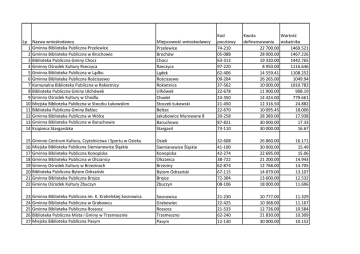
Lp Nazwa wnioskodawcy Miejscowość wnioskodawcy Kod

Transkrypt

Lp Nazwa wnioskodawcy Miejscowość wnioskodawcy Kod
1
2
3
4
5
6
7
8
9
10
11
12
13
14
Nazwa wnioskodawcy
Gminna Biblioteka Publiczna Przelewice
Gminna Biblioteka Publiczna w Brochowie
Biblioteka Publiczna Gminy Chocz
Gminny Ośrodek Kultury Rzeczyca
Gminna Biblioteka Publiczna w Lądku
Gminna Biblioteka Publiczna Rościszewo
Komunalna Biblioteka Publiczna w Rokietnicy
Biblioteka Publiczna Gminy Ulchówek
Gminny Ośrodek Kultury w Chodlu
Miejska Biblioteka Publiczna w Stoczku Łukowskim
Biblioteka Publiczna Gminy Bełżec
Gminna Biblioteka Publiczna w Wólce
Gminna Biblioteka Publiczna w Baruchowie
Książnica Stargardzka
Miejscowość wnioskodawcy
Przelewice
Brochów
Chocz
Rzeczyca
Lądek
Rościszewo
Rokietnica
Ulhówek
Chodel
Stoczek Łukowski
Bełżec
Jakubowice Murowane 8
Baruchowo
Stargard
Kod
pocztowy
74-210
05-088
63-313
97-220
62-406
09-204
37-562
22-678
24-350
21-450
22-670
20-258
87-821
73-110
15
16
17
18
19
20
21
22
Gminne Centrum Kultury, Czytelnictwa i Sportu w Osieku
Miejska Biblioteka Publiczna Siemianowice Śląskie
Gminna Biblioteka Publiczna Konopiska
Gminna Biblioteka Publiczna w Olszanicy
Gminny Ośrodek Kultury w Brzezinach
Biblioteka Publiczna Bytom Odrzański
Gminna Biblioteka Publiczna Brojce
Gminny Ośrodek Kultury Zbuczyn
Osiek
Siemianowice Śląskie
Konopiska
Olszanica
Brzeziny
Bytom Odrzański
Brojce
Zbuczyn
32-608
41-100
42-274
38-722
62-874
67-115
72-304
08-106
26 860.00
30 000.00
22 695.00
21 200.00
12 768.00
14 879.00
13 600.00
18 000.00
16.171
15.49
15.06
14.943
14.705
13.107
12.532
11.696
23
24
25
26
27
Gminna Biblioteka Publiczna im. K. Krahelskiej Sosnowica
Gminna Biblioteka Publiczna w Grabowcu
Gminna Biblioteka Publiczna Rossosz
Biblioteka Publiczna Mista i Gminy w Trzemesznie
Miejska Biblioteka Publiczna Pasym
Sosnowica
Grabowiec
Rossosz
Trzemeszno
Pasym
21-230
22-425
21-533
62-240
12-130
10 777.00
10 368.00
12 726.00
21 830.00
30 000.00
11.329
11.167
10.584
10.309
10.152
Lp
Kwota
Wartość
dofinansowania wskaźnika
22 700.00
1469.521
28 000.00
1467.226
19 320.00
1442.765
8 950.00
1116.646
14 559.41
1108.252
26 265.00
1049.94
10 000.00
1010.782
11 900.00
908.19
14 424.00
779.661
12 316.50
24.882
10 095.45
18.006
28 389.00
17.938
30 000.00
17.33
30 000.00
16.67
28
29
30
31
32
33
34
35
36
37
38
39
40
41
42
43
44
45
46
47
48
49
50
51
52
53
54
55
56
57
58
Gminna Biblioteka Publiczna Trzebiechów
Gminna Biblioteka Publiczna Dubicze Cerkiewne
Gminne Centrum Kultury w Dobrzycy
Miejska Biblioteka Publiczna Kleszczele
Gminny Ośrodek Kultury w Bedlnie
Biblioteka Publiczna Miasta i Gminy Żerków
Gminna Biblioteka Publiczna w Iwierzycach
Gminna Biblioteka Publiczna Puszcza Mariańska
