • :.· • •·····.~n EJ
....... ~'F~.sr=
p•• -,,, . .
...............
•
'
1&,6
~
---------·····f
7
~
~
~
.'---_--'-_ _-'-_ _"---_---'-_-----.J
n. ... ..., 1.
10
46
211
U8
.
.. ..
.
...
0,5
..............•. !
ll,J
...
··············f ............• -:--- -----.. --f--·--
•••
+..
.. ...''''
. ..
..
Rys. 9. Wzgledna ilosc paliwa wtrysnietapo
samozaplonie
...
...
I::
J'"
~-~--~--~-~--~
.... ;...
.... ··········1
+..
==+~-.L.._
1·.. · · · · · ·+
0."
--
t,,,
-.-.-
'00
.
u,u~••••··
:t
} ...
----···-·--T..··.............•.. ..
................ -
..
~
~
.
-f-..
.
--1\Io-IOONli.
-
1211
.... rCJ
161
...
'"
Rys. 10. Wzgledna ilosc paliwa spalona w plomieniu
kinetycznym w zaleznosci od temperatury paliwa
.........
'''14
~-~--~-~--~----,
-.~
-
-..-.
I.... · · · · · · · · · · · · · · ·
--Mo"'IO~
_MoaIOONi:a
.
>II
Rys. 11. Maksymalna szybkose spalania
kinetycznego w zaleznosci od temperatury
paliwa
'...
EJ
_"I~'"
_=2li"OWK
.......... ..-
~:....
j
___1\Io_IONa
•• L_-'-_---'_ _-'-_---'-_-----.J
.
•
Je
.........•..
..•...... !._-
.ff
120
.
1,25 •.••.••••.•••• j
"I
:
~-~-~--~-~-~
:
:
~
_""':'_-i-'--'"
'--- .. ---- ----.;.. ------- -----.--.
-- ---- .. -.. --.-
.
samozaplonu w zaleznosci od temperatury paliwa
.
~ 0,4 .
.
... ""
Rys. 8. Wzgl~dna tlos«paliwa wtrysnieta w okresie
~-~--~--~--~---,
.-
+..
······f
~
..,L-_L..-_L..-_L..-_L..---l
Rys. 7. Opozmenie samozaplonu w zaleznosci od temperatury paliwa
','
-- - ;
..
':"
.
'"
Rys. 12. Maksymalna szybkos« spalania dyfuzyjnego w
zaleznosci od temperatury paliwa
177
nia optymalnych wartosci tp." aby laczny efekt tego zabiegu (w postaci minimalizacji emisji i naklad6w energetycznych) by! najkorzystniejszy wedlug zdefiniowanych kryteri6w
[5]. Zastosowano tzw. pseudopolioptymalizacje [4] Postepowanie polegajace na wprowadzeniu wielu kryteri6w optymalizacji do jednego kryterium zbiorczego.
Kryterium optymalnosci zdefiniowano funkcja celu FC, podlegajaca minimalizacji,
stanowiaca sume wazona efekt6w stosowania podgrzewania paliwa. Funkeje te przyjeto
wyznaczac osobno dla kazdej fazy cyklu ECE R49. W celu unormowania wartosci wielkosci wchodzacych do funkcji celu uznano, ze wplyw tpal na emisje analizowanych zwiazkow
szkodliwych i na naklady energii oceniany bedzie wedlug zmian ich wartosci wzglednych,
Zaproponowano wiec funkcje celu w postaei:
FC(tp.J; = a- NO, (tp.J; + b- PM(tp.J; + c- CO(t p,,), + d- HC(tp~); + e- Pr (t~);
(I)
gdzie: i = 1,2, ..., 13 - numery kolejnych faz cyklu ECE R49, przykladowo:
NO.(t~)= NO.(t~)JNO.(SO);
(Ia)
Pr (t~) = Pr (t~ )JPr (220),
(Ib)
gdzie: NO, (t~);; PM(t",,),; CO(t~),; HC(t~); oznaczaja emisje, w i-tej fazie cyklu, zalezne od temperatury paliwa, odpowiednio: tlenkow azotu, czastek stalych, t1enku wegla,
niespalonych weglowodorow, a Pl:(tpoJ)i oznacza naklad mocy w i-tej fazie cyklu na utrzymanie silnika w warunkach M, i n odpowiadajacych wymaganiom tej fazy i na podgrzanie
(w tych warunkach) strumienia masy wtryskiwanego paliwa do temperatury tpal. Podobnie
zapisy zawierajace (SO) lub (220) - oznaczaja jak wyzej, dla tpoJ = SO°C (paliwo nie podgrzewane) lub 220°C.
