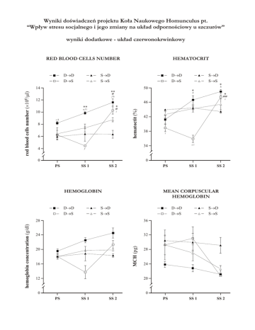
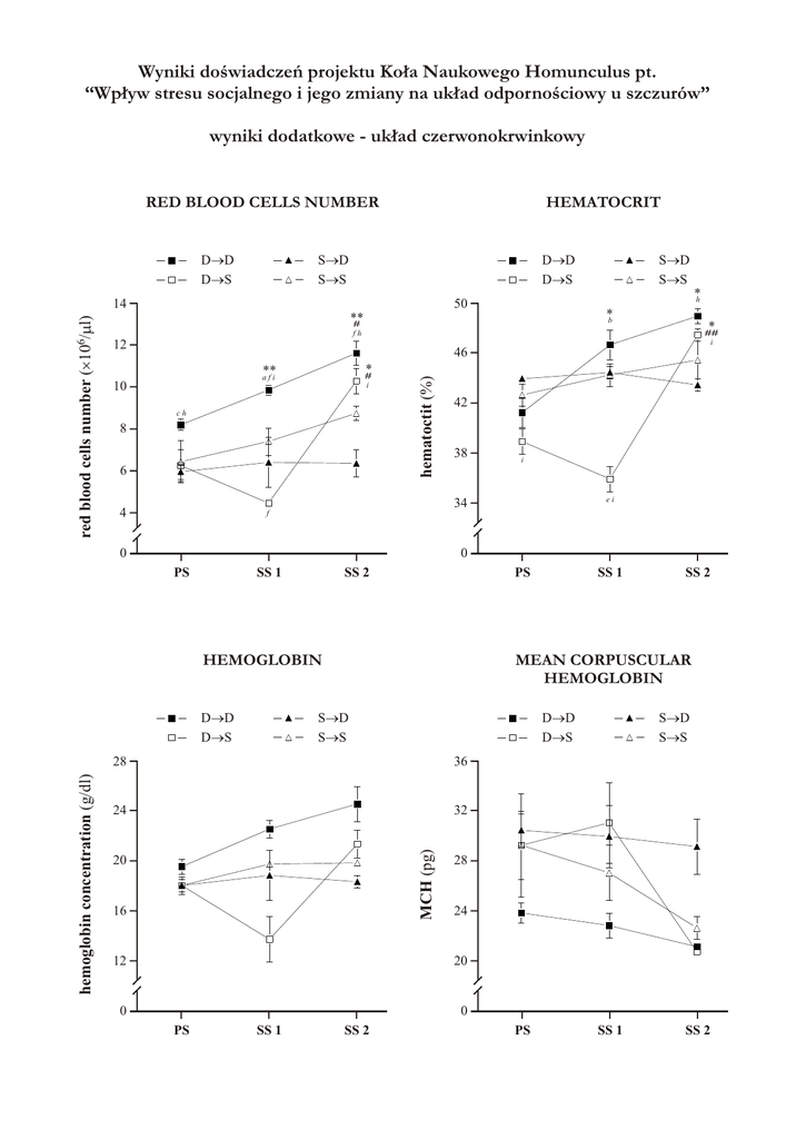
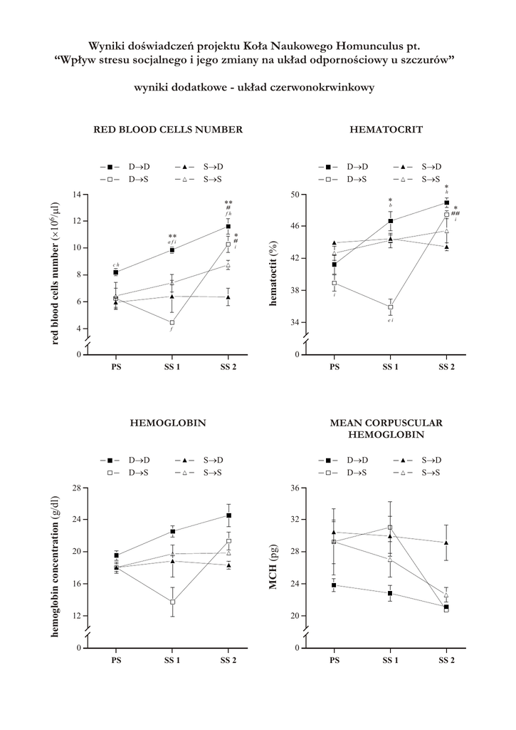
wyniki dodatkowe - układ czerwonokrwinkowy

Transkrypt

wyniki dodatkowe - układ czerwonokrwinkowy
Wyniki doświadczeń projektu Koła Naukowego Homunculus pt.
“Wpływ stresu socjalnego i jego zmiany na układ odpornościowy u szczurów”
wyniki dodatkowe - układ czerwonokrwinkowy
RED BLOOD CELLS NUMBER
D®D
D®S
HEMATOCRIT
S®D
S®S
D®D
D®S
*b
**
#
*
fh
##
12
i
46
*
**
#
afi
10
i
ch
8
6
4
42
38
i
ei
34
f
0
0
PS
SS 1
SS 2
PS
HEMOGLOBIN
D®D
D®S
S®D
S®S
D®D
D®S
28
36
24
32
20
16
0
0
SS 2
S®D
S®S
24
20
SS 1
SS 2
28
12
PS
SS 1
MEAN CORPUSCULAR
HEMOGLOBIN
MCH (pg)
hemoglobin concentration (g/dl)
*h
50
hematoctit (%)
red blood cells number (´106/ml)
14
S®D
S®S
PS
SS 1
SS 2
MEAN CORPUSCULAR
HEMOGLOBIN CONCENTRATION
S®D
S®S
D®D
D®S
55
90
50
78
MCV (fl)
MCHC (g/dl)
D®D
D®S
MEAN CORPUSCULAR VOLUME
45
40
35
S®D
S®S
66
54
42
0
0
PS
SS 1
SS 2
PS
SS 1
SS 2
LEGENDA
PS - poziom spoczynkowy - szczury umieszczone pojedynczo
SS 1 - stres socjalny 1 - szczury umieszczone parami przez 7 dni - ustalenie pozycji socjalnej dominacji (D) lub podporządkowania - submisywności (S)
SS 2 - stres socjalny 2 - szczury umieszczone parami ze zmianą partnera - wytworzenie nowej
lub utrzymanie wcześniejszej pozycji socjalnej - dominacja utrzymana (D®D), dominacja
utracona (D®S), submisywność utrzymana (S®S), zdobyta dominacja (S®D)
W punktach pomiarowych PS i SS 1 nie doszło jeszcze do zmiany pozycji socjalnej, a w punkcie
PS nie wytworzyła się jeszcze żadna pozycja, więc wyniki np. D®D w tych punktach
pomiarowych oznaczają zachowanie się badanych parametrów u przyszłych D®D.