Biblioteka Publiczna Miasta i Gminy Piwniczna Zdrój
Gminna Biblioteka Publiczna w Reńskiej Wsi
Gminna Biblioteka Publiczna w Bytnicy
Mieroszowskie Centrum Kultury Mieroszów
Biblioteka Publiczna Czerwionka-Leszczyny
Miejsko-Gminna Biblioteka Publiczna Tyszowice
Gminna Biblioteka Publiczna w Radziejowicach
Biblioteka Publiczna Gminy Nowe Miasto nad Wartą
Gminna Biblioteka Publiczna w Moszczenicy
Miejska Biblioteka Publiczna im. M. Dąbrowskiej
Gminna Biblioteka Publiczna w Pakosławiu
Miejsko-Gminna Biblioteka Publiczna w Margoninie
Gminna Biblioteka Publiczna w Górze Kalwarii
Gminna Biblioteka Publiczna w Irządzach
Gminna Biblioteka Publiczna w Mietkowie
Gminny Ośrodek Informacji, Kultury i Czytelnictwa w
Zębowicach
Gminna Biblioteka Publiczna Kuryłówka
Gminny Ośrodek Kultury Kłoczew
Biblioteka Publiczna Gminy Śniadowo
Miejska Biblioteka Publiczna im. Księdza Bernarda Sychty
Pelplin
Miejska Biblioteka Publiczna Wojkowice
Gminna Bibliototeka Publiczna w Buczkowicach
Miejsko-Gminna Biblioteka Publiczna w Poniatowej
Trzebiechów
Dubicze Cerkiewne
Dobrzyca
Kleszczele
Bedlno
Żerków
Iwierzyce
Puszcza Mariańska
Piwniczna Zdrój
Reńska Wieś
Bytnica
Mieroszów
Czerwionka-Leszczyny
Tyszowice
Radziejowice
Nowe Miasto nad Wartą
Moszczenica
Ostrów Mazowiecka
Pakosław
Margonin
Góra Kalwaria
Irządze
Mietków
66-132
17-204
63-330
17-250
99-311
63-210
39-124
96-330
33-350
47-208
66-630
58-350
44-230
22-630
96-325
63-040
97-310
07-300
63-920
64-830
05-530
42-446
55-081
6 035.00
9 350.00
28 150.00
6 460.00
6 120.00
29 750.00
6 800.00
19 507.50
10 285.00
30 000.00
15 300.00
13 496.80
30 000.00
12 750.00
14 790.00
29 400.00
11 700.00
19 159.00
21 054.50
27 429.50
29 920.00
16 209.00
30 000.00
10.009
9.645
9.435
9.157
9.143
9.075
9.073
8.554
8.458
7.703
7.589
7.574
7.478
7.41
7.405
7.244
7.243
7.195
7.17
7.104
6.974
6.915
6.801
Zębowice
Kuryłówka
Kłoczew
Śniadowo
46-048
37-303
08-550
18-411
29 559.00
13 160.00
13 026.25
10 710.00
6.648
6.647
6.647
6.566
Pelplin
Wojkowice
Buczkowice
Poniatowa
83-130
42-580
43-374
24-320
30 000.00
11 985.00
18 496.00
29 758.00
6.529
6.298
6.167
6.091
59
60
61
62
63
64
65
66
67
68
69
70
71
72
Miejska i Powiatowa Biblioteka Publiczna im. Ks. F.K.
Malinowskiego Golub-Dobrzyń
Miejska Biblioteka Publiczna Ciechanów
Miejska Biblioteka Publiczna w Dyniowie
Biblioteka Publiczna Miasta i Gminy Piaseczno
Biblioteka Publiczna Gminy Brudzew
Gminna Biblioteka Publiczna w Jabłonnie
Biblioteka Publiczna Gminy i Miasta w Stawiszynie
Gminna Biblioteka Publiczna Wilkowice
Biblioteka Publiczna Miasta i Gminy Zagórów
Gminna Biblioteka Publiczna Poczesna
Biblioteka Publiczna Gminy Grodziec
Gminna Biblioteka Publiczna w Aleksandrowie
Biblioteka Publiczna Miasta i Gminy Borek Wlkp.