Suma wsp6lczynnik6w wagowych w r6wnaniu (I) spelniac musi warunek:
a+b+c+d+e=l,
(2)
a wartosci poszczegolnych skladnikow sumy, stanowia element decyzyjny procedury
optymalizacyjnej.
W procedurze tej uwzgledniono dwa ograniczenia:
I)
SO°C < tpal < 220°C - zakres zastosowanych w eksperymencie temperatur;
(3 a)
- ustalono arbitralnie: dopuszcza sie
2)
(3b
S-procentowy przyrost zuzycia paliwa
e
""
G,(SO)
,
~G(t )=G,(t~)-G,(SO)<IOS
Do obliczenia funkcji celu przy dowolnej wartosci temperatury paliwa konieczne byly
modele zaleznosci wielkosci wchodzacych do funkcji celu od tpal, tj. przedstawienie tych
zaleznosci w postaci funkcji ciaglych [S]. Pamietajac, ze aspekt ekologiczny dotyczy
przede wszystkim emisji NO x i PM z jednoczesna kontrola zuzycia paliwa, wybrano przykladowe wartosci wag poszczeg61nych skladnik6w funkcji celu, kt6re przedstawiono w
tablicy 4.
Tablica 4
Przyjete wartosci wsp6lczynnik6wwagowych poszczeg6lnychskladnik6w funkcji celu
Skladniki funkcji celu
wspolczynnik wagowy
NO,
0,5
PM
0,3
CO
0,07
HC
0,07
Pr
0,06
179
Poszukujac minimum funkcji celu (1) z krokiem ~tpal = 1°C i kontrolujac spelnienie
ograniczenia drugiego (3b) otrzymano wyniki , kt6re wykorzystano do obliczen emisji
tlenkow azotu i czastek stalych w calym tescie (rys. 14). Emisja zwiazkow szkodliwych w
tescie ECE R49 przez silnik za,ao
silany paliwem aktywowanym
termicznie, wykazuje wzgledem
as
emisji przy pracy silnika na paliwie niepodgrzanym:
•l "
- 13% zmniejszenie wartosci ! ..
J; sa
emisji tlenk6w azotu;
30% obnizenie emisji PM
~
orazHC;
20
5% obnizenie emisji CO.
10
Ekologicznie
korzystne
a
NO.
PM
efekty uzyskano kosztem zwiekszonego 0 ponad 4% zuzycia
Rys. 14. Wzgledne wartosci emisji szkodliwych skladnikow
paliwa oraz poniesionych naklaspalin oraz zuzycia paliwa w tescie 13-fazowym przed i po
dow energii na podgrzewanie
optymalizacjitemperatury wtryskiwanego paliwa
paliwa.
.
...La
3. Wnioski
Na podstawie przeprowadzonych studiow i badan wlasnych mozna sformulowac nastepujace wnioski:
1. Zabieg aktywacji termicznej wtryskiwanego paliwa wywolal zmiany w przebiegu wtrysku i rozpylenia paliwa, m.in.: skrocenie opoznienia sarnozaplonu i zmniej szenie masy
paliwa wtrysnietego w tym okresie, ograniczenie poczatkowej szybkosci wywiazywania
sie ciepla, co skutkowalo obnizeniem temperatury stref formowania sie NO i jego produkcji.