Miejskie Centrum Kultury w Czarnkowie
Golub-Dobrzyń
Ciechanów
Dynów
Piaseczno
Brudzew
Jabłonna
Stawiszyn
Wilkowice
Zagórów
Poczesna
Grodziec
Aleksandrów
Borek Wlkp.
Czarnków
87-400
06-400
36-065
05-500
62-720
23-114
62-820
43-365
62-410
42-262
62-580
23-408
63-810
64-700
29 495.00
29 862.00
29 988.00
29 920.00
19 950.00
12 750.00
23 742.60
16 354.00
15 885.65
8 925.00
17 510.00
15 300.00
12 276.00
25 546.00
6.069
5.977
5.96
5.951
5.912
5.847
5.7
5.548
5.311
5.262
5.242
5.233
5.232
5.138
73
74
75
76
77
78
79
Biblioteka Publiczna Miasta Rydułowy im. H. M. Góreckiego
Biblioteka Publiczna Gminy Tereszpol
Biblioteka Publiczna Gminy Gołuchów
Gminny Ośrodek Kultury Łaszczów
Gminna Biblioteka Publiczna w Bystrej
Miejsko-Gminna Biblioteka Publiczna Więcbork
Gminna Biblioteka Publiczna w Lesznowoli
Rydułowy
Tereszpol
Gołuchów
Łaszczów
Bystra
Więcbork
Lesznowola
44-280
23-407
63-322
22-650
34-235
89-410
05-506
29 563.00
6 031.20
20 145.00
17 000.00
10 633.50
18 096.50
16 320.00
5.115
5.086
5.082
4.975
4.972
4.898
4.856
Muszyna
33-370
23 400.00
4.848
Suchedniów
Górzno
Żelechów
Kiwity
Zbójna
Markowa
Lniano
26-130
08-404
08-430
11-106
18-416
37-120
86-141
15 793.00
10 800.00
12 240.00
10 200.00
30 000.00
29 983.00
6 400.00
4.839
4.778
4.74
4.61
4.565
4.562
4.515
80 Biblioteka Publiczna Miasta i Gminy Uzdrowiskowej Muszyna
Miejsko-Gminna Biblioteka Publiczna im. Jana Pawła II
81 Suchedniów
82 Gminna Biblioteka Publiczna w Górznie
83 Miejsko-Gminny Ośrodek Kultury Żelechów
84 Gminna Biblioteka Publiczna Kiwity
85 Gminna Biblioteka Publiczna Zbójna
86 Centrum Kultury Gminy Markowa
87 Gminna Biblioteka Publiczna Lniano
88 Biblioteka Publiczna w Dz. Wesoła m. st. Warszawy
89 Gminna Biblioteka Publiczna Krupski Młyn
90 Miejska Biblioteka Publiczna Kobyłka
Gminna Biblioteka Publiczna im. Kazimierza Zielińskiego
91 Modliborzyce
92 Biblioteka Publiczna Miasta i Gminy Gostyń
93 Bilioteka Publiczna Gminy Kobylin-Borzymy
94 Miejska Biblioteka Publiczna Złotoryja
95 Miejska Biblioteka Publiczna w Kostrzynie nad Odrą
96 Gminna Biblioteka Publiczna w Rachaniach
97 Biblioteka Miejska Blachownia
98 Biblioteka Publiczna Gminy Krynice
99 Centrum Kultury "Zamek w Toszku"
100 Gminny Ośrodek Kultury w Suścu
101 Miejska Biblioteka Publiczna im. H. Sienkiewicza Łuków
102 Gminna Biblioteka Publiczna Borki
103 Gminna Biblioteka Publiczna Białaczów
104 Gminna Biblioteka Publiczna w Rzgowie
105 Obornicki Ośrodek Kultury
106 Gminna Biblioteka Publiczna Niedźwiada-Kolonia
107 Gminna Biblioteka Publiczna w Unisławiu
108 Gminny Ośrodek Kultury i Biblioteka w Krasnem
109 Gminna Biblioteka Publiczna w Sidzinie
110
111
112
113
114
115
116
117
118
Gminna Biblioteka Publiczna im. Waśniewskich w Bolesławiu