2. Uzyskany korzystny efekt ekologiczny wymagal dodatkowego strumienia energii doprowadzonego do silnika, wyrazonego: przez zwiekszenie zuzycia paliwa w tescie i
przez naklad mocy elektrycznej przeznaczony na podgrzewanie paliwa.
3. Konieczne jest blizsze rozpoznanie zjawisk wystepujacych w ukladzie wytryskowym,
pracujacym na wysoko podgrzanym paliwie podczas biegu jalowego silnika. Skutki
aktywacji termicznej, moga przyjac inna charakterystyke ilosciowa, jezeli zmianie ilosciowej ulegna te wielkosci, kt6re maja wplyw na prace ukladu wtryskowego.
4. Zbadanie wplywu wysokiego podgrzania paliwa na wskazniki pracy silnika po wprowadzeniu zmian konstrukcyjnych i nastawczych w ukladzie wtryskowym. Wielkosci te
winny bye uwzglednione w procedurze optymalizacji termicznej aktywacji paliwa.
Literatura
[1)
[2)
[3)
[4)
[5)
180
Application of the DPA 480 /DPL 482. AVL LIST GmbH, Graz 1991.
Breurer B., Dausend U., Fecher N., Global Mobility on Roads in the 21st Century. F2000P413,
FISITA, Seoul 2000.
Kowalczyk M., Diesel engine exhaust emmission control through pre-injection fuel thermal activation. Archivum Combustionis, No. 1-4, Vol. 17, 1997.
Osinski Z., Wrobel J.: Teoria konstrukcji maszyn. PWN, Warszawa 1982.
Pielecha I.: Badania nad mozliwoscia obnizenia emisji tlenkow azotu silnika wysokopreznegc
przez zastosowanie zewnetrznej aktywacji termicznej wtryskiwanego paliwa. Praca doktorska.
Poznan 2001.
[6]
[7]
Praca zespotowa nr 52-639108. .Badanie efektOw zewnetrznej aktywacji wtryskiwanego paliwa
w celu obnizenia emisji zwiazkow toksycznych przez silniki wysokoprezne". Zleceniodawca:
KBN, Poznan 1996.
Projekt badawczy KBN nr 9T12D023l5: Kierownik i gl6wny wykonawca: Pielecha I.: ,;Zewnetrzna aktywacje wtryskiwanego paliwa jako spos6b obnizenia emisji zwiazkow toksycznych
przez silniki wysokoprezne". Poznan 1999.
A THERMODYNAMICAL ASPECTS OF CONCEPT FOR THE DIESEL ENGINE
IN-CYLINDER NITRIC OXIDES SUPPRESSION
Because of the Arrhenius-type NO kinetic dependence on temperature the main trends of inquiry in nitric oxides emission suppression leads up to the in-cylinder NO-formation zones temperature reduction. It is generally understood that the high heat release rate observed in the first
(premixed) phase of diesel engine fuel-burning (accounted for the sudden rise in temperature mentioned) is due to rapid combustion of fuel injected during the ignition delay period. 80, the shortening in the ignition delay period causes the reduction in fuel mass injected in this period and prepared for combustion, and may be at the bottom of activity in the way of in-cylinder NO x formation
intensity limitation and control.
It was noted that the pre-injection fuel temperature effect on engine performance were be diversified. With that goal in mind a compromise approach for fuel temperature choice was proposed.
The results obtained confirm the main concept-thesis: the pre-injection fuel thermal activation
gives a significant decrease in diesel engine ignition delay, which brings to the expected changes in
the rate of heat release, both in the pre-mixed phase (reduction) and in the diffusion-phase (grows),
which, in tum, causes reduction in the ECE R49 Test emission of: nitric oxides (ca 13%), particulate matter (ca 30%), and carbon monoxide (ca 5%).
181