Gminna Biblioteka Batorz
Gminna Biblioteka Publiczna Kuślin
Biblioteka Publiczna Malomice
Miejska Biblioteka Publiczna w Zabłudowie
Gminna Biblioteka Publiczna Zapolice
Gminne Centrum Kultury Gizałki
Biblioteka Miejska im. H. Sienkiewicza Góra
Dom Polski Zakrzewski Dom Kultury
Warszawa
Krupski Młyn
Kobyłka
05-075
42-693
05-230
27 468.00
13 642.00
17 106.00
4.505
4.488
4.459
Modliborzyce
Gostyń
Kobylin-Borzymy
Złotoryja
Kostrzyń nad Odrą
Rachanie
Blachownia
Krynice
Toszek
Susiec
Łuków
Borki
Białaczów
Rzgów
Oborniki Śląskie
Niedźwiada-Kolonia
Unisław
Krasne
Sidzina
23-310
63-800
18-204
59-500
66-470
22-640
42-290
22-610
44-180
22-672
21-400
21-345
26-307
62-586
55-120
21-104
86-260
36-007
34-236
25 500.00
12 917.00
11 900.00
17 000.00
30 000.00
12 240.00
9 945.00
12 750.00
13 430.00
20 400.00
25 109.00
12 750.00
9 840.00
16 400.00
9 702.75
18 700.00
16 830.00
29 400.00
11 138.00
4.39
4.372
4.337
4.223
4.196
4.189
4.1
4.1
4.053
3.981
3.964
3.935
3.932
3.906
3.851
3.801
3.77
3.762
3.696
Bolesław
Batorz
Kuślin
Małomice
Zabłudów
Zapolice
Gizałki
Góra
Zakrzewo
32-329
23-320
64-316
67-320
16-060
98-161
63-308
56-200
77-424
28 400.00
12 000.00
15 548.00
17 500.00
13 804.00
17 600.00
8 163.00
17 000.00
9 307.00
3.627
3.57
3.566
3.565
3.537
3.536
3.448
3.433
3.431
119
120
121
122
123
124
125
126
127
128
129
130
131
132
133
134
135
Gminna Biblioteka Publiczna w Raciążku
Gminny Ośrodek Kultury Zaklików
Zbąszyńskie Centrum Kultury Zbąszyń
Gminna Biblioteka Publiczna Kamionka
Miejska Biblioteka Publiczna im. J. Wantuły Ustroń
Powiatowa i Miejska Biblioteka Publiczna Lesko
Gminne Centrum Kultury i Czytelnictwa w Jodłowej
Centrum Kultury i Biblioteka Publiczna Gminy Suchy Las
Miejsko-Gminna Biblioteka Publiczna Wieruszów
Biblioteka Publiczna w Mońkach
Gminna Biblioteka Publiczna we Frysztaku
Biblioteka Publiczna Gminy Jadów w Jadowie
Miejsko-Powiatowa Biblioteka Publiczna im. A.Kamieńskiej w
Świdniku
Gminna Biblioteka Publiczna w Dorohusk
Miejska Biblioteka Publiczna im. W. Fiałka Chełmno
Miejska Biblioteka Publiczna w Witnicy
Gminna Biblioteka Publiczna w Lgocie Wielkiej
Suma przynanych dofinansowań
Raciążek
Zaklików
Zbąszyń
Kamionka
Ustroń
Lesko
Jodłowa
Suchy Las
Wieruszów
Mońki
Frysztak
Jadów
87-721
37-470
64-360
21-132
43-450
38-600
39-225
62-002
98-400
19-100
38-130
05-280
12 700.00
21 250.00
23 800.00
13 600.00
28 410.00
12 200.00
9 639.00
30 000.00
29 988.00
15 810.00
25 491.00
30 000.00
3.409
3.364
3.351
3.333
3.328
3.325
3.305
3.26
3.243
3.214
3.178
3.172
Świdnik
Dorohusk
Chełmno
Witnica
Lgota Wielka
21-040
22-175
86-200
66-460
97-565
25 123.00
11 520.00
27 968.00
17 000.00
11 220.00
2 496 301.11
3.134
3.126
3.083
3.082
3